南大、腾讯推出更稳更准的StableDrag拖拽P图技术
南京大学和腾讯联合开发了一种名为 StableDrag 的拖拽 P 图技术,它通过判别式点跟踪和置信动作监督,解决了现有拖拽技术的点跟踪不精准和动作监控不完善问题。StableDrag 显著提升了拖拽编辑的稳定性和精确性,使其能够更精准地修改和合成图像,创造出更加生动和有趣的作品。
在去年的五月份,一个名为 DragGAN 的研究引起了人工智能领域的关注。这项研究让图片变得“活”起来,只需动动鼠标就能实现。通过拖拽的方式,我们可以修改和合成出我们想要的图像,例如在下图中让一只狮子转过头来并张开嘴巴。这种技术的突破为图像编辑和合成带来了新的可能性,让用户能够以更直观的方式进行图像处理,从而创造出更加生动和有趣的作品。
这一研究成果源自华人学者领导的项目“Drag Your GAN”,最近发表在SIGGRAPH 2023会议上。该项目已在GitHub上获得了34.5k的Star。

项目地址:https://github.com/XingangPan/DragGAN
新加坡国立大学和字节跳动合作推出了DragDiffusion研究项目,利用大规模预训练扩散模型,显著提高了基于点的交互式编辑在实际场景中的适用性。这一技术的效果可以通过动图展示。

虽然取得了重要的成就,但类似的拖拽方案存在两个主要问题,即点跟踪不精准和动作监控不完善,可能导致拖拽效果无法达到预期。
南京大学和腾讯的研究者提出了一种判别式点跟踪方法,以解决现有系统的缺陷。通过基于置信的潜在增强策略,他们构建了一个名为StableDrag的拖拽编辑框架,提升了动作监督的稳定性和精确性。
判别式点跟踪方法能够准确定位更新的操纵点,有助于提升长程操纵的稳定性。另外,基于置信的潜在增强策略能够确保在所有操纵步骤中,优化的潜在变量具有高质量,从而提高系统的性能表现。

- 论文标题:StableDrag: Stable Dragging for Point-based Image Editing
- 论文地址:https://arxiv.org/pdf/2403.04437.pdf
- 项目地址:https://stabledrag.github.io/
得益于这些独特的设计,研究者实例化了两种类型的图像编辑模型:StableDrag-GAN 和 StableDrag-Diff。这两个模型在 DragBench 上进行了广泛的定性和定量评估,结果都显示出更加稳定的拖拽效果。
从下面视频中,我们可以看到 StableDrag-GAN 的拖拽全过程。

如下为 StableDrag-GAN 的更多拖拽示例。




StableDrag-Diff 的拖拽示例如下所示。



方法介绍
如图 1 所示,由于不精确的点跟踪和不完整的动作监督,DragGAN 和 DragDiffusion 对图像的编辑质量不高。因此,在这项工作中,本文将注意力集中在当前的拖拽技术上,以实现更稳定和更精确的图像操作。

拖拽 pipeline 如图 2 所示,包括判别点跟踪模块( Discriminative PT )和置信动作监督模块( Confident MS )。

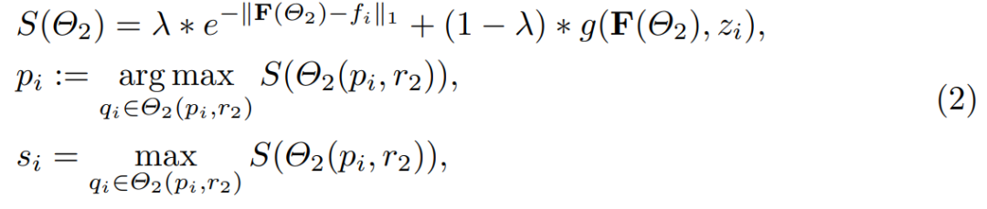
判别点跟踪
本文提出了一种更具辨别力但简单的点跟踪算法。在本文的设计中,点跟踪模型构成卷积层的权重,并提供点分类得分作为输出。具体来说,本文建议学习一个函数
,其中 g 为卷积函数,
为当前操纵点( handle point ) p_i 周围的局部 patch,z_i 为学习到的跟踪模型。详细流程如上图 2 所示。
在此过程中,跟踪点 p_i 的更新方式为:

跟踪模型 z_i 是一个大小为 1 × C × 1 × 1 的卷积滤波器,其学习过程概述如图 3 所示。本文使用 f_i 初始化 z_i 并在以下损失的监督下更新权重:

置信动作监督
本文提出了一种基于置信度的潜在增强策略,如图 2 所示。首先,本文引入跟踪得分最大值即 s_i,来表示当前的监督置信度,以及置信度分数在 step-1 产生增强策略的阈值。通常,当模型足够自信地识别当前状态时,本文会采用论文中等式(1)的原始动作监督。如果当前的置信度得分低于预定义的阈值,则采用初始模板进行监督。具体强化监督定义为:

实验结果
研究者基于 PyTorch 实现了 StableDrag-GAN 和 StableDrag-Diff,实验中使用了一块英伟达 V100 GPU。
下图 5 展示了 DragGAN 与 StableDrag-GAN、DragDiffusion 与 StableDrag-Diff、以及 FreeDrag-Diff 与 StableDrag-Diff 三组模型之间的定性比较。
可以看到,本文的 StableDrag 方法可以更精准地将操纵点移动到目标点,例如山峰、狮子下巴、小鹿额头和灯泡。同时,StableDrag 可以生成更高质量和更高保真度的编辑结果,比如保持手提包、眼镜、马和兵马俑的外观。

研究者在 DragBench 基准上对 StableDrag 方法进行了定量评估,该基准包含 205 个具有预定义拖拽点和掩码(mask)的样本。
如下表 1 所示,在 3 种不同的优化步骤设置下,StableDrag-Diff 始终能够优化 DragDiffusion。
这进一步表明:通过置信动作监督和判别式点跟踪,StableDrag 可以在编辑准确性和内容一致性方面实现有潜力的结果。

除了定性和定量评估之外,为了验证本文方法的有效性并展开深入分析,研究者通过「基于 GAN 和扩散模型的定性可视化」以及「基于扩散模型的 DragBench 定量评估」,进行了详细的消融实验。
首先是置信动作监督。研究者首先进行了基于 StableDrag-GAN 的马编辑实验,如下图 6 所示,随着置信度得分逐渐降低,没有置信度动作监督模块的 StableDrag 编辑的图像质量较低。

其次是判别点跟踪。图 7 和表 2 评估了 StableDrag 和没有判别跟踪模型的 StableDrag。我们可以看到,没有判别跟踪模型的 StableDrag 可能会受到背景干扰点的误导,导致结果不准确。


