掌握Python的垃圾回收机制
在IT行业这个发展更新速度很快的行业,只有不停止的学习,才不会被行业所淘汰。如果你是文章学习者,那么本文《掌握Python的垃圾回收机制》就很适合你!本篇内容主要包括##content_title##,希望对大家的知识积累有所帮助,助力实战开发!
得益于 Python 的自动垃圾回收机制,在 Python 中创建对象时无须手动释放。这对开发者非常友好,让开发者无须关注低层内存管理。但如果对其垃圾回收机制不了解,很多时候写出的 Python 代码会非常低效。
垃圾回收算法有很多,主要有: 引用计数 、 标记-清除 、 分代收集 等。
在 python 中,垃圾回收算法以 引用计数 为主, 标记-清除 和 分代收集 两种机制为辅。
1 引用计数
1.1 引用计数算法原理
引用计数原理比较简单:
每个对象有一个整型的引用计数属性。用于记录对象被引用的次数。例如对象 A ,如果有一个对象引用了 A ,则 A 的引用计数 +1 。当引用删除时, A 的引用计数 -1 。当 A 的引用计数为0时,即表示对象 A 不可能再被使用,直接回收。
在 Python 中,可以通过 sys 模块的 getrefcount 函数获取指定对象的引用计数器的值,我们以实际例子来看。
import sys class A(): def __init__(self): pass a = A() print(sys.getrefcount(a))
运行上面代码,可以得到输出结果为 2 。
1.2 计数器增减条件
上面我们看到,创建一个 A 对象,并将对象赋值给 a 变量后,对象的引用计数器值为 2 。那么什么时候计数器会 +1 ,什么时候计数器会 -1 呢?
1.2.1 引用计数+1的条件
A() a=A() func(a) arr=[a,a]
1.2.2 引用计数-1的条件
对象被显式销毁,如 del a 。变量重新赋予新的对象,例如 a=0 。对象离开它的作用域,如 func 函数执行完毕时, func 函数中的局部变量(全局变量不会)。
对象所在的容器被销毁,或从容器中删除对象。
1.2.3 代码实战
为了更好的理解计数器的增减,我们运行实际代码,一目了然。
import sys
class A():
def __init__(self):
pass
print("创建对象 0 + 1 =", sys.getrefcount(A()))
a = A()
print("创建对象并赋值 0 + 2 =", sys.getrefcount(a))
b = a
c = a
print("赋给2个变量 2 + 2 =", sys.getrefcount(a))
b = None
print("变量重新赋值 4 - 1 =", sys.getrefcount(a))
del c
print("del对象 3 - 1 =", sys.getrefcount(a))
d = [a, a, a]
print("3次加入列表 2 + 3 =", sys.getrefcount(a))
def func(c):
print('传入函数 1 + 2 = ', sys.getrefcount(c))
func(A())输出结果如下:
创建对象 0 + 1 = 1 创建对象并赋值 0 + 2 = 2 赋给2个变量 2 + 2 = 4 变量重新赋值 4 - 1 = 3 del对象 3 - 1 = 2 3次加入列表 2 + 3 = 5 传入函数 1 + 2 = 3
1.3 引用计数的优点与缺点
1.3.1 引用计数优点
高效、逻辑简单,只需根据规则对计数器做加减法。
实时性。一旦对象的计数器为零,就说明对象永远不可能再被用到,无须等待特定时机,直接释放内存。
1.3.2 引用计数缺点
需要为对象分配引用计数空间,增大了内存消耗。
当需要释放的对象比较大时,如字典对象,需要对引用的所有对象循环嵌套调用,可能耗时比较长。
循环引用。 这是引用计数的致命伤,引用计数对此是无解的,因此必须要使用其它的垃圾回收算法对其进行补充。

2 标记-清除
上一小节提到,引用计数算法无法解决循环引用问题,循环引用的对象会导致大家的计数器永远都不会等于 0 ,带来无法回收的问题。
标记-清除 算法主要用于潜在的循环引用问题,该算法分为2步:
标记阶段。将所有的对象看成图的节点,根据对象的引用关系构造图结构。从图的根节点遍历所有的对象,所有访问到的对象被打上标记,表明对象是“可达”的。
清除阶段。遍历所有对象,如果发现某个对象没有标记为“可达”,则就回收。
以具体代码示例说明:
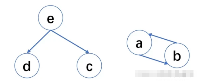
class A(): def __init__(self): self.obj = None def func(): a = A() b = A() c = A() d = A() a.obj = b b.obj = a return [c, d] e = func()
上面代码中,a和b相互引用,e引用了c和d。整个引用关系如下图所示

如果采用引用计数器算法,那么a和b两个对象将无法被回收。而采用标记清除法,从根节点(即e对象)开始遍历,c、d、e三个对象都会被标记为 可达 ,而a和b无法被标记。因此a和b会被回收。
这是读者可能会有疑问,为什么确定根节点是e,而不会是a、b、c、d呢?这里就有讲究了,什么样的对象会被看成是根节点呢?一般而言,根节点的选取包括(但不限于)如下几种:
当前栈帧中的本地变量表中引用的对象,如各个线程被调用的方法堆栈中使用到的参数、 局部变量、 临时变量等。
全局静态变量
...
