CVPR 2024|生成不了光线极强的图片?微信视觉团队有效解决扩散模型奇点问题
来源:机器之心
2024-04-09 12:09:21
0浏览
收藏
亲爱的编程学习爱好者,如果你点开了这篇文章,说明你对《CVPR 2024|生成不了光线极强的图片?微信视觉团队有效解决扩散模型奇点问题》很感兴趣。本篇文章就来给大家详细解析一下,主要介绍一下,希望所有认真读完的童鞋们,都有实质性的提高。

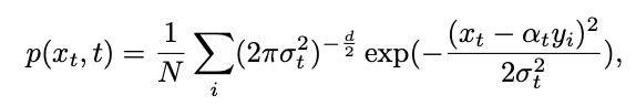
为扩散模型的训练样本,训练样本的分布可以表示为:

,
,
,
随着时间单调的从 1 变化到 0。考虑到刚刚定义的训练样本分布,
的单时刻边际概率密度可以表示为:
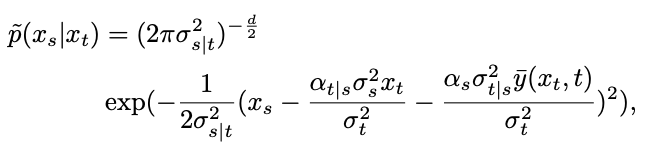
由此,可以通过贝叶斯公式计算逆过程的条件分布:

然而,经过的分布是混合高斯分布,难以用网络进行拟合。因此,主流的扩散模型通常假设这一分布可以由单个高斯分布拟合。

为了验证这一假设,该研究在 Proposition 1 中估计了这一拟合的误差。
也将趋近于 1,误差无法忽略。因此,Proposition 1 并不能证明 t=1 时的逆向高斯特性。为了解决这一问题,该研究给出了新的命题:
将趋近于 0。由此,该研究证明了包含奇点时刻的逆过程全过程都符合高斯特性。
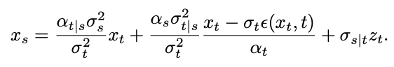
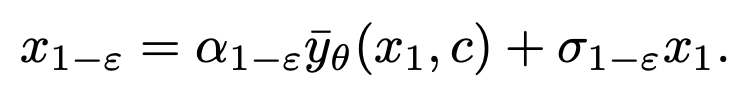
=0,下面的采样公式将出现分母除 0 的情况:

,使用 「x - 预测」,来解决的初始奇点处的采样问题。
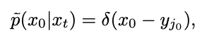
。这样的奇异性会使得采样过程收敛到正确的数据
上。因此,t=0 处的奇点是扩散模型良好的性质,并不需要规避。

SingDiffuion 的算法如下图所示:

,该方法训练了一个 Unet
来拟合
。损失函数表示为:
采样
。
符合 1-ε 时刻的数据分布
,从而解决了平均灰度问题。在这一步骤之后,就可以使用预训练的模型执行后续的采样步骤,直到生成
。值得注意的是,由于该方法仅参与第一步的采样,与后续的采样过程无关,因此 SingDiffusion 可以应用在绝大多数已有的扩散模型中。另外,为了避免无分类器指导操作导致的数据溢出问题,该方法还使用了以下的归一化操作:





