python链表的反转方式是什么
对于一个文章开发者来说,牢固扎实的基础是十分重要的,golang学习网就来带大家一点点的掌握基础知识点。今天本篇文章带大家了解《python链表的反转方式是什么》,主要介绍了,希望对大家的知识积累有所帮助,快点收藏起来吧,否则需要时就找不到了!
python链表的反转
反转链表
给你单链表的头节点 head ,请你反转链表,并返回反转后的链表。

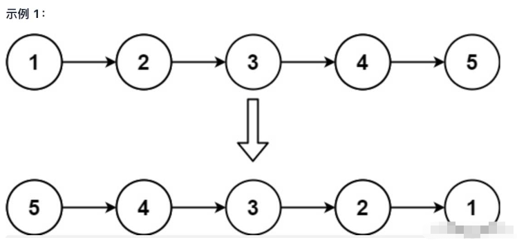
输入:head = [1,2,3,4,5]
输出:[5,4,3,2,1]

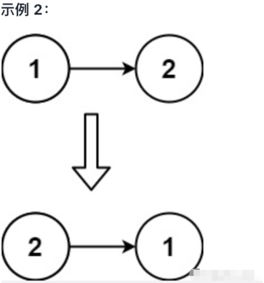
输入:head = [1,2]
输出:[2,1]
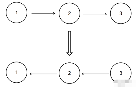
示例 3:
输入:head = []
输出:[]
题解
# Definition for singly-linked list. # class ListNode: # def __init__(self, val=0, next=None): # self.val = val # self.next = next class Solution: """ 解题思路: 1.新建一个头指针 2.遍历head链表,依次在新的头节点位置插入,达到反转的效果 """ def reverseList(self, head: ListNode) -> ListNode: # 循环 new_head = None while head: per = head.next # pre 为后置节点,及当前节点的下一个节点 head.next = new_head # 插入头节点元素 new_head = head # 把串起来的链表赋值给头指针 head = per # 向后移一个单位 return new_head # 返回一个新的链表
python反转链表相关技巧
给定一个单链表的头结点pHead(该头节点是有值的,比如在下图,它的val是1),长度为n,反转该链表后,返回新链表的表头。
要求:空间复杂度 O(1)O(1) ,时间复杂度 O(n)O(n) 。

输入:
{1,2,3}
返回值:
{3,2,1}
先来看最基本的反转链表代码:
# -*- coding:utf-8 -*- # class ListNode: # def __init__(self, x): # self.val = x # self.next = None class Solution: # 返回ListNode def ReverseList(self, pHead): # write code here cur = pHead pre = None while cur: nextNode = cur.next cur.next = pre pre = cur cur = nextNode return pre
关键公式
抓住几个关键点:
cur:原链表的头节点,在反转结束时,cur指向pre的下一个节点
pre:原链表的尾节点,也就是反转后链表的头节点。最终返回的是pre。
while cur:表示反转循环的条件,这里是判断cur是否为空。也可以根据题目的条件改成其他循环条件
反转链表的尾节点,这里的尾节点是None,后面会提到显式指定。
对于反转链表的问题,抓住原链表的头节点、原链表的尾节点、反转循环条件、反转链表的尾节点这几个主要角色,基本没什么问题。
接下来,举两个例子:
链表内指定区间反转
链表中的节点每k个一组翻转
链表内指定区间反转
将一个节点数为 size 链表 m 位置到 n 位置之间的区间反转,要求时间复杂度 O(n),空间复杂度 O(1)。
要求:时间复杂度 O(n) ,空间复杂度 O(n)
进阶:时间复杂度 O(n),空间复杂度 O(1)
输入:
{1,2,3,4,5},2,4
返回值:
{1,4,3,2,5}
套用公式
这道题目和baseline的区别是,是将对整个链表的反转改成链表 m 位置到 n 位置之间的区间反转,来套一下公式:
原链表的头节点:cur:从head出发,再走m-1步,到达cur
原链表的尾节点:pre:cur前面的节点
反转循环条件:for i in range(n,m)
反转链表的尾节点:需要保存下从head出发,再走m-1步,到达cur时,此时pre的位置 prePos。prePos.next是反转链表的尾节点
和前面的比,需要额外注意下:
需要保存下从head出发,再走m-1步,到达cur时,此时pre的位置 prePos。在反转循环结束后,再进行穿针引线
由于不是对整个链表进行反转,最好新建虚拟头节点dummpyNode,dummpyNode.next指向整个链表