3 分代收集
3.1 分代收集原理
在执行垃圾回收过程中,程序会被暂停,即 stop-the-world 。这里很好理解:你妈妈在打扫房间的时候,肯定不允许你在房间内到处丢垃圾,要不然永远也无法打扫干净。
为了减少程序的暂停时间,采用 分代回收 ( Generational Collection )降低垃圾收集耗时。
分代回收基于这样的法则:
接大部分的对象生命周期短,大部分对象都是朝生夕灭。
经历越多次数的垃圾收集且活下来的对象,说明该对象越不可能是垃圾,应该越少去收集。
Python 中,对象一共有3种世代: G0 , G1 , G2 。
对象刚创建时为
G0。如果在一轮
GC扫描中存活下来,则移至G1,处于G1的对象被扫描次数会减少。如果再次在扫描中活下来,则进入
G2,处于G1的对象被扫描次数将会更少。
3.2 触发GC时机
当某世代中分配的对象数量与被释放的对象之差达到某个阈值的时,将触发对该代的扫描。当某世代触发扫描时,比该世代年轻的世代也会触发扫描。
那么这个阈值是多少呢?我们可以通过代码查看或者修改,示例代码如下
import gc
threshold = gc.get_threshold()
print("各世代的阈值:", threshold)
# 设置各世代阈值
# gc.set_threshold(threshold0[, threshold1[, threshold2]])
gc.set_threshold(800, 20, 20)输出结果如下:
各世代的阈值: (700, 10, 10)
今天带大家了解了的相关知识,希望对你有所帮助;关于文章的技术知识我们会一点点深入介绍,欢迎大家关注golang学习网公众号,一起学习编程~
使用Java中的Arrays.parallelSort方法来实现并行排序
- 上一篇
- 使用Java中的Arrays.parallelSort方法来实现并行排序
- 下一篇
- PHP使用正则表达式验证字符串是否以特定字符开头结尾
-
- 文章 · python教程 | 23分钟前 |
- Pythonf-string格式化技巧详解
- 430浏览 收藏
-
- 文章 · python教程 | 28分钟前 |
- Python字典翻转键值对技巧
- 383浏览 收藏
-
- 文章 · python教程 | 34分钟前 |
- Python爬虫如何用Session保持登录与自动带Cookie
- 335浏览 收藏
-
- 文章 · python教程 | 44分钟前 |
- Python循环引用怎么产生及避免方法
- 226浏览 收藏
-
- 文章 · python教程 | 46分钟前 |
- PyTorch模型并行训练详解
- 153浏览 收藏
-
- 文章 · python教程 | 49分钟前 |
- Python用NumPy读取CSV表头数据
- 240浏览 收藏
-
- 文章 · python教程 | 59分钟前 |
- 生成器关闭时如何处理GeneratorExit异常
- 446浏览 收藏
-
- 文章 · python教程 | 1小时前 |
- Python重置索引方法与参数详解
- 153浏览 收藏
-
- 文章 · python教程 | 1小时前 |
- TF-IDF与词频对比:Python文本向量化解析
- 349浏览 收藏
-
- 文章 · python教程 | 2小时前 |
- Python字典找最大值键方法
- 309浏览 收藏
-
- 文章 · python教程 | 2小时前 |
- Python3.10TensorFlow旧版报错解决办法
- 322浏览 收藏
-
- 文章 · python教程 | 3小时前 |
