Go语言CSP并发模型goroutine及channel底层实现原理
本篇文章向大家介绍《Go语言CSP并发模型goroutine及channel底层实现原理》,主要包括channel、goroutine、CSP、并发模型,具有一定的参考价值,需要的朋友可以参考一下。
参考Go的CSP并发模型实现:M, P, G
Go语言是为并发而生的语言,Go语言是为数不多的在语言层面实现并发的语言。
并发(concurrency):多个任务在同一段时间内运行。
并行(parallellism):多个任务在同一时刻运行。
Go的CSP并发模型(goroutine + channel)
Go实现了两种并发形式。
- 多线程共享内存:Java或者C++等语言中的多线程开发。
- CSP(communicating sequential processes)并发模型:Go语言特有且推荐使用的。
不同于传统的多线程通过共享内存来通信,CSP讲究的是“以通信的方式来共享内存”。
普通的线程并发模型,就是像Java、C++、或者Python,他们线程间通信都是通过共享内存的方式来进行的。非常典型的方式就是,在访问共享数据(例如数组、Map、或者某个结构体或对象)的时候,通过锁来访问,因此,在很多时候,衍生出一种方便操作的数据结构,叫做“线程安全的数据结构”。
Go的CSP并发模型,是通过goroutine和channel来实现的。
- goroutine 是Go语言中并发的执行单位。可以理解为用户空间的线程。
- channel是Go语言中不同goroutine之间的通信机制,即各个goroutine之间通信的”管道“,有点类似于Linux中的管道。
1、goroutine
Go语言最大的特色就是从语言层面支持并发(goroutine),goroutine是Go中最基本的执行单元。事实上每一个Go程序至少有一个goroutine:主goroutine。当程序启动时,它会自动创建。我们在使用Go语言进行开发时,一般会使用goroutine来处理并发任务。
goroutine机制有点像线程池:
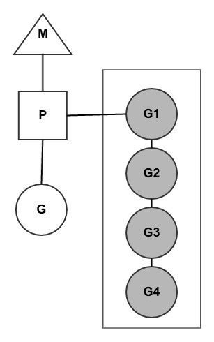
go 内部有三个对象: P(processor) 代表上下文(M所需要的上下文环境,也就是处理用户级代码逻辑的处理器),M(work thread)代表内核线程,G(goroutine)协程。
正常情况下一个cpu核运行一个内核线程,一个内核线程运行一个goroutine协程。当一个goroutine阻塞时,会启动一个新的内核线程来运行其他goroutine,以充分利用cpu资源。所以线程往往会比cpu核数更多。
example
在单核情况下,所有goroutine运行在同一个内核线程(M0)中,每一个内核线程维护一个上下文(P),任何时刻,一个上下文中只有一个goroutine,其他goroutine在runqueue中等待。一个goroutine运行完自己的时间片后,让出上下文,自己回到runqueue中。如下图左边所示,只有一个G0在运行,而其他goroutine都挂起了。

当正在运行的G0阻塞的时候(IO之类的),会再创建一个新的内核线程(M1),P转到新的内核线程中去运行。
当M0返回时(不再阻塞),它会尝试从其他线程中“偷”一个上下文(cpu)过来,如果没有偷到,会把goroutine放到global runqueue中去,然后把自己放入线程缓存中。上下文会定时检查global runqueue切换goroutine运行。
goroutine的优点:
1、创建与销毁的开销小
线程创建时需要向操作系统申请资源,并且在销毁时将资源归还,因此它的创建和销毁的开销比较大。相比之下,goroutine的创建和销毁是由go语言在运行时自己管理的,因此开销更低。所以一个Golang的程序中可以支持10w级别的Goroutine。每个 goroutine (协程) 默认占用内存远比 Java 、C 的线程少(*goroutine:*2KB ,线程:8MB)
2、切换开销小
这是goroutine于线程的主要区别,也是golang能够实现高并发的主要原因。
线程的调度方式是抢占式的,如果一个线程的执行时间超过了分配给它的时间片,就会被其它可执行的线程抢占。在线程切换的过程中需要保存/恢复所有的寄存器信息,比如16个通用寄存器,PC(Program Counter),SP(Stack Pointer),段寄存器等等。
而goroutine的调度是协同式的,没有时间片的概念,由Golang完成,它不会直接地与操作系统内核打交道。当goroutine进行切换的时候,之后很少量的寄存器需要保存和恢复(PC和SP)。因此gouroutine的切换效率更高。
总的来说,操作系统的一个线程下可以并发执行上千个goroutine,每个goroutine所占用的资源和切换开销都很小,因此,goroutine是golang适合高并发场景的重要原因。
生成一个goroutine的方法十分简单,直接使用go关键字即可:
go func();
2、channel
参考由浅入深剖析 go channel
channel的使用方法:声明之后,传数据用channel
无缓存channel
ch := make(chan int)
// write to channel
ch
<p>从无缓存的 channel 中读取消息会阻塞,直到有 goroutine 向该 channel 中发送消息;同理,向无缓存的 channel 中发送消息也会阻塞,直到有 goroutine 从 channel 中读取消息。</p>
<p>example</p>
<pre class="brush:go;">c := make(chan int) // Allocate a channel.
