如何在Java中查找二叉树的最低公共祖先
学习文章要努力,但是不要急!今天的这篇文章《如何在Java中查找二叉树的最低公共祖先》将会介绍到等等知识点,如果你想深入学习文章,可以关注我!我会持续更新相关文章的,希望对大家都能有所帮助!
思路一:先假设这棵树是二叉搜索树
首先我们补充说明一下什么是二叉搜索树:
在二叉搜索树中,对于每一个节点来说,他的左子树中的值都比他小,右子树的中的值都比他大。所以二叉搜索树的中序遍历是一组有序的数据。

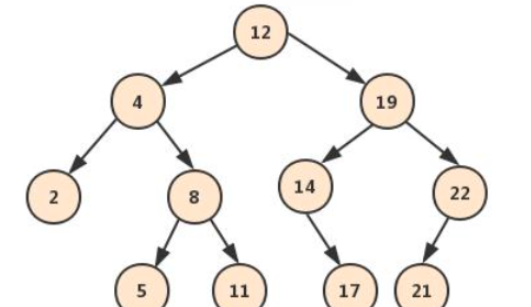
对于上述这棵树,假设要求 p q 的最近公共祖先。
那么它有以下情况:


对于普通的二叉树来说,也无非就这几种情况:pq都在左,pq都在右,pq一左一右,pq有一个是根节点。
所以分别递归的去左子树和右子树中找 p q 节点的公共祖先,找到了则返回该节点,没有找到则返回空。



根据上述思路,我们很容易写出代码
public TreeNode lowestCommonAncestor(TreeNode root, TreeNode p, TreeNode q) {
if(root == null) return null;
// p 为当前树的根节点
if(p == root) return p;
// q 为当前树的根节点
if(q == root) return q;
// 去左子树中找
TreeNode left = lowestCommonAncestor(root.left,p,q);
// 去右子树中找
TreeNode right = lowestCommonAncestor(root.right,p,q);
// 左边右边都找到了
if(left != null && right != null) {
return root;
}
// 左边找到了,右边没找到
if(left != null) {
return left;
}
if(right != null) {
return right;
}
return null;
}思路二:假设该树是用孩子双亲表示法
每个节点会保存它父亲节点的地址,可以层层网上找,直到找到两链表的第一个交点,该交点就是他们的公共祖先。

而对于普通的二叉树来说,只能层层往下找,不能往上,所以要保留两节点的路径,直到两路径的最后一个相同节点。这里我们用栈来保留两个节点的路径。

先弹出元素多的栈中的元素,然后两个栈再一起弹出,直到要弹出的节点相等,就是其最近公共祖先。

那么这里最大的难点就是存储路径。
这里用栈来存储路径,当遍历到一个节点时,将该节点放入栈中,再递归该节点的左树和右树找,如果找到了则保留路径,没找到则弹出。
假设找下图的p:

