详解Latte:去年底上线的全球首个开源文生视频DiT
哈喽!大家好,很高兴又见面了,我是golang学习网的一名作者,今天由我给大家带来一篇《详解Latte:去年底上线的全球首个开源文生视频DiT》,本文主要会讲到等等知识点,希望大家一起学习进步,也欢迎大家关注、点赞、收藏、转发! 下面就一起来看看吧!
随着 Sora 发布成功,视频 DiT 模型引起了广泛关注和讨论。设计稳定的超大规模神经网络一直是视觉生成领域研究的重点。DiT 模型的成功为图像生成的规模化带来了新的可能性。
然而,由于视频数据的高度结构化和复杂性,将 DiT 扩展到视频生成领域是一项具有挑战性的任务。一支由上海人工智能实验室的研究团队和其他机构联合组成的团队,通过大规模的实验回答了这一问题。
去年11月,该团队已经发布了一款名为Latte的自研模型,其技术与Sora有相似之处。Latte是全球首个开源文生视频DiT,受到了广泛关注。许多开源框架如Open-Sora Plan (PKU)和Open-Sora (ColossalAI)都在使用和参考Latte的模型设计。

- 开源链接:https://github.com/Vchitect/Latte
- 项目主页:https://maxin-cn.github.io/latte_project/
- 论文链接:https://arxiv.org/pdf/2401.03048v1.pdf
先来看下Latte的视频生成效果。

方法介绍
总的来说,Latte包含两个关键模块:预先训练的VAE和视频DiT。在预先训练的VAE中,编码器负责将视频逐帧从像素空间压缩到潜在空间,而视频DiT则负责提取token并进行时空建模以对潜在表征进行处理,最后,VAE解码器将特征映射回像素空间以生成视频。为了获得最佳的视频质量,研究者专注于Latte设计中的两个重要方面,即视频DiT模型的整体结构设计和模型训练的最佳实践细节。
(1)Latte 整体模型结构设计探究

图 1. Latte 模型结构及其变体
作者提出了 4 种不同的 Latte 变体 (图 1),从时空注意力机制的角度设计了两种 Transformer 模块,同时在每种模块中分别研究了两种变体(Variant):
1. 单注意力机制模块,每个模块中只包含时间或者空间注意力。
- 时空交错式建模 (Variant 1): 时间模块插入到各个空间模块之后。
- 时空顺序式建模 (Variant 2): 时间模块整体置于空间模块之后。
2. 多注意力机制模块,每个模块中同时包含时间与空间注意力机制 (Open-sora所参考变体)。
- 串联式时空注意力机制 (Variant 3): 时空注意力机制串行建模。
- 并联式时空注意力机制 (Variant 4): 时空注意力机制并行建模并特征融合。
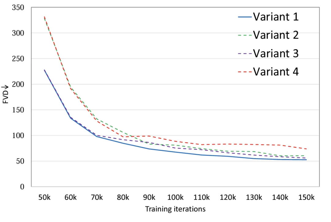
实验表明 (图 2),通过对 4 种模型变体设置相同的参数量,变体 4 相较于其他三种变体在 FLOPS 上有着明显的差异,因此 FVD 上也相对最高,其他 3 种变体总体性能类似,变体 1 取得了最优异的性能,作者计划未来在大规模的数据上做更加细致的讨论。

图 2. 模型结构 FVD
(2)Latte 模型与训练细节的最优设计探究(The best practices)
除了模型总体结构设计,作者还探究了其他模型与训练中影响生成效果的因素。
1.Token 提取:探究了单帧 token(a)和时空 token(b)两种方式,前者只在空间层面压缩 token,后者同时压缩时空信息。实验显示单帧 token 要优于时空 token(图 4)。与 Sora 进行比较,作者猜测 Sora 提出的时空 token 是通过视频 VAE 进行了时间维度的预压缩,而在隐空间上与 Latte 的设计类似都只进行了单帧 token 的处理。

图 3. Token 提取方式,(a) 单帧 token 和 (b) 时空 token

图 4. Token 提取 FVD
2. 条件注入模式:探究了(a)S-AdaLN 和(b)all tokens 两种方式 (图 5)。S-AdaLN 通过 MLP 将条件信息转换为归一化中的变量注入到模型中。All token 形式将所有条件转化为统一的 token 作为模型的输入。实验证明,S-AdaLN 的方式相较于 all token 对于获得高质量的结果更加有效 (图 6)。原因是,S-AdaLN 可以使信息被直接注入到每一个模块。而 all token 需要将条件信息从输入逐层传递到最后,存在着信息流动过程中的损失。