// Start the sort in a goroutine; when it completes, signal on the channel.
go func() {
list.Sort()
c
<p>主goroutine定义一个无缓存的channel,然后开启一个新的goroutine执行排序任务,接着主goroutine继续向下执行doSomethingForAWhile,接着要从channel中取值,但是channel是空的,因此主goroutine阻塞。等到新goroutine排序完毕,向channel中写值后,主goroutine从channel中取到值,然后才能继续向下执行。</p>
<h4>有缓存channel</h4>
<p>有缓存的 channel 的声明方式为指定 make 函数的第二个参数,该参数为 channel 缓存的容量</p>
<pre class="brush:go;">ch := make(chan int, 10)
当缓存未满时,向 channel 中发送消息时不会阻塞,当缓存满时,发送操作将被阻塞,直到有其他 goroutine 从中读取消息
ch := make(chan int, 3)
// blocked, read from empty buffered channel
<p>相应的,当 channel 中消息不为空时,读取消息不会出现阻塞,当 channel 为空时,读取操作会造成阻塞,直到有 goroutine 向 channel 中写入消息。</p>
<pre class="brush:go;">ch := make(chan int, 3)
ch
<p>通过 len 函数可以获得 chan 中的元素个数,通过 cap 函数可以得到 channel 的缓存长度。</p>
<p>channel 也可以使用 range 取值,并且会一直从 channel 中读取数据,直到有 goroutine 对改 channel 执行 close 操作,循环才会结束。</p>
<pre class="brush:go;">// consumer worker
ch := make(chan int, 10)
for x := range ch{
fmt.Println(x)
}
等价于
for {
x, ok :=
<h3>3、Go并发模型的底层实现原理</h3>
<p>参考Golang CSP并发模型</p>
<p>无论在语言层面用的是何种并发模型,到了操作系统层面,一定是以线程的形态存在的。而操作系统根据资源访问权限的不同,体系架构可分为用户空间和内核空间。</p>
- 内核空间主要操作访问CPU资源、I/O资源、内存资源等硬件资源,为上层应用程序提供最基本的基础资源。
- 用户空间就是上层应用程序的固定活动空间,用户空间不可以直接访问资源,必须通过“系统调用”、“库函数”或“Shell脚本”来调用内核空间提供的资源。
golang使用goroutine做为最小的执行单位,但是这个执行单位还是在用户空间,实际上最后被处理器执行的还是内核中的线程,用户线程和内核线程的调度方法有:
- 1:1,即一个内核线程对应一个用户级线程(并发度低,浪费cpu资源,上下文切换需要消耗额外的资源)。
- 1:N,即一个内核线程对应N个用户级线程(并发度高,但是只用一个内核线程,不能有效利用多核CPU)。
- M:N,即M个内核线程对应N个用户级线程(上述两种方式的折中,缺点是线程调度会复杂一些)
golang 通过为goroutine提供语言层面的调度器,来实现了高效率的M:N线程对应关系


M:是内核线程
P : 是调度协调,用于协调M和G的执行,内核线程只有拿到了 P才能对goroutine继续调度执行,一般都是通过限定P的个数来控制golang的并发度
G : 是待执行的goroutine,包含这个goroutine的栈空间
Gn : 灰色背景的Gn 是已经挂起的goroutine,它们被添加到了执行队列中,然后需要等待网络IO的goroutine,当P通过 epoll查询到特定的fd的时候,会重新调度起对应的,正在挂起的goroutine。
Golang为了调度的公平性,在调度器加入了steal working 算法 ,在一个P自己的执行队列,处理完之后,它会先到全局的执行队列中偷G进行处理,如果没有的话,再会到其他P的执行队列中抢G来进行处理。
4、一个CSP例子
参考golang中的CSP并发模型
生产者-消费者Sample:
package main import ( "fmt" "time" ) // 生产者 func Producer (queue chan <p>生产者goroutine往channel传值,消费者goroutine往channel取值,这两个goroutine通过channel完成通信。</p> <p>终于介绍完啦!小伙伴们,这篇关于《Go语言CSP并发模型goroutine及channel底层实现原理》的介绍应该让你收获多多了吧!欢迎大家收藏或分享给更多需要学习的朋友吧~golang学习网公众号也会发布Golang相关知识,快来关注吧!</p>
Golang实现文件夹的创建与删除的方法详解
- 上一篇
- Golang实现文件夹的创建与删除的方法详解
- 下一篇
- Golang实现可重入锁的示例代码
-
- Golang · Go教程 | 6小时前 |
- Golang微服务网关路由管理技巧
- 493浏览 收藏
-
- Golang · Go教程 | 6小时前 |
- Golang分页查询实现与接口设计方法
- 406浏览 收藏
-
- Golang · Go教程 | 7小时前 |
- GolangTrim修剪空格方法详解
- 335浏览 收藏
-
- Golang · Go教程 | 7小时前 |
- Golang反射能获取常量吗?
