打入AI底层!NUS尤洋团队用扩散模型构建神经网络参数,LeCun点赞
新加坡国立大学尤洋团队与加州大学伯克利分校和 Meta AI 实验室合作,提出了一种利用扩散模型生成神经网络参数的新方法。这项突破性工作使研究人员能够以比直接训练快 44 倍的速度生成神经网络参数,而不会损失性能。该研究团队将自编码器与扩散模型相结合,创建了一种能够从随机噪声中合成神经网络参数潜在表示的模型。
扩散模型,迎来了一项重大新应用——
像Sora生成视频一样,给神经网络生成参数,直接打入了AI的底层!
这就是新加坡国立大学尤洋教授团队联合UCB、Meta AI实验室等机构最新开源的研究成果。

具体来说,研究团队提出了一种用于生成神经网络参数的扩散模型p(arameter)-diff。
用它来生成网络参数,速度比直接训练最多提高44倍,而且表现毫不逊色。
该模型一经发布后,在AI社区迅速引起了激烈的讨论,圈内专家对其表现出了与普通人看到Sora时一样的惊叹态度。
甚至有人直接惊呼,这基本上相当于AI在创造新的AI了。

就连AI巨头LeCun看了之后,也点赞了这一成果,表示这真的是个cute idea。

而实质上,p-diff也确实具有和Sora一样重大的意义,对此同实验室的Fuzhao Xue(薛复昭)博士进行了详细解释:
Sora生成高维数据,即视频,这使得Sora成为世界模拟器(从一个维度接近AGI)。
而这项工作,神经网络扩散,可以生成模型中的参数,具有成为元世界级学习器/优化器的潜力,从另一个新的重要维度向AGI迈进。

言归正传,p-diff到底是如何生成神经网络参数的呢?
将自编码器与扩散模型结合
要弄清这个问题,首先要了解一下扩散模型和神经网络各自的工作特点。
扩散生成过程,是从随机分布到高度特定分布的转变,通过复合噪声添加,将视觉信息降级为简单噪声分布。
而神经网络训练,同样遵循这样的转变过程,也同样可以通过添加噪声的方式来降级,研究人员正是在这一特点的启发之下提出p-diff方法的。

从结构上看,p-diff是研究团队在标准潜扩散模型的基础之上,结合自编码器设计的。
研究者首先从训练完成、表现较好的网络参数中选取一部分,并展开为一维向量形式。
然后用自编码器从一维向量中提取潜在表示,作为扩散模型的训练数据,这样做可以捕捉到原有参数的关键特征。
训练过程中,研究人员让p-diff通过正向和反向过程来学习参数的分布,完成后,扩散模型像生成视觉信息的过程一样,从随机噪声中合成这些潜在表示。
最后,新生成的潜在表示再被与编码器对应的解码器还原成网络参数,并用于构建新模型。

