CLRNet:一种用于自动驾驶车道检测的分层细化网络算法
大家好,今天本人给大家带来文章《CLRNet:一种用于自动驾驶车道检测的分层细化网络算法》,文中内容主要涉及到,如果你对科技周边方面的知识点感兴趣,那就请各位朋友继续看下去吧~希望能真正帮到你们,谢谢!
在视觉导航系统中,车道检测是一项至关重要的功能。它不仅对自动驾驶和高级驾驶员辅助系统(ADAS)等应用有着显著的影响,而且对于智能车辆的自我定位和安全驾驶起着关键作用。因此,车道检测技术的发展对于提高交通系统的智能化和安全性具有重要意义。
然而,车道检测具有独特的局部模式,要求准确预测网络图像中的车道信息,并依赖详细的低级特征来实现精确定位。因此,车道检测可被视为计算机视觉中一项重要而具有挑战性的任务。
使用不同的特征级别对于准确的车道检测非常重要,但折现工作仍处于探索阶段。本文介绍了跨层细化网络(CLRNet),旨在充分利用到车道检测中的高级和低级特征。首先,通过检测具有高级语义特征的车道,然后根据低级特征进行细化。这种方式可以利用更多的上下文信息来检测车道,同时利用本地详细的车道特征来提高定位精度。此外,通过 ROIGather 的方式来收集全局上下文,可以进一步增强车道的特征表示。除了设计全新的网络之外,还引入了线路 IoU 损失,它将车道线作为一个整体单元进行回归,以提高定位精度。
如前所述,由于Lane具有高级语义,但它拥有特定的局部模式,需要详细的低级特征才能准确定位。如何在 CNN 中有效利用不同的特征级别仍然是一个问题。如下图 1(a)所示,地标和车道线具有不同的语义,但它们具有相似的特征(例如长白线)。如果没有高级语义和全局上下文,很难区分它们。另一方面,地域性也很重要,巷子又长又细,当地格局简单。

在图1(b)中展示了高级特征的检测结果,虽然成功检测到了车道,但其准确性有待提高。因此,结合低层和高层信息能够相互补充,从而实现更精确的车道检测。
车道检测中常见的另一个问题是缺乏车道存在的视觉信息。在某些情况下,车道可能被其他车辆占据,导致难以检测车道。另外,在极端的光照条件下,车道的识别也会变得困难。
相关工作
以前的工作要么对车道的局部几何进行建模并将其集成到全局结果中,要么构建具有全局特征的全连接层来预测车道。这些检测器已经证明了局部或全局特征对于车道检测的重要性,但没有同时利用好这两个特征,因此可能产生不准确的检测性能。比如,SCNN和RESA提出了一种消息传递机制来收集全局上下文,但这些方法执行像素级预测并且不将车道作为一个整体单元。因此,它们的性能落后于许多最先进的探测器。
对于车道检测来说,低级和高级特征是互补的,基于此,本文提出了一种新颖的网络架构(CLRNet)来充分利用低级和高级特征进行车道检测。首先,通过ROIGather 收集全局上下文来进一步增强车道特征的表示,也可以将其插入其他网络中。其次,提出为车道检测量身定制的线IoU(LIoU)损失,将车道作为整个单元进行回归,并显着提高性能。为了更好地比较不同探测器的定位精度,还采用了新的mF1 指标。
基于CNN的车道检测目前主要分为三种方法:基于分割的方法,基于锚的方法和基于参数的方法,这些方法根据车道的表示方式来进行识别。
1、基于分割的方法
这类算法通常采用逐像素预测公式,即将车道检测视为语义分割任务。SCNN提出了一种消息传递机制来解决非视觉能检测到的目标问题,该机制捕获了车道中呈现的强空间关系。SCNN显着提高了车道检测性能,但该方法对于实时应用来说速度较慢。RESA提出了一种实时特征聚合模块,使网络能够收集全局特征并提高性能。在CurveLane-NAS中,使用神经架构搜索(NAS)来寻找更好的网络来捕获准确的信息,以有利于曲线车道的检测。然而,NAS 的计算成本极其昂贵,并且需要花费大量的 GPU 时间。这些基于分割的方法效率低下且耗时,因为它们对整个图像执行像素级预测,并且不将车道视为一个整体单元。
2、基于锚点的方法
车道检测中基于锚的方法可以分为两类,例如基于线锚的方法和基于行锚的方法。基于线锚的方法采用预定义的线锚作为参考来回归准确的车道。Line-CNN是在车道检测中使用线和弦的开创性工作。LaneATT提出了一种新颖的基于锚的注意力机制,可以聚合全局信息。它实现了最先进的结果,并显示出高功效和效率。SGNet引入了一种新颖的消失点引导锚生成器,并添加了多个结构引导以提高性能。对于基于行锚的方法,它预测图像上每个预定义行的可能单元格。UFLD首先提出了一种基于行锚的车道检测方法,并采用轻量级主干网来实现高推理速度。虽然简单、快速,但其整体性能并不好。CondLaneNet引入了一种基于条件卷积和基于行锚的公式的条件车道检测策略,即它首先定位车道线的起点,然后执行基于行锚的车道检测。但在一些复杂场景下,起点难以识别,导致性能相对较差。
3、基于参数的方法
与点回归不同,基于参数的方法用参数对车道曲线进行建模,并对这些参数进行回归以检测车道。PolyLaneNet采用多项式回归问题并取得了很高的效率。LSTR将道路结构和相机位姿考虑在内来对车道形状进行建模,然后将Transformer引入车道检测任务以获得全局特征。
基于参数的方法需要回归的参数较少,但对预测参数敏感,例如,高阶系数的错误预测可能会导致车道形状的变化。尽管基于参数的方法具有很快的推理速度,但它们仍然难以实现更高的性能。
跨层细化网络(CLRNet)的方法论概述
在本文中,介绍了一种新的框架——跨层细化网络(CLRNet),它充分利用低级和高级特征进行车道检测。具体来说,首先对高语义特征进行检测以粗略地定位车道。然后再根据细节特征逐步细化车道位置和特征提取可以获得高精度的检测结果(即更精确的位置)。为了解决车道的非视觉所能探测的区域盲区问题,引入了 ROI收集器,通过建立ROI车道特征与整个特征图之间的关系来捕获更多的全局上下文信息。此外,还定义了车道线的交并比 IoU,并提出 Line IoU (LIoU) 损失,将车道作为一个整体单元进行回归,与标准损失(即 smooth-l1 损失)相比,显着提高了性能。