- Python线程锁Lock与RLock区别详解
- 235浏览 收藏
-
- 前端进阶之JavaScript设计模式
- 设计模式是开发人员在软件开发过程中面临一般问题时的解决方案,代表了最佳的实践。本课程的主打内容包括JS常见设计模式以及具体应用场景,打造一站式知识长龙服务,适合有JS基础的同学学习。
- 543次学习
-
- GO语言核心编程课程
- 本课程采用真实案例,全面具体可落地,从理论到实践,一步一步将GO核心编程技术、编程思想、底层实现融会贯通,使学习者贴近时代脉搏,做IT互联网时代的弄潮儿。
- 516次学习
-
- 简单聊聊mysql8与网络通信
- 如有问题加微信:Le-studyg;在课程中,我们将首先介绍MySQL8的新特性,包括性能优化、安全增强、新数据类型等,帮助学生快速熟悉MySQL8的最新功能。接着,我们将深入解析MySQL的网络通信机制,包括协议、连接管理、数据传输等,让
- 500次学习
-
- JavaScript正则表达式基础与实战
- 在任何一门编程语言中,正则表达式,都是一项重要的知识,它提供了高效的字符串匹配与捕获机制,可以极大的简化程序设计。
- 487次学习
-
- 从零制作响应式网站—Grid布局
- 本系列教程将展示从零制作一个假想的网络科技公司官网,分为导航,轮播,关于我们,成功案例,服务流程,团队介绍,数据部分,公司动态,底部信息等内容区块。网站整体采用CSSGrid布局,支持响应式,有流畅过渡和展现动画。
- 485次学习
-
- ChatExcel酷表
- ChatExcel酷表是由北京大学团队打造的Excel聊天机器人,用自然语言操控表格,简化数据处理,告别繁琐操作,提升工作效率!适用于学生、上班族及政府人员。
- 4480次使用
-
- Any绘本
- 探索Any绘本(anypicturebook.com/zh),一款开源免费的AI绘本创作工具,基于Google Gemini与Flux AI模型,让您轻松创作个性化绘本。适用于家庭、教育、创作等多种场景,零门槛,高自由度,技术透明,本地可控。
- 4822次使用
-
- 可赞AI
- 可赞AI,AI驱动的办公可视化智能工具,助您轻松实现文本与可视化元素高效转化。无论是智能文档生成、多格式文本解析,还是一键生成专业图表、脑图、知识卡片,可赞AI都能让信息处理更清晰高效。覆盖数据汇报、会议纪要、内容营销等全场景,大幅提升办公效率,降低专业门槛,是您提升工作效率的得力助手。
- 4706次使用
-
- 星月写作
- 星月写作是国内首款聚焦中文网络小说创作的AI辅助工具,解决网文作者从构思到变现的全流程痛点。AI扫榜、专属模板、全链路适配,助力新人快速上手,资深作者效率倍增。
- 6498次使用
-
- MagicLight
- MagicLight.ai是全球首款叙事驱动型AI动画视频创作平台,专注于解决从故事想法到完整动画的全流程痛点。它通过自研AI模型,保障角色、风格、场景高度一致性,让零动画经验者也能高效产出专业级叙事内容。广泛适用于独立创作者、动画工作室、教育机构及企业营销,助您轻松实现创意落地与商业化。
- 5076次使用
-
- Flask框架安装技巧:让你的开发更高效
- 2024-01-03 501浏览
-
- Django框架中的并发处理技巧
- 2024-01-22 501浏览
-
- 提升Python包下载速度的方法——正确配置pip的国内源
- 2024-01-17 501浏览
-
- Python与C++:哪个编程语言更适合初学者?
- 2024-03-25 501浏览
-
- 品牌建设技巧
- 2024-04-06 501浏览