最后是跟踪模块的实用性。该研究提出的点跟踪器在公式和实现上都很简洁。如表 3 所示训练跟踪器(大约仅 1 秒)花费的时间远少于拖拽过程。

更多技术细节和实验结果请参阅原论文。
好了,本文到此结束,带大家了解了《南大、腾讯推出更稳更准的StableDrag拖拽P图技术》,希望本文对你有所帮助!关注golang学习网公众号,给大家分享更多科技周边知识!
Go语言与Linux系统间的兼容性状况怎么样?
- 上一篇
- Go语言与Linux系统间的兼容性状况怎么样?
- 下一篇
- 通过 JSON 映射重建 JSON 结构
-
- 科技周边 · 人工智能 | 12分钟前 | 骡子快跑
- 骡子快跑支持多租户吗_骡子快跑隔离与权限管理方案
- 114浏览 收藏
-
- 科技周边 · 人工智能 | 19分钟前 | DeepSeek
- 怎么让DeepSeek扮演面试官?模拟面试对练
- 308浏览 收藏
-
- 科技周边 · 人工智能 | 24分钟前 | openclaw
- OpenClaw多人共享一个实例安全吗_OpenClaw协作使用注意事项【解答】
- 262浏览 收藏
-
- 科技周边 · 人工智能 | 26分钟前 | openclaw
- openclawAI能否与其他AI模块联动_openclawAI扩展集成方法【方法】
- 334浏览 收藏
-
- 科技周边 · 人工智能 | 44分钟前 |
- WorkBuddy 定时关机与定时提醒任务的设置技巧
- 217浏览 收藏
-
- 科技周边 · 人工智能 | 1小时前 |
- Minimax API 如何配置 Webhook 接收任务结果?
- 103浏览 收藏
-
- 科技周边 · 人工智能 | 1小时前 |
- 本地部署大模型API鉴权设置_Nginx反向代理
- 138浏览 收藏
-
- 科技周边 · 人工智能 | 1小时前 |
- Capybara模型的局限性是什么 人工智能Capybara无法做什么
- 155浏览 收藏
-
- 科技周边 · 人工智能 | 1小时前 |
- 1个Token等于多少个汉字 中英文Token数量换算公式大全
- 244浏览 收藏
-
- 科技周边 · 人工智能 | 1小时前 | 即梦AI
- 即梦AI如何生成中国风插画_即梦AI国风绘画技巧【国潮】
- 190浏览 收藏
-
- 科技周边 · 人工智能 | 1小时前 |
- 如何修复Perplexity在Docker容器中部署时的网络报错_配置容器DNS与宿主机代理转发
- 292浏览 收藏
-
- 科技周边 · 人工智能 | 1小时前 |
- 千问如何让提示词包含约束条件_千问约束条件提示词写法【步骤】
- 337浏览 收藏
-
- 前端进阶之JavaScript设计模式
- 设计模式是开发人员在软件开发过程中面临一般问题时的解决方案,代表了最佳的实践。本课程的主打内容包括JS常见设计模式以及具体应用场景,打造一站式知识长龙服务,适合有JS基础的同学学习。
- 543次学习
-
- GO语言核心编程课程
- 本课程采用真实案例,全面具体可落地,从理论到实践,一步一步将GO核心编程技术、编程思想、底层实现融会贯通,使学习者贴近时代脉搏,做IT互联网时代的弄潮儿。
- 516次学习
-
- 简单聊聊mysql8与网络通信
- 如有问题加微信:Le-studyg;在课程中,我们将首先介绍MySQL8的新特性,包括性能优化、安全增强、新数据类型等,帮助学生快速熟悉MySQL8的最新功能。接着,我们将深入解析MySQL的网络通信机制,包括协议、连接管理、数据传输等,让
- 500次学习
-
- JavaScript正则表达式基础与实战
- 在任何一门编程语言中,正则表达式,都是一项重要的知识,它提供了高效的字符串匹配与捕获机制,可以极大的简化程序设计。
- 487次学习
-
- 从零制作响应式网站—Grid布局
- 本系列教程将展示从零制作一个假想的网络科技公司官网,分为导航,轮播,关于我们,成功案例,服务流程,团队介绍,数据部分,公司动态,底部信息等内容区块。网站整体采用CSSGrid布局,支持响应式,有流畅过渡和展现动画。
- 485次学习
-
- ChatExcel酷表
- ChatExcel酷表是由北京大学团队打造的Excel聊天机器人,用自然语言操控表格,简化数据处理,告别繁琐操作,提升工作效率!适用于学生、上班族及政府人员。
- 4466次使用
-
- Any绘本
- 探索Any绘本(anypicturebook.com/zh),一款开源免费的AI绘本创作工具,基于Google Gemini与Flux AI模型,让您轻松创作个性化绘本。适用于家庭、教育、创作等多种场景,零门槛,高自由度,技术透明,本地可控。
- 4812次使用
-
- 可赞AI
- 可赞AI,AI驱动的办公可视化智能工具,助您轻松实现文本与可视化元素高效转化。无论是智能文档生成、多格式文本解析,还是一键生成专业图表、脑图、知识卡片,可赞AI都能让信息处理更清晰高效。覆盖数据汇报、会议纪要、内容营销等全场景,大幅提升办公效率,降低专业门槛,是您提升工作效率的得力助手。
- 4694次使用
-
- 星月写作
- 星月写作是国内首款聚焦中文网络小说创作的AI辅助工具,解决网文作者从构思到变现的全流程痛点。AI扫榜、专属模板、全链路适配,助力新人快速上手,资深作者效率倍增。
- 6486次使用
-
- MagicLight
- MagicLight.ai是全球首款叙事驱动型AI动画视频创作平台,专注于解决从故事想法到完整动画的全流程痛点。它通过自研AI模型,保障角色、风格、场景高度一致性,让零动画经验者也能高效产出专业级叙事内容。广泛适用于独立创作者、动画工作室、教育机构及企业营销,助您轻松实现创意落地与商业化。
- 5063次使用
-
- GPT-4王者加冕!读图做题性能炸天,凭自己就能考上斯坦福
- 2023-04-25 501浏览
-
- 单块V100训练模型提速72倍!尤洋团队新成果获AAAI 2023杰出论文奖
- 2023-04-24 501浏览
-
- ChatGPT 真的会接管世界吗?
- 2023-04-13 501浏览
-
- VR的终极形态是「假眼」?Neuralink前联合创始人掏出新产品:科学之眼!
- 2023-04-30 501浏览
-
- 实现实时制造可视性优势有哪些?
- 2023-04-15 501浏览