可以看出,该研究所提出的方法仅需进行一次训练,即可轻松地应用到已有的扩散模型中,解决平均灰度问题。

从结果中可以看出,该方法能有效解决 ControlNet 的平均灰度问题。
到这里,我们也就讲完了《CVPR 2024|生成不了光线极强的图片?微信视觉团队有效解决扩散模型奇点问题》的内容了。个人认为,基础知识的学习和巩固,是为了更好的将其运用到项目中,欢迎关注golang学习网公众号,带你了解更多关于工程的知识点!
版本声明
本文转载于:机器之心 如有侵犯,请联系study_golang@163.com删除
空 HTML 文件的创建指南
- 上一篇
- 空 HTML 文件的创建指南
- 下一篇
- Stable Diffusion 3论文终于发布,架构细节大揭秘,对复现Sora有帮助?
查看更多
最新文章
-
- 科技周边 · 人工智能 | 5小时前 |
- AI超分辨率修复教程:视频画质提升方法
- 379浏览 收藏
-
- 科技周边 · 人工智能 | 5小时前 |
- AirPodsPro3设置与使用教程
- 309浏览 收藏
-
- 科技周边 · 人工智能 | 6小时前 |
- Claude中文版下载方法及官方指南
- 223浏览 收藏
-
- 科技周边 · 人工智能 | 6小时前 | Workbuddy
- WorkBuddy如何生成甘特图?详细教程
- 216浏览 收藏
-
- 科技周边 · 人工智能 | 6小时前 |
- Minimax视频生成速度优化技巧
- 333浏览 收藏
-
- 科技周边 · 人工智能 | 6小时前 |
- DeepSeekRPC服务与分布式调用解析
- 165浏览 收藏
-
- 科技周边 · 人工智能 | 7小时前 | AI工具 人工智能工具
- Make-A-Video视频制作详解与教程
- 354浏览 收藏
-
- 科技周边 · 人工智能 | 7小时前 |
- 豆包AI时间序列预测教程详解
- 482浏览 收藏
-
- 科技周边 · 人工智能 | 7小时前 |
- Minimax视频生成物理优化解析
- 438浏览 收藏
-
- 科技周边 · 人工智能 | 7小时前 | 松鼠ai
- 松鼠AI测评卷使用教程详解
- 501浏览 收藏
-
- 科技周边 · 人工智能 | 7小时前 | AI工具 ai怎么裁剪图片
- AfterlightAI裁剪教程:快速掌握智能技巧
- 274浏览 收藏
-
- 科技周边 · 人工智能 | 8小时前 | openclaw
- OpenClawAIGPU加速设置方法
- 326浏览 收藏
查看更多
课程推荐
-
- 前端进阶之JavaScript设计模式
- 设计模式是开发人员在软件开发过程中面临一般问题时的解决方案,代表了最佳的实践。本课程的主打内容包括JS常见设计模式以及具体应用场景,打造一站式知识长龙服务,适合有JS基础的同学学习。
- 543次学习
-
- GO语言核心编程课程
- 本课程采用真实案例,全面具体可落地,从理论到实践,一步一步将GO核心编程技术、编程思想、底层实现融会贯通,使学习者贴近时代脉搏,做IT互联网时代的弄潮儿。
- 516次学习
-
- 简单聊聊mysql8与网络通信
- 如有问题加微信:Le-studyg;在课程中,我们将首先介绍MySQL8的新特性,包括性能优化、安全增强、新数据类型等,帮助学生快速熟悉MySQL8的最新功能。接着,我们将深入解析MySQL的网络通信机制,包括协议、连接管理、数据传输等,让
- 500次学习
-
- JavaScript正则表达式基础与实战
- 在任何一门编程语言中,正则表达式,都是一项重要的知识,它提供了高效的字符串匹配与捕获机制,可以极大的简化程序设计。
- 487次学习
-
- 从零制作响应式网站—Grid布局
- 本系列教程将展示从零制作一个假想的网络科技公司官网,分为导航,轮播,关于我们,成功案例,服务流程,团队介绍,数据部分,公司动态,底部信息等内容区块。网站整体采用CSSGrid布局,支持响应式,有流畅过渡和展现动画。
- 485次学习
查看更多
AI推荐
-
- ChatExcel酷表
- ChatExcel酷表是由北京大学团队打造的Excel聊天机器人,用自然语言操控表格,简化数据处理,告别繁琐操作,提升工作效率!适用于学生、上班族及政府人员。
- 4220次使用
-
- Any绘本
- 探索Any绘本(anypicturebook.com/zh),一款开源免费的AI绘本创作工具,基于Google Gemini与Flux AI模型,让您轻松创作个性化绘本。适用于家庭、教育、创作等多种场景,零门槛,高自由度,技术透明,本地可控。
- 4577次使用
-
- 可赞AI
- 可赞AI,AI驱动的办公可视化智能工具,助您轻松实现文本与可视化元素高效转化。无论是智能文档生成、多格式文本解析,还是一键生成专业图表、脑图、知识卡片,可赞AI都能让信息处理更清晰高效。覆盖数据汇报、会议纪要、内容营销等全场景,大幅提升办公效率,降低专业门槛,是您提升工作效率的得力助手。
- 4460次使用
-
- 星月写作
- 星月写作是国内首款聚焦中文网络小说创作的AI辅助工具,解决网文作者从构思到变现的全流程痛点。AI扫榜、专属模板、全链路适配,助力新人快速上手,资深作者效率倍增。
- 6109次使用
-
- MagicLight
- MagicLight.ai是全球首款叙事驱动型AI动画视频创作平台,专注于解决从故事想法到完整动画的全流程痛点。它通过自研AI模型,保障角色、风格、场景高度一致性,让零动画经验者也能高效产出专业级叙事内容。广泛适用于独立创作者、动画工作室、教育机构及企业营销,助您轻松实现创意落地与商业化。
- 4827次使用
查看更多
相关文章
-
- GPT-4王者加冕!读图做题性能炸天,凭自己就能考上斯坦福
- 2023-04-25 501浏览
-
- 单块V100训练模型提速72倍!尤洋团队新成果获AAAI 2023杰出论文奖
- 2023-04-24 501浏览
-
- ChatGPT 真的会接管世界吗?
- 2023-04-13 501浏览
-
- VR的终极形态是「假眼」?Neuralink前联合创始人掏出新产品:科学之眼!
- 2023-04-30 501浏览
-
- 实现实时制造可视性优势有哪些?
- 2023-04-15 501浏览

