golang协程与线程区别简要介绍
对于一个Golang开发者来说,牢固扎实的基础是十分重要的,golang学习网就来带大家一点点的掌握基础知识点。今天本篇文章带大家了解《golang协程与线程区别简要介绍》,主要介绍了协程、线程、区别,希望对大家的知识积累有所帮助,快点收藏起来吧,否则需要时就找不到了!
一、进程与线程
进程是操作系统资源分配的基本单位,是程序运行的实例。例如打开一个浏览器就开启了一个进程。
线程是操作系统调度到CPU中执行的基本单位。例如在浏览器里新建一个窗口就需要一个线程来进行处理。
在一般情况下,线程是进程的组成部分,一个进程可以包含多个线程。例如浏览器可以新建多个窗口。
进程中的多个线程并发执行并共享进程的内存等资源。例如多个窗口之间可以共享登录状态、cookie等信息。
进程之间相对独立,不同进程具有不同的内存地址空间,系统资源描述符等。例如再新开一个浏览器,就又开启了一个进程,浏览器之间状态相互独立。
开启一个进程的开销比开启一个线程大得多,且进程具有独立的内存空间,多进程之间的通信通常比较困难。
二、并发与并行
并发不等于并行。
并发并不意味着同一时刻所有任务都在执行,而是在一个时间段内,所有的任务都能执行完毕。例如在单核CPU上运行多线程程序,多线程会交替抢占CPU时间片,任意一个时刻只能执行一个具体的线程。
在多核CPU上,线程可以分布在多个CPU核心上运行,实现真正的并行处理。
在多核处理场景中,并发与并行往往同时存在,多核心在并行处理多个线程,单核心中的多个线程又在交替执行。
三、go协程与线程
线程是系统调度的基本单位。go协程由go语言运行时的调度器进行调度,操作系统内核感知不到协程的存在。
在多核处理场景中,线程是并发与并行同时存在的,而go协程依托于线程,因此多核处理场景下,go协程也是并发与并行同时存在的。因为go协程从属于某一个线程,所以即便在单核处理器上某一时刻运行一个线程,在线程内go语言调度器也会切换多个协程执行,这时协程是并发的。在多核心处理器上,如果多个协程被分配给了不同的线程,而这些线程同时被不同的CPU核心所处理,这时协程就是并行处理的。
go协程与线程存在着很多不同之处:
1.调度方式
线程: 线程是根据CPU时间片进行抢占式调度的。操作系统通过中断信号(定时器中断、I/O设备中断等)执行线程的上下文切换。当发生线程上下文切换时,需要从操作系统用户态转移到内核态,并保存状态信息;当切换到下一个要执行的线程时,需要加载状态信息并从内核态转移到操作系统用户态。
协程: 协程存在于用户态,由go语言运行时调度器进行调度。协程从属于某一个线程,多个协程可以调度到一个线程中,一个协程也可能切换到多个线程中执行,因此协程与线程是多对多(M:N)的关系。
2.调度策略
- 线程: 抢占式调度。操作系统调度器为了均衡每个线程的执行周期,会定时发出中断信号强制执行线程上下文切换。
- 协程: 协作式调度。一个协程处理完自己的任务后,可以主动将执行权限让渡给其他协程,不会被轻易抢占。只有在协程运行了过长时间后,go语言调度器才会强制抢占其执行。
3.上下文切换速度
线程: 线程上下文的切换需要经过操作系统用户态与内核态的切换,切换速度大约为1~2微秒。
协程: 协程属于用户态轻量级的线程,协程的切换不需要经过用户态与内核态的切换,且切换时只需要保存极少的状态值,因此切换速度快数倍,大约为0.2微秒左右。(大约10倍于线程的切换速度)
4.栈的大小
线程: 线程的栈大小一般是在创建时指定的,linux及mac上默认的栈大小一般为8MB(可以通过ulimit -s查看)。2000个线程需要消耗16G虚拟内存。
协程: go协程栈大小默认为2KB, 16G虚拟内存可以创建800多万个协程。在实践中,经常可以看到存在成千上万的协程。
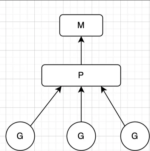
四、GMP模型
协程(G)线程(M)逻辑处理器(P)模型描述了线程与协程的关系。在GMP模型中:
G代表go协程(Goroutine),M代表实际的线程,P代表逻辑处理器(Process)。go语言为了方便协程的调度与缓存,抽象出了逻辑处理器P。
在任一时刻,一个逻辑处理器P可能在本地包含多个协程G,同时绑定一个线程M。需要注意的是,一个协程G并不是固定绑定同一个逻辑处理器P的,可能转移到其他逻辑处理器中。
逻辑处理器P对应的线程M也是不固定的,在某些时候可能转移到其他P中执行。

好了,本文到此结束,带大家了解了《golang协程与线程区别简要介绍》,希望本文对你有所帮助!关注golang学习网公众号,给大家分享更多Golang知识!