图 2. CLRNet 概述
如上图表示了本文介绍的CLRNet算法进行车道线IoU处理的整个前端网络。其中,图(a)网络从 FPN 结构生成特征图。随后,每个车道先验将从高级特征细化为低级特征。图(b)表示每个头将利用更多上下文信息为车道获取先验特征。图(c)则表示车道先验的分类和回归。而本文所提出的 Line IoU 损失有助于进一步提高回归性能。
如下将更加详细说明本文介绍的算法工作过程。
1、车道网络表示
众所周知,实际道路中的车道又细又长,这种特征表示是具有很强的形状先验信息的,因此预定义的车道先验可以帮助网络更好地定位车道。在常规的目标检测中,目标由矩形框表示。然而,无论何种矩形框却并不适合表示长线。这里使用等距的二维点作为车道表示。具体来说,车道表示为点序列,即 P = {(x1, y1), ···,(xN , yN )}。点的 y 坐标在图像垂直方向上均匀采样,即
,其中 H 是图像高度。因此,x坐标与相应的
相关联,这里将这种表示称为 Lane 优先。每个车道先验将由网络预测,并由四个部分组成:
(1) 前景和背景概率。
(2) 车道长度优先。
(3) 车道线的起点与先验车道的 x 轴之间的角度(称为 x、y 和 θ)。
(4) N 个偏移量,即预测与其真实值之间的水平距离。
2、跨层细化动机
在神经网络中,深层的高级特征对具有更多语义特征的道路目标表现出更强烈的反馈,而浅层的低级特征则具有更多的局部上下文信息。算法允许车道对象访问高级特征可以帮助利用更有用的上下文信息,例如区分车道线或地标。同时,精细的细节特征有助于以高定位精度检测车道。在对象检测中,它构建特征金字塔以利用ConvNet特征层次结构的金字塔形状,并将不同尺度的对象分配给不同的金字塔级别。然而,很难直接将一条车道仅分配给一个级别,因为高级和低级功能对于车道都至关重要。受 Cascade RCNN的启发,可以将车道对象分配给所有级别,并按顺序来检测各个车道。
特别是,可以检测具有高级特征的车道,以粗略地定位车道。根据检测到的已知车道,就可以使用更详细的特征来细化它们。
3、细化结构
整个算法的目标是利用 ConvNet 的金字塔特征层次结构(具有从低级到高级的语义),并构建一个始终具有高级语义的特征金字塔。以残差网络ResNet作为主干,使用{L0, L1, L2}表示 FPN 生成的特征级别。
如图2所示,跨层细化是从最高级别L0开始的,且逐渐接近L2。通过使用{R0,R1,R2}来表示相应的细化。然后可以继续构建一系列的细化结构:

其中 t = 1, · · · , T, T 是细化的总数。
整个方法从具有高语义的最高层执行检测,Pt是车道先验的参数(起点坐标x、y和角度θ),它是受启发且可自学习的。对于第一层L0,P0均匀分布在图像平面上,细化Rt以Pt作为输入以获得ROI车道特征,然后执行两个FC层以获得细化参数Pt。逐步细化车道先验信息和特征信息提取对于跨层细化是非常重要。注意,此方法不限于 FPN 结构,仅使用 ResNet或采用 PAFPN也是合适的。
4、ROI 收集
在为每个特征图分配车道先验信息后,可以使用 ROI Align模块获得车道先验的特征。然而,这些特征的上下文信息仍然不够。在某些情况下,车道实例可能会被占用或在极端照明条件下会变得模糊。在这种情况下,可能没有局部视觉实时跟踪数据来表明车道的存在性。为了确定一个像素是否属于车道,需要查看附近的特征。最近的一些研究也表明,如果充分利用远程依赖关系,性能可以得到提高。因此,可以收集更多有用的上下文信息来更好地学习车道特征。
为此,先沿车道进行卷积计算,这样,车道先验中的每个像素都可以收集附近像素的信息,并且可以根据该信息对占用的部分进行强化。此外,还通过建立了车道先验特征和整个特征图之间的关系。因此,可以利用更多的上下文信息来学习更好的特征表示。
整个ROI搜集模块结构重量轻且易于实施。因为,它以特征图和车道先验作为输入,每个车道先验有 N 个点。与边界框的 ROI Align 不同,对于每个车道先验信息搜集,需要先按照 ROI Align得到车道先验的 ROI 特征 (Xp ∈ RC×Np )。从车道先验中均匀采样 Np 点,并使用双线性插值来计算这些位置处输入特征的精确值。对于L1、L2的ROI特征,可以通过连接前几层的 ROI 特征来增强特征表示。通过对提取的 ROI 特征进行卷积可以收集每个车道像素的附近特征。为了节省内存,这里使用全连接来进一步提取车道先验特征(Xp ∈ RC×1),其中,特征图的大小调整为 Xf ∈ RC×H×W ,可以继续展平为 Xf ∈RC×HW 。
为了收集车道具有先验特征的全局上下文信息,需要首先计算 ROI 车道先验特征 (Xp) 和全局特征图 (Xf) 之间的注意力矩阵 W,其写为:

其中 f 是归一化函数 soft max。聚合后的特征可写为:

输出 G 反映了 Xf 对 Xp 的叠加值,它是从 Xf 的所有位置中选择的。最后,将输出添加到原始输入 Xp 上。
为了进一步演示 ROIGather 在网络中的工作原理,在图3 中可视化了注意力图的ROIGather 分析。它显示了车道先验的 ROI 特征和整个特征图之间的注意力。橙色线是之前对应的车道,红色区域对应于注意力权重的高分。

图 3. ROIGather 中注意力权重的图示
如上图显示了车道先验(橙色线)的 ROI 特征与整个特征图之间的注意力权重。颜色越亮,权重值越大。值得注意的是,所提出的 ROIGather 可以有效地收集具有丰富语义信息的全局上下文,即使在遮挡下也能捕获前景车道的特征。
5、车道线交并比IoU 损失
如上所述,车道先验由需要与其基本事实回归的离散点组成。常用的距离损失(如 smooth-l1)可用于对这些点进行回归。然而,这种损失将点作为单独的变量,这是一个过于简单化的假设,导致回归不太准确。
与距离损失相反,并集交集(IoU)可以将车道先验作为一个整体单元进行回归,并且它是针对评估指标量身定制的。这里推导出一种简单有效的算法来计算线 IoU (LIoU) 损失。
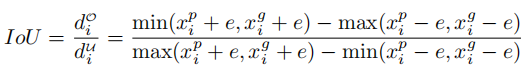
如下图所示,线交并比 IoU可以通过根据采样的 xi 位置对扩展段的 IoU 进行积分来计算。

图 4. 线 IoU 图示
如上图所示的公式中显示,从线段交并比 IoU 的定义开始引入线 IoU 损失,即两条线段之间相互作用与并集的比率。对于如图 4 所示的预测车道中的每个点,首先将其(xpi )以半径 e 延伸为线段。然后,可以计算延长线段与其groundtruth之间的IoU,写为:

其中 xpi - e, xpi + e 是 xpi 的扩展点,xgi -e,xgi + e 是对应的groundtruth点。请注意,d0i可以为负值,这使得在非重叠线段的情况下可以进行有效的信息优化。
那么LIoU可以被认为是无限线点的组合。为了简化表达式并易于计算,将其转换为离散形式,

然后,LIoU损失定义为:

其中−1 ≤ LIoU ≤1,当两条线完美重叠时,则LIoU = 1,当两条线相距较远时,LIoU收敛于-1。
通过Line IoU损失来计算车道线关联关系有两个优点:(1)它简单且可微分,很容易实现并行计算。(2)它将车道作为一个整体进行预测,这有助于提高整体性能。
6、训练和推理细节
首先,是进行正向样本选择。
在训练过程中,每个地面真实车道作为正样本被动态分配一个或多个预测车道。特别是,根据分配成本对预测车道进行排序,其定义为:

这里 Ccls 是预测和标签之间的焦点成本。Csim 是预测车道和真实车道之间的相似成本。它由三部分组成,Cdis表示所有有效车道点的平均像素距离,Cxy表示起点坐标的距离,Ctheta表示theta角的差值,它们都归一化为[0, 1]。wcls和wsim是每个定义分量的权重系数。每个地面实况车道都根据 Cassign 分配有动态数量(top-k)的预测车道。
其次,是训练损失。
训练损失包括分类损失和回归损失,其中,回归损失仅对指定的样本进行计算。总体损失函数定义为:

Lcls 是预测和标签之间的焦点损失,Lxytl 是起点坐标、theta 角度和车道长度回归的 smooth-l1 损失,LLIoU 是预测车道和地面实况之间的线 IoU 损失。通过添加辅助分割损失的方式,仅在训练期间使用,没有推理成本。
最后,是进行有效推理。通过设置一个带有分类分数的阈值来过滤背景车道(低分车道先验),并使用 nms 来删除之后的高重叠车道。如果使用一对一分配,即设置 top-k = 1,这里也可以是无 nms 的。
总结
在本文中,我们提出了用于车道检测的跨层细化网络(CLRNet)。CLRNet 可以利用高级特征来预测车道,同时利用局部详细特征来提高定位精度。为了解决车道存在的视觉证据不足的问题,提出通过 ROIGather 建立与所有像素的关系来增强车道特征表示。为了将车道作为一个整体进行回归,提出了为车道检测量身定制的 Line IoU 损失,与标准损失(即 smooth-l1 损失)相比,它大大提高了性能。本方法在三个车道检测基准数据集(即 CULane、LLamas 和 Tusimple)上进行评估。所提出的方法在三个车道检测基准上大大优于其他最先进的方法(CULane、Tusimple和 LLAMAS)。
终于介绍完啦!小伙伴们,这篇关于《CLRNet:一种用于自动驾驶车道检测的分层细化网络算法》的介绍应该让你收获多多了吧!欢迎大家收藏或分享给更多需要学习的朋友吧~golang学习网公众号也会发布科技周边相关知识,快来关注吧!
如何从地图上获取钥匙
- 上一篇
- 如何从地图上获取钥匙
- 下一篇
- golang中如何顺序处理并发请求?
-
- 科技周边 · 人工智能 | 9分钟前 |
- WorkBuddy证书错误解决方法及SSL更新指南
- 440浏览 收藏
-
- 科技周边 · 人工智能 | 13分钟前 |
- 龙虾机器人写代码注释,程序员提效神器
- 264浏览 收藏
-
- 科技周边 · 人工智能 | 15分钟前 |
- OpenClaw多任务处理技巧全解析
- 122浏览 收藏
-
- 科技周边 · 人工智能 | 21分钟前 |
- PerplexityAPI余额异常,Key刷新解决方法
- 350浏览 收藏
-
- 科技周边 · 人工智能 | 30分钟前 |
- Minimax提示词指南与海外使用技巧
- 417浏览 收藏
-
- 科技周边 · 人工智能 | 32分钟前 |
- PerplexityAPI充值到账时间与确认方法
- 483浏览 收藏
-
- 科技周边 · 人工智能 | 33分钟前 |
- ChatGPT官网入口及登录流程详解
- 137浏览 收藏
-
- 科技周边 · 人工智能 | 39分钟前 |
- MacOS部署Core开发效率_Xcode与命令行工具的配置成本
- 156浏览 收藏
-
- 科技周边 · 人工智能 | 53分钟前 |
- DeepSeek V4怎么回答价格异议_比价话术与价值塑造【议价】
- 256浏览 收藏
-
- 科技周边 · 人工智能 | 53分钟前 | Hermes Agent HermesAgent
- HermesAgent数据清洗:Pipeline集成实战指南
- 463浏览 收藏
-
- 科技周边 · 人工智能 | 1小时前 |
- 千问如何写小说人物设定提示词_千问人物设定提示词细节【攻略】
- 387浏览 收藏
-
- 科技周边 · 人工智能 | 1小时前 |
- Perplexity Pro值得订阅吗_对比免费版与Pro版的功能差异
- 496浏览 收藏
-
- 前端进阶之JavaScript设计模式
- 设计模式是开发人员在软件开发过程中面临一般问题时的解决方案,代表了最佳的实践。本课程的主打内容包括JS常见设计模式以及具体应用场景,打造一站式知识长龙服务,适合有JS基础的同学学习。
- 543次学习
-
- GO语言核心编程课程
- 本课程采用真实案例,全面具体可落地,从理论到实践,一步一步将GO核心编程技术、编程思想、底层实现融会贯通,使学习者贴近时代脉搏,做IT互联网时代的弄潮儿。
- 516次学习
-
- 简单聊聊mysql8与网络通信
- 如有问题加微信:Le-studyg;在课程中,我们将首先介绍MySQL8的新特性,包括性能优化、安全增强、新数据类型等,帮助学生快速熟悉MySQL8的最新功能。接着,我们将深入解析MySQL的网络通信机制,包括协议、连接管理、数据传输等,让
- 500次学习
-
- JavaScript正则表达式基础与实战
- 在任何一门编程语言中,正则表达式,都是一项重要的知识,它提供了高效的字符串匹配与捕获机制,可以极大的简化程序设计。
- 487次学习
-
- 从零制作响应式网站—Grid布局
- 本系列教程将展示从零制作一个假想的网络科技公司官网,分为导航,轮播,关于我们,成功案例,服务流程,团队介绍,数据部分,公司动态,底部信息等内容区块。网站整体采用CSSGrid布局,支持响应式,有流畅过渡和展现动画。
- 485次学习
-
- ChatExcel酷表
- ChatExcel酷表是由北京大学团队打造的Excel聊天机器人,用自然语言操控表格,简化数据处理,告别繁琐操作,提升工作效率!适用于学生、上班族及政府人员。
- 4472次使用
-
- Any绘本
- 探索Any绘本(anypicturebook.com/zh),一款开源免费的AI绘本创作工具,基于Google Gemini与Flux AI模型,让您轻松创作个性化绘本。适用于家庭、教育、创作等多种场景,零门槛,高自由度,技术透明,本地可控。
- 4818次使用
-
- 可赞AI
- 可赞AI,AI驱动的办公可视化智能工具,助您轻松实现文本与可视化元素高效转化。无论是智能文档生成、多格式文本解析,还是一键生成专业图表、脑图、知识卡片,可赞AI都能让信息处理更清晰高效。覆盖数据汇报、会议纪要、内容营销等全场景,大幅提升办公效率,降低专业门槛,是您提升工作效率的得力助手。
- 4702次使用
-
- 星月写作
- 星月写作是国内首款聚焦中文网络小说创作的AI辅助工具,解决网文作者从构思到变现的全流程痛点。AI扫榜、专属模板、全链路适配,助力新人快速上手,资深作者效率倍增。
- 6492次使用
-
- MagicLight
- MagicLight.ai是全球首款叙事驱动型AI动画视频创作平台,专注于解决从故事想法到完整动画的全流程痛点。它通过自研AI模型,保障角色、风格、场景高度一致性,让零动画经验者也能高效产出专业级叙事内容。广泛适用于独立创作者、动画工作室、教育机构及企业营销,助您轻松实现创意落地与商业化。
- 5067次使用
-
- GPT-4王者加冕!读图做题性能炸天,凭自己就能考上斯坦福
- 2023-04-25 501浏览
-
- 单块V100训练模型提速72倍!尤洋团队新成果获AAAI 2023杰出论文奖
- 2023-04-24 501浏览
-
- ChatGPT 真的会接管世界吗?
- 2023-04-13 501浏览
-
- VR的终极形态是「假眼」?Neuralink前联合创始人掏出新产品:科学之眼!
- 2023-04-30 501浏览
-
- 实现实时制造可视性优势有哪些?
- 2023-04-15 501浏览