图 5. (a) S-AdaLN 和 (b) all tokens。

图 6. 条件注入方式 FVD
3. 时空位置编码:探究了绝对位置编码与相对位置编码。不同的位置编码对最后视频质量影响很小 (图 7)。由于生成时长较短,位置编码的不同不足以影响视频质量,对于长视频生成,这一因素需要被重新考虑。

图 7. 位置编码方式 FVD
4. 模型初始化:探究使用 ImageNet 预训练参数初始化对模型性能的影响。实验表明,使用 ImageNet 初始化的模型具有较快的收敛速度,然而,随着训练的进行,随机初始化的模型却取得了较好的结果 (图 8)。可能的原因在于 ImageNet 与训练集 FaceForensics 存在着比较大的分布差异,因此未能对模型的最终结果起到促进作用。而对于文生视频任务而言,该结论需要被重新考虑。在通用数据集的分布上,图像与视频的内容空间分布相似,使用预训练 T2I 模型对于 T2V 可以起到极大的促进作用。

图 8. 初始化参数 FVD
5. 图像视频联合训练:将视频与图像压缩为统一 token 进行联合训练,视频 token 负责优化全部参数,图像 token 只负责优化空间参数。联合训练对于最终的结果有着显著的提升 (表 2 和表 3),无论是图片 FID,还是视频 FVD,通过联合训练都得到了降低,该结果与基于 UNet 的框架 [2][3] 是一致的。
6. 模型尺寸:探究了 4 种不同的模型尺寸,S,B,L 和 XL (表 1)。扩大视频 DiT 规模对于提高生成样本质量有着显著的帮助 (图 9)。该结论也证明了在视频扩散模型中使用 Transformer 结构对于后续 scaling up 的正确性。

表 1. Latte 不同尺寸模型规模

图 9. 模型尺寸 FVD
定性与定量分析
作者分别在 4 个学术数据集(FaceForensics,TaichiHD,SkyTimelapse 以及 UCF101)进行了训练。定性与定量(表 2 和表 3)结果显示 Latte 均取得了最好的性能,由此可以证明模型整体设计是具有优异性的。