golang数组内存分配原理
- 上一篇
- golang数组内存分配原理
- 下一篇
- golang协程设计及调度原理
-
- Golang · Go教程 | 21分钟前 |
- Go语言io.Copy复制文件使用教程
- 372浏览 收藏
-
- Golang · Go教程 | 24分钟前 |
- Go指针共享与内存泄漏详解
- 212浏览 收藏
-
- Golang · Go教程 | 25分钟前 |
- Golang优化云原生性能技巧
- 150浏览 收藏
-
- Golang · Go教程 | 26分钟前 |
- Golang抽象工厂模式详解与扩展方法
- 117浏览 收藏
-
- Golang · Go教程 | 35分钟前 |
- Golang并发模式:扇出负载均衡技巧
- 464浏览 收藏
-
- Golang · Go教程 | 38分钟前 |
- 双指针算法详解与实战技巧
- 488浏览 收藏
-
- Golang · Go教程 | 48分钟前 |
- Golang分布式锁实现与优化解析
- 450浏览 收藏
-
- Golang · Go教程 | 50分钟前 |
- Golang中context.WithDeadline使用方法详解
- 424浏览 收藏
-
- Golang · Go教程 | 52分钟前 |
- Golang反射SetInt正确用法解析
- 223浏览 收藏
-
- Golang · Go教程 | 1小时前 |
- Golang循环性能测试方法解析
- 237浏览 收藏
-
- Golang · Go教程 | 1小时前 |
- Golang云原生加密方案全解析
- 167浏览 收藏
-
- Golang · Go教程 | 1小时前 |
- Golangmock测试技巧:gomock生成模拟方法
- 465浏览 收藏
-
- 前端进阶之JavaScript设计模式
- 设计模式是开发人员在软件开发过程中面临一般问题时的解决方案,代表了最佳的实践。本课程的主打内容包括JS常见设计模式以及具体应用场景,打造一站式知识长龙服务,适合有JS基础的同学学习。
- 543次学习
-
- GO语言核心编程课程
- 本课程采用真实案例,全面具体可落地,从理论到实践,一步一步将GO核心编程技术、编程思想、底层实现融会贯通,使学习者贴近时代脉搏,做IT互联网时代的弄潮儿。
- 516次学习
-
- 简单聊聊mysql8与网络通信
- 如有问题加微信:Le-studyg;在课程中,我们将首先介绍MySQL8的新特性,包括性能优化、安全增强、新数据类型等,帮助学生快速熟悉MySQL8的最新功能。接着,我们将深入解析MySQL的网络通信机制,包括协议、连接管理、数据传输等,让
- 500次学习
-
- JavaScript正则表达式基础与实战
- 在任何一门编程语言中,正则表达式,都是一项重要的知识,它提供了高效的字符串匹配与捕获机制,可以极大的简化程序设计。
- 487次学习
-
- 从零制作响应式网站—Grid布局
- 本系列教程将展示从零制作一个假想的网络科技公司官网,分为导航,轮播,关于我们,成功案例,服务流程,团队介绍,数据部分,公司动态,底部信息等内容区块。网站整体采用CSSGrid布局,支持响应式,有流畅过渡和展现动画。
- 485次学习
-
- ChatExcel酷表
- ChatExcel酷表是由北京大学团队打造的Excel聊天机器人,用自然语言操控表格,简化数据处理,告别繁琐操作,提升工作效率!适用于学生、上班族及政府人员。
- 4328次使用
-
- Any绘本
- 探索Any绘本(anypicturebook.com/zh),一款开源免费的AI绘本创作工具,基于Google Gemini与Flux AI模型,让您轻松创作个性化绘本。适用于家庭、教育、创作等多种场景,零门槛,高自由度,技术透明,本地可控。
- 4689次使用
-
- 可赞AI
- 可赞AI,AI驱动的办公可视化智能工具,助您轻松实现文本与可视化元素高效转化。无论是智能文档生成、多格式文本解析,还是一键生成专业图表、脑图、知识卡片,可赞AI都能让信息处理更清晰高效。覆盖数据汇报、会议纪要、内容营销等全场景,大幅提升办公效率,降低专业门槛,是您提升工作效率的得力助手。
- 4571次使用
-
- 星月写作
- 星月写作是国内首款聚焦中文网络小说创作的AI辅助工具,解决网文作者从构思到变现的全流程痛点。AI扫榜、专属模板、全链路适配,助力新人快速上手,资深作者效率倍增。
- 6299次使用
-
- MagicLight
- MagicLight.ai是全球首款叙事驱动型AI动画视频创作平台,专注于解决从故事想法到完整动画的全流程痛点。它通过自研AI模型,保障角色、风格、场景高度一致性,让零动画经验者也能高效产出专业级叙事内容。广泛适用于独立创作者、动画工作室、教育机构及企业营销,助您轻松实现创意落地与商业化。
- 4953次使用
-
- Go 并发编程协程及调度机制详情
- 2022-12-30 312浏览
-
- 一文详解Golang协程调度器scheduler
- 2022-12-31 231浏览
-
- go语言中的协程详解
- 2022-12-29 129浏览
-
- golang协程设计及调度原理
- 2022-12-26 106浏览
-
- grpool goroutine池协程管理
- 2023-01-01 456浏览