先将根节点放入栈,递归root节点的左子树找,找不到则弹出,在右子树中找。

当 root 走到 6 的时候,发现该节点的左右均为空,说明在该子树中没找到目标节点,弹出 6 ,在 5 的右子树中继续找。

同理在 5 的右子树中也找不到,会弹出直到去 3 的右子树找,来到 1 ,找到。

// 用于找节点的路径
public boolean getPath(TreeNode root, TreeNode node, Stack<TreeNode> stack) {
if(root == null || node == null) {
return false;
}
// 将当前节点放入栈中
stack.push(root);
if(root.val == node.val) {
return true;// 找到了
}
// 当前节点没找到,去左子树找
boolean flag = getPath(root.left,node,stack);
// 左子树中找到了,直接返回
if(flag) {
return true;
}
// 左子树没找到,去右子树找
flag = getPath(root.right,node,stack);
// 右子树中找到了,直接返回
if(flag) {
return true;
}
// 左右子树都没找到,弹出节点
stack.pop();
return false;
}
public TreeNode lowestCommonAncestor(TreeNode root, TreeNode p, TreeNode q) {
if(root == null) {
return null;
}
Stack<TreeNode> stackp = new Stack<>();
Stack<TreeNode> stackq = new Stack<>();
// 分别得到 p q 的路径
getPath(root,p,stackp);
getPath(root,q,stackq);
int sizep = stackp.size();
int sizeq = stackq.size();
if(sizep > sizeq) {
int size = sizep - sizeq;
// 弹出元素直至两栈中元素个数相等
while(size > 0) {
stackp.pop();
size--;
}
}else {
int size = sizeq - sizep;
// 弹出元素直至两栈中元素个数相等
while(size > 0) {
stackq.pop();
size--;
}
}
// 一起弹出,直到找到第一个相同的元素
while(!stackp.isEmpty() && !stackq.isEmpty()) {
if(stackp.peek() == stackq.peek()) {
// 找到了,就返回该节点
return stackq.pop();
}else {
stackp.pop();
stackq.pop();
}
}
// 没找到,返回 null
return null;
} 终于介绍完啦!小伙伴们,这篇关于《如何在Java中查找二叉树的最低公共祖先》的介绍应该让你收获多多了吧!欢迎大家收藏或分享给更多需要学习的朋友吧~golang学习网公众号也会发布文章相关知识,快来关注吧!
解决PHP Fatal error: Class 'classname' not found错误
- 上一篇
- 解决PHP Fatal error: Class 'classname' not found错误
- 下一篇
- 使用PHP和Vue.js开发防护社会工程学攻击的应用程序指南
-
- 文章 · java教程 | 26分钟前 |
- 常量替代魔数,提升代码可维护性
- 447浏览 收藏
-
- 文章 · java教程 | 52分钟前 |
- 软引用导致老年代频繁GC怎么排查?
- 302浏览 收藏
-
- 文章 · java教程 | 1小时前 |
- Flux转Mono安全组合异步操作方法
- 180浏览 收藏
-
- 文章 · java教程 | 1小时前 |
- Java使用Collectors.summingInt统计总数方法
- 476浏览 收藏
-
- 文章 · java教程 | 2小时前 |
- Java多重异常捕获技巧与try catch用法解析
- 122浏览 收藏
-
- 文章 · java教程 | 2小时前 |
- Java开发可视化构建工具配置指南
- 351浏览 收藏
-
- 文章 · java教程 | 2小时前 |
- Condition await与signal精准唤醒线程方法
- 393浏览 收藏
-
- 文章 · java教程 | 2小时前 |
- 任务关联性处理详解:CompletableFuture.runAfterBoth应用
- 456浏览 收藏
-
- 文章 · java教程 | 2小时前 |
- Java NIO详解:Buffer与Channel使用教程
- 412浏览 收藏
-
- 文章 · java教程 | 2小时前 |
- Java哈希契约:同步重写hashCode与equals方法
- 237浏览 收藏
-
- 文章 · java教程 | 3小时前 |
- Jackson XML转JSON忽略属性提取文本详解
- 500浏览 收藏
-
- 文章 · java教程 | 3小时前 |
- VS Code配置Java测试运行器插件教程
- 501浏览 收藏
-
- 前端进阶之JavaScript设计模式
- 设计模式是开发人员在软件开发过程中面临一般问题时的解决方案,代表了最佳的实践。本课程的主打内容包括JS常见设计模式以及具体应用场景,打造一站式知识长龙服务,适合有JS基础的同学学习。
- 543次学习
-
- GO语言核心编程课程
- 本课程采用真实案例,全面具体可落地,从理论到实践,一步一步将GO核心编程技术、编程思想、底层实现融会贯通,使学习者贴近时代脉搏,做IT互联网时代的弄潮儿。
- 516次学习
-
- 简单聊聊mysql8与网络通信
- 如有问题加微信:Le-studyg;在课程中,我们将首先介绍MySQL8的新特性,包括性能优化、安全增强、新数据类型等,帮助学生快速熟悉MySQL8的最新功能。接着,我们将深入解析MySQL的网络通信机制,包括协议、连接管理、数据传输等,让
- 500次学习
-
- JavaScript正则表达式基础与实战
- 在任何一门编程语言中,正则表达式,都是一项重要的知识,它提供了高效的字符串匹配与捕获机制,可以极大的简化程序设计。
- 487次学习
-
- 从零制作响应式网站—Grid布局
- 本系列教程将展示从零制作一个假想的网络科技公司官网,分为导航,轮播,关于我们,成功案例,服务流程,团队介绍,数据部分,公司动态,底部信息等内容区块。网站整体采用CSSGrid布局,支持响应式,有流畅过渡和展现动画。
- 485次学习
-
- ChatExcel酷表
- ChatExcel酷表是由北京大学团队打造的Excel聊天机器人,用自然语言操控表格,简化数据处理,告别繁琐操作,提升工作效率!适用于学生、上班族及政府人员。
- 4224次使用
-
- Any绘本
- 探索Any绘本(anypicturebook.com/zh),一款开源免费的AI绘本创作工具,基于Google Gemini与Flux AI模型,让您轻松创作个性化绘本。适用于家庭、教育、创作等多种场景,零门槛,高自由度,技术透明,本地可控。
- 4581次使用
-
- 可赞AI
- 可赞AI,AI驱动的办公可视化智能工具,助您轻松实现文本与可视化元素高效转化。无论是智能文档生成、多格式文本解析,还是一键生成专业图表、脑图、知识卡片,可赞AI都能让信息处理更清晰高效。覆盖数据汇报、会议纪要、内容营销等全场景,大幅提升办公效率,降低专业门槛,是您提升工作效率的得力助手。
- 4463次使用
-
- 星月写作
- 星月写作是国内首款聚焦中文网络小说创作的AI辅助工具,解决网文作者从构思到变现的全流程痛点。AI扫榜、专属模板、全链路适配,助力新人快速上手,资深作者效率倍增。
- 6118次使用
-
- MagicLight
- MagicLight.ai是全球首款叙事驱动型AI动画视频创作平台,专注于解决从故事想法到完整动画的全流程痛点。它通过自研AI模型,保障角色、风格、场景高度一致性,让零动画经验者也能高效产出专业级叙事内容。广泛适用于独立创作者、动画工作室、教育机构及企业营销,助您轻松实现创意落地与商业化。
- 4833次使用
-
- 提升Java功能开发效率的有力工具:微服务架构
- 2023-10-06 501浏览
-
- 掌握Java海康SDK二次开发的必备技巧
- 2023-10-01 501浏览
-
- 如何使用java实现桶排序算法
- 2023-10-03 501浏览
-
- Java开发实战经验:如何优化开发逻辑
- 2023-10-31 501浏览
-
- 如何使用Java中的Math.max()方法比较两个数的大小?
- 2023-11-18 501浏览