- 444浏览 收藏
-
- Golang · Go教程 | 7小时前 |
- Istio入门:Golang流量治理与安全指南
- 229浏览 收藏
-
- Golang · Go教程 | 7小时前 |
- GolangMonorepo搭建与结构管理技巧
- 263浏览 收藏
-
- Golang · Go教程 | 7小时前 |
- Go语言中new和make的区别详解
- 135浏览 收藏
-
- Golang · Go教程 | 7小时前 |
- Golang服务灰度发布方法详解
- 107浏览 收藏
-
- Golang · Go教程 | 7小时前 |
- Golang接口结构解析:iface与eface原理详解
- 112浏览 收藏
-
- Golang · Go教程 | 7小时前 |
- Golang微服务优雅停机技巧解析
- 145浏览 收藏
-
- Golang · Go教程 | 8小时前 |
- Golang生成HTML方法详解
- 245浏览 收藏
-
- Golang · Go教程 | 8小时前 |
- Go语言测试规范:黑盒白盒与_test命名解析
- 481浏览 收藏
-
- 前端进阶之JavaScript设计模式
- 设计模式是开发人员在软件开发过程中面临一般问题时的解决方案,代表了最佳的实践。本课程的主打内容包括JS常见设计模式以及具体应用场景,打造一站式知识长龙服务,适合有JS基础的同学学习。
- 543次学习
-
- GO语言核心编程课程
- 本课程采用真实案例,全面具体可落地,从理论到实践,一步一步将GO核心编程技术、编程思想、底层实现融会贯通,使学习者贴近时代脉搏,做IT互联网时代的弄潮儿。
- 516次学习
-
- 简单聊聊mysql8与网络通信
- 如有问题加微信:Le-studyg;在课程中,我们将首先介绍MySQL8的新特性,包括性能优化、安全增强、新数据类型等,帮助学生快速熟悉MySQL8的最新功能。接着,我们将深入解析MySQL的网络通信机制,包括协议、连接管理、数据传输等,让
- 500次学习
-
- JavaScript正则表达式基础与实战
- 在任何一门编程语言中,正则表达式,都是一项重要的知识,它提供了高效的字符串匹配与捕获机制,可以极大的简化程序设计。
- 487次学习
-
- 从零制作响应式网站—Grid布局
- 本系列教程将展示从零制作一个假想的网络科技公司官网,分为导航,轮播,关于我们,成功案例,服务流程,团队介绍,数据部分,公司动态,底部信息等内容区块。网站整体采用CSSGrid布局,支持响应式,有流畅过渡和展现动画。
- 485次学习
-
- ChatExcel酷表
- ChatExcel酷表是由北京大学团队打造的Excel聊天机器人,用自然语言操控表格,简化数据处理,告别繁琐操作,提升工作效率!适用于学生、上班族及政府人员。
- 4215次使用
-
- Any绘本
- 探索Any绘本(anypicturebook.com/zh),一款开源免费的AI绘本创作工具,基于Google Gemini与Flux AI模型,让您轻松创作个性化绘本。适用于家庭、教育、创作等多种场景,零门槛,高自由度,技术透明,本地可控。
- 4573次使用
-
- 可赞AI
- 可赞AI,AI驱动的办公可视化智能工具,助您轻松实现文本与可视化元素高效转化。无论是智能文档生成、多格式文本解析,还是一键生成专业图表、脑图、知识卡片,可赞AI都能让信息处理更清晰高效。覆盖数据汇报、会议纪要、内容营销等全场景,大幅提升办公效率,降低专业门槛,是您提升工作效率的得力助手。
- 4454次使用
-
- 星月写作
- 星月写作是国内首款聚焦中文网络小说创作的AI辅助工具,解决网文作者从构思到变现的全流程痛点。AI扫榜、专属模板、全链路适配,助力新人快速上手,资深作者效率倍增。
- 6103次使用
-
- MagicLight
- MagicLight.ai是全球首款叙事驱动型AI动画视频创作平台,专注于解决从故事想法到完整动画的全流程痛点。它通过自研AI模型,保障角色、风格、场景高度一致性,让零动画经验者也能高效产出专业级叙事内容。广泛适用于独立创作者、动画工作室、教育机构及企业营销,助您轻松实现创意落地与商业化。
- 4820次使用
-
- 深入理解Golangchannel的应用
- 2023-01-27 200浏览
-
- GoLangchannel使用介绍
- 2022-12-22 440浏览
-
- Go语言面试题之select和channel的用法
- 2022-12-30 477浏览
-
- Go语言使用goroutine及通道实现并发详解
- 2023-01-02 221浏览
-
- Go底层channel实现原理及示例详解
- 2022-12-24 399浏览