表 2. UCF101 图片质量评估

表 3. Latte 与 SoTA 视频质量评估
文生视频扩展
为了进一步证明 Latte 的通用性能,作者将 Latte 扩展到了文生视频任务,利用预训练 PixArt-alpha [4] 模型作为空间参数初始化,按照最优设计的原则,在经过一段时间的训练之后,Latte 已经初步具备了文生视频的能力。后续计划通过扩大规模验证 Latte 生成能力的上限。
讨论与总结
Latte 作为全世界首个开源文生视频 DiT,已经取得了很有前景的结果,但由于计算资源的巨大差异,在生成清晰度,流畅度上以及时长上与 Sora 相比还具有不小的差距。团队欢迎并在积极寻求各种合作,希望通过开源的力量,打造出性能卓越的自主研发大规模通用视频生成模型。
文中关于模型,训练的知识介绍,希望对你的学习有所帮助!若是受益匪浅,那就动动鼠标收藏这篇《详解Latte:去年底上线的全球首个开源文生视频DiT》文章吧,也可关注golang学习网公众号了解相关技术文章。
如何将文件系统设置为 http.Handler
- 上一篇
- 如何将文件系统设置为 http.Handler
- 下一篇
- 如何让突发的多个请求等待第一个完成(分布式)
-
- 科技周边 · 人工智能 | 5分钟前 |
- 融光— 开源全流程 AI 视频创作平台,自动化工作流
- 346浏览 收藏
-
- 科技周边 · 人工智能 | 6分钟前 |
- Minimax大模型API返回数据格式 JSON参数字段详细解释【文档】
- 392浏览 收藏
-
- 科技周边 · 人工智能 | 38分钟前 |
- airpords怎么恢复出厂设置 airpords重置出厂设置步骤【指南】
- 160浏览 收藏
-
- 科技周边 · 人工智能 | 43分钟前 | 骡子快跑
- 骡子快跑能解释错误日历_骡子快跑日志分析辅助方法
- 312浏览 收藏
-
- 科技周边 · 人工智能 | 45分钟前 |
- 如何利用Perplexity优化Istio服务网格的流量治理策略_检索虚拟服务配置
- 108浏览 收藏
-
- 科技周边 · 人工智能 | 50分钟前 |
- Cursor AI 对代码隐私和安全性的保障如何?
- 178浏览 收藏
-
- 科技周边 · 人工智能 | 1小时前 | DeepSeek
- deepseek能否识别用户情绪并安抚回应_情绪识别安抚技巧【技巧】
- 322浏览 收藏
-
- 科技周边 · 人工智能 | 1小时前 |
- 90%的人都不知道:AI小程序开发,竟然可以这么简单!
- 336浏览 收藏
-
- 科技周边 · 人工智能 | 1小时前 | 爱奇艺纳豆pro
- 爱奇艺纳豆pro需要升级吗
- 363浏览 收藏
-
- 科技周边 · 人工智能 | 1小时前 |
- 如何提高PPT汇报中的数据可信度 利用DeepSeek获取第三方权威数据支撑
- 106浏览 收藏
-
- 科技周边 · 人工智能 | 1小时前 | ChatGPT
- 本地部署大模型的法律风险_版权与开源协议解读
- 131浏览 收藏
-
- 科技周边 · 人工智能 | 1小时前 | Hermes Agent HermesAgent
- HermesAgent数据公平:Metrics集成实战指南
- 342浏览 收藏
-
- 前端进阶之JavaScript设计模式
- 设计模式是开发人员在软件开发过程中面临一般问题时的解决方案,代表了最佳的实践。本课程的主打内容包括JS常见设计模式以及具体应用场景,打造一站式知识长龙服务,适合有JS基础的同学学习。
- 543次学习
-
- GO语言核心编程课程
- 本课程采用真实案例,全面具体可落地,从理论到实践,一步一步将GO核心编程技术、编程思想、底层实现融会贯通,使学习者贴近时代脉搏,做IT互联网时代的弄潮儿。
- 516次学习
-
- 简单聊聊mysql8与网络通信
- 如有问题加微信:Le-studyg;在课程中,我们将首先介绍MySQL8的新特性,包括性能优化、安全增强、新数据类型等,帮助学生快速熟悉MySQL8的最新功能。接着,我们将深入解析MySQL的网络通信机制,包括协议、连接管理、数据传输等,让
- 500次学习
-
- JavaScript正则表达式基础与实战
- 在任何一门编程语言中,正则表达式,都是一项重要的知识,它提供了高效的字符串匹配与捕获机制,可以极大的简化程序设计。
- 487次学习
-
- 从零制作响应式网站—Grid布局
- 本系列教程将展示从零制作一个假想的网络科技公司官网,分为导航,轮播,关于我们,成功案例,服务流程,团队介绍,数据部分,公司动态,底部信息等内容区块。网站整体采用CSSGrid布局,支持响应式,有流畅过渡和展现动画。
- 485次学习
-
- ChatExcel酷表
- ChatExcel酷表是由北京大学团队打造的Excel聊天机器人,用自然语言操控表格,简化数据处理,告别繁琐操作,提升工作效率!适用于学生、上班族及政府人员。
- 4443次使用
-
- Any绘本
- 探索Any绘本(anypicturebook.com/zh),一款开源免费的AI绘本创作工具,基于Google Gemini与Flux AI模型,让您轻松创作个性化绘本。适用于家庭、教育、创作等多种场景,零门槛,高自由度,技术透明,本地可控。
- 4799次使用
-
- 可赞AI
- 可赞AI,AI驱动的办公可视化智能工具,助您轻松实现文本与可视化元素高效转化。无论是智能文档生成、多格式文本解析,还是一键生成专业图表、脑图、知识卡片,可赞AI都能让信息处理更清晰高效。覆盖数据汇报、会议纪要、内容营销等全场景,大幅提升办公效率,降低专业门槛,是您提升工作效率的得力助手。
- 4679次使用
-
- 星月写作
- 星月写作是国内首款聚焦中文网络小说创作的AI辅助工具,解决网文作者从构思到变现的全流程痛点。AI扫榜、专属模板、全链路适配,助力新人快速上手,资深作者效率倍增。
- 6466次使用
-
- MagicLight
- MagicLight.ai是全球首款叙事驱动型AI动画视频创作平台,专注于解决从故事想法到完整动画的全流程痛点。它通过自研AI模型,保障角色、风格、场景高度一致性,让零动画经验者也能高效产出专业级叙事内容。广泛适用于独立创作者、动画工作室、教育机构及企业营销,助您轻松实现创意落地与商业化。
- 5050次使用
-
- GPT-4王者加冕!读图做题性能炸天,凭自己就能考上斯坦福
- 2023-04-25 501浏览
-
- 单块V100训练模型提速72倍!尤洋团队新成果获AAAI 2023杰出论文奖
- 2023-04-24 501浏览
-
- ChatGPT 真的会接管世界吗?
- 2023-04-13 501浏览
-
- VR的终极形态是「假眼」?Neuralink前联合创始人掏出新产品:科学之眼!
- 2023-04-30 501浏览
-
- 实现实时制造可视性优势有哪些?
- 2023-04-15 501浏览