下图是通过p-diff、使用3个随机种子从头开始训练的ResNet-18模型的参数分布,展示了不同层之间以及同一层不同参数之间的分布模式。

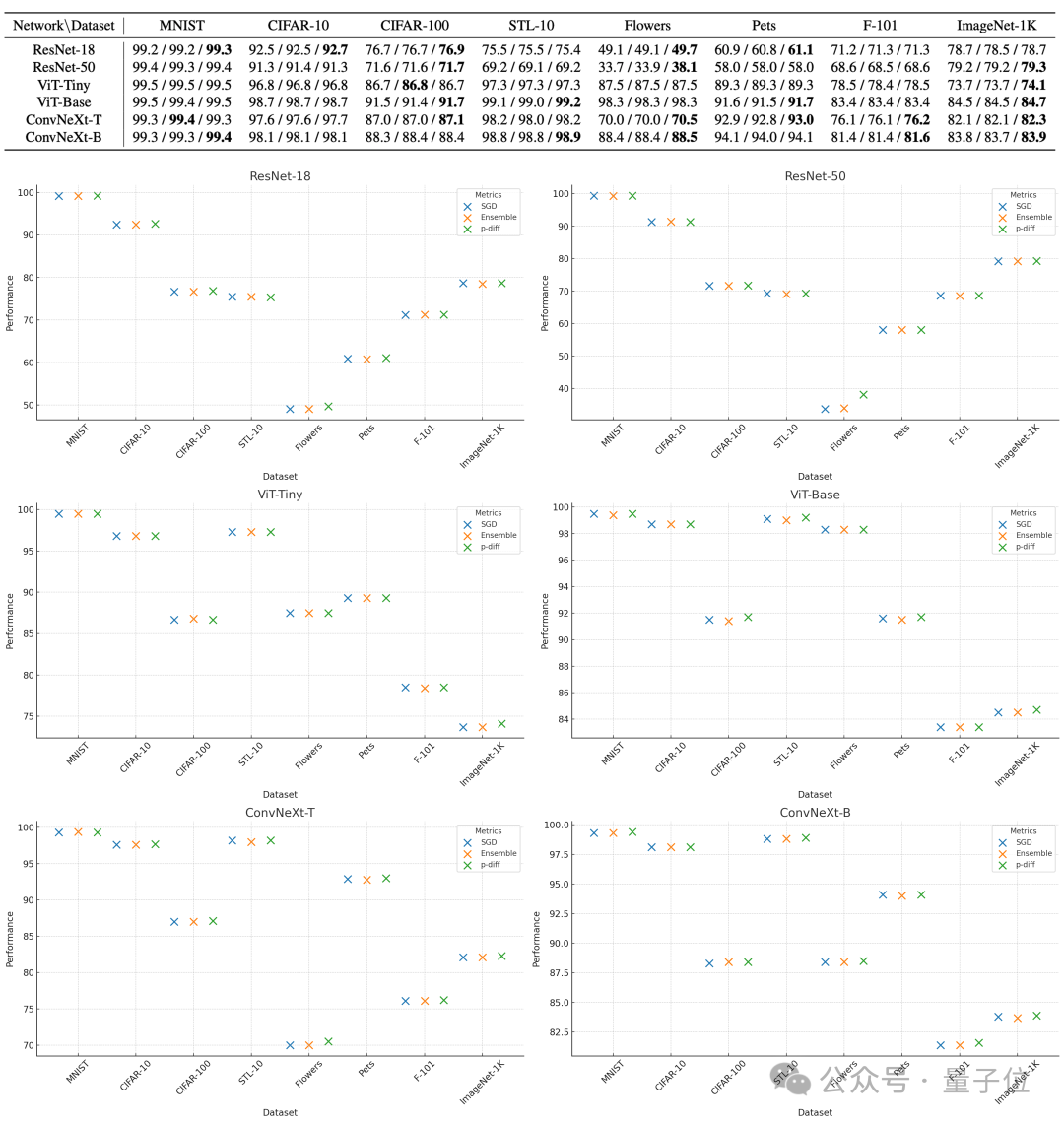
为了评估p-diff所生成参数的质量,研究人员利用3种类型、每种两个规模的神经网络,在8个数据集上对其进行了测试。
下表中,每组的三个数字依次表示原始模型、集成模型和用p-diff生成的模型的测评成绩。
结果可以看到,用p-diff生成的模型表现基本都接近甚至超过了人工训练的原始模型。

效率上,在不损失准确度的情况下,p-diff生成ResNet-18网络的速度是传统训练的15倍,生成Vit-Base的速度更是达到了44倍。

额外的测试结果证明,p-diff生成的模型与训练数据有显著差异。
从下图(a)可以看到,p-diff生成的模型之间的相似度低于各原始模型之间的相似度,以及p-diff与原始模型的相似度。
而从(b)和(c)中可知,与微调、噪声添加方式相比,p-diff的相似度同样更低。
这些结果说明,p-diff是真正生成了新的模型,而非仅仅记忆训练样本,同时也表明其具有良好的泛化能力,能够生成与训练数据不同的新模型。

目前,p-diff的代码已经开源,感兴趣的话可以到GitHub中查看。
论文地址:https://arxiv.org/abs/2402.13144
GitHub:https://github.com/NUS-HPC-AI-Lab/Neural-Network-Diffusion
理论要掌握,实操不能落!以上关于《打入AI底层!NUS尤洋团队用扩散模型构建神经网络参数,LeCun点赞》的详细介绍,大家都掌握了吧!如果想要继续提升自己的能力,那么就来关注golang学习网公众号吧!
如果使用 sqlserver 驱动程序,map 对现有键返回 0
- 上一篇
- 如果使用 sqlserver 驱动程序,map 对现有键返回 0
- 下一篇
- 如何创建带有 Status 字段的 Kubernetes 对象?
-
- 科技周边 · 人工智能 | 26分钟前 |
- Kimi Chat替代品有哪些?5款长文本AI工具测评
- 348浏览 收藏
-
- 科技周边 · 人工智能 | 28分钟前 | 文心一言 百度AI文心一言
- 文心一言4.5错误修复方法大全
- 132浏览 收藏
-
- 科技周边 · 人工智能 | 37分钟前 |
- Claude怎么读完电子书?新方法揭秘
- 404浏览 收藏
-
- 科技周边 · 人工智能 | 43分钟前 | openclaw
- OpenClawAI支持长对话吗?使用教程
- 247浏览 收藏
-
- 科技周边 · 人工智能 | 44分钟前 |
- AI办公工具推荐与效率提升技巧
- 406浏览 收藏
-
- 科技周边 · 人工智能 | 1小时前 | DeepSeek
- 外贸人必用翻译工具推荐
- 464浏览 收藏
-
- 科技周边 · 人工智能 | 1小时前 |
- DeepSeekV4展会邀约短信怎么写
- 124浏览 收藏
-
- 科技周边 · 人工智能 | 1小时前 |
- Perplexity递归搜索死循环解决方法
- 172浏览 收藏
-
- 科技周边 · 人工智能 | 1小时前 |
- Minimax会议纪要效率提升10倍秘诀
- 408浏览 收藏
-
- 科技周边 · 人工智能 | 1小时前 | 火山方舟
- 设置方舟CodingPlan预警线,避免Token超支
- 360浏览 收藏
-
- 科技周边 · 人工智能 | 1小时前 |
- WorkBuddy技能导入响应慢?配置异步优化方法
- 260浏览 收藏
-
- 科技周边 · 人工智能 | 1小时前 | Hermes Agent HermesAgent
- HermesAgent接入KimiMoonshot配置解析
- 115浏览 收藏
-
- 前端进阶之JavaScript设计模式
- 设计模式是开发人员在软件开发过程中面临一般问题时的解决方案,代表了最佳的实践。本课程的主打内容包括JS常见设计模式以及具体应用场景,打造一站式知识长龙服务,适合有JS基础的同学学习。
- 543次学习
-
- GO语言核心编程课程
- 本课程采用真实案例,全面具体可落地,从理论到实践,一步一步将GO核心编程技术、编程思想、底层实现融会贯通,使学习者贴近时代脉搏,做IT互联网时代的弄潮儿。
- 516次学习
-
- 简单聊聊mysql8与网络通信
- 如有问题加微信:Le-studyg;在课程中,我们将首先介绍MySQL8的新特性,包括性能优化、安全增强、新数据类型等,帮助学生快速熟悉MySQL8的最新功能。接着,我们将深入解析MySQL的网络通信机制,包括协议、连接管理、数据传输等,让
- 500次学习
-
- JavaScript正则表达式基础与实战
- 在任何一门编程语言中,正则表达式,都是一项重要的知识,它提供了高效的字符串匹配与捕获机制,可以极大的简化程序设计。
- 487次学习
-
- 从零制作响应式网站—Grid布局
- 本系列教程将展示从零制作一个假想的网络科技公司官网,分为导航,轮播,关于我们,成功案例,服务流程,团队介绍,数据部分,公司动态,底部信息等内容区块。网站整体采用CSSGrid布局,支持响应式,有流畅过渡和展现动画。
- 485次学习
-
- ChatExcel酷表
- ChatExcel酷表是由北京大学团队打造的Excel聊天机器人,用自然语言操控表格,简化数据处理,告别繁琐操作,提升工作效率!适用于学生、上班族及政府人员。
- 4495次使用
-
- Any绘本
- 探索Any绘本(anypicturebook.com/zh),一款开源免费的AI绘本创作工具,基于Google Gemini与Flux AI模型,让您轻松创作个性化绘本。适用于家庭、教育、创作等多种场景,零门槛,高自由度,技术透明,本地可控。
- 4844次使用
-
- 可赞AI
- 可赞AI,AI驱动的办公可视化智能工具,助您轻松实现文本与可视化元素高效转化。无论是智能文档生成、多格式文本解析,还是一键生成专业图表、脑图、知识卡片,可赞AI都能让信息处理更清晰高效。覆盖数据汇报、会议纪要、内容营销等全场景,大幅提升办公效率,降低专业门槛,是您提升工作效率的得力助手。
- 4721次使用
-
- 星月写作
- 星月写作是国内首款聚焦中文网络小说创作的AI辅助工具,解决网文作者从构思到变现的全流程痛点。AI扫榜、专属模板、全链路适配,助力新人快速上手,资深作者效率倍增。
- 6559次使用
-
- MagicLight
- MagicLight.ai是全球首款叙事驱动型AI动画视频创作平台,专注于解决从故事想法到完整动画的全流程痛点。它通过自研AI模型,保障角色、风格、场景高度一致性,让零动画经验者也能高效产出专业级叙事内容。广泛适用于独立创作者、动画工作室、教育机构及企业营销,助您轻松实现创意落地与商业化。
- 5087次使用
-
- GPT-4王者加冕!读图做题性能炸天,凭自己就能考上斯坦福
- 2023-04-25 501浏览
-
- 单块V100训练模型提速72倍!尤洋团队新成果获AAAI 2023杰出论文奖
- 2023-04-24 501浏览
-
- ChatGPT 真的会接管世界吗?
- 2023-04-13 501浏览
-
- VR的终极形态是「假眼」?Neuralink前联合创始人掏出新产品:科学之眼!
- 2023-04-30 501浏览
-
- 实现实时制造可视性优势有哪些?
- 2023-04-15 501浏览