代码实现
先看下套公式部分的代码:
# 找到pre和cur i = 1 while i<m: pre = cur cur = cur.next i = i+1 # 在指定区间内反转 preHead = pre while i<=n: nextNode = cur.next cur.next = pre pre = cur cur = nextNode i = i+1
穿针引线部分代码:
nextNode = preHead.next preHead.next = pre if nextNode: nextNode.next = cur
完整代码:
class ListNode: def __init__(self, x): self.val = x self.next = None class Solution: def reverseBetween(self , head , m , n ): # write code here dummpyNode = ListNode(-1) dummpyNode.next = head pre = dummpyNode cur = head i = 1 while i<m: pre = cur cur = cur.next i = i+1 preHead = pre while i<=n: nextNode = cur.next cur.next = pre pre = cur cur = nextNode i = i+1 nextNode = preHead.next preHead.next = pre if nextNode: nextNode.next = cur return dummpyNode.next
链表中的节点每k个一组翻转
将给出的链表中的节点每 k 个一组翻转,返回翻转后的链表
如果链表中的节点数不是 k 的倍数,将最后剩下的节点保持原样
你不能更改节点中的值,只能更改节点本身。
要求空间复杂度 O(1),时间复杂度 O(n)
输入:
{1,2,3,4,5},2
返回值:
{2,1,4,3,5}
套用公式
这道题目和baseline的区别是,是将对整个链表的反转改成每k个一组反转,如果节点数不是k的倍数,剩下的节点保持原样。
先分段来看,假设面对位置1-位置k的链表:
原链表的头节点:cur:从head出发,再走k-1步,到达cur
原链表的尾节点:pre:cur前面的节点
反转循环条件:for i in range(1,k)
反转链表的尾节点:先定义tail=head,等反转完后tail.next就是反转链表的尾节点
先看下套公式部分的代码:
pre = None cur = head tail = head i = 1 while i<=k: nextNode = cur.next cur.next = pre pre = cur cur = nextNode i = i+1
这样,我们就得到了1 位置1-位置k的反转链表。
此时:
pre:指向反转链表的头节点
cur:位置k+1的节点,下一段链表的头节点
tail:反转链表的尾节点
那么,得到位置k+1-位置2k的反转链表,就可以用递归的思路,用tail.next=reverse(cur,k)
需要注意:如果链表中的节点数不是 k 的倍数,将最后剩下的节点保持原样
i = 1 tmp = cur while i<=k: if tmp: tmp = tmp.next else: return head i = i+1
代码实现
完整代码:
class ListNode: def __init__(self, x): self.val = x self.next = None class Solution: def reverseKGroup(self , head , k ): # write code here return self.reverse(head, k ) def reverse(self , head , k ): pre = None cur = head tail = head i = 1 tmp = cur while i<=k: if tmp: tmp = tmp.next else: return head i = i+1 i = 1 while i<=k: nextNode = cur.next cur.next = pre pre = cur cur = nextNode i = i+1 tail.next = self.reverse(cur, k) return pre
好了,抓住几个关键点:
cur:原链表的头节点,在反转结束时,cur指向pre的下一个节点
pre:原链表的尾节点,也就是反转后链表的头节点。最终返回的是pre。
while cur:表示反转循环的条件,这里是判断cur是否为空。也可以根据题目的条件改成其他循环条件
反转链表的尾节点,这里的尾节点是None,后面会提到显式指定。
今天关于《python链表的反转方式是什么》的内容介绍就到此结束,如果有什么疑问或者建议,可以在golang学习网公众号下多多回复交流;文中若有不正之处,也希望回复留言以告知!
Linux vi命令如何使用
- 上一篇
- Linux vi命令如何使用
- 下一篇
- 我国微短剧备案新规出台,多地已下发文件
-
- 文章 · python教程 | 2分钟前 |
- Python前缀和怎么算,一维二维快速查询技巧
- 236浏览 收藏
-
- 文章 · python教程 | 3分钟前 |
- Python 数据类传参技巧详解
- 313浏览 收藏
-
- 文章 · python教程 | 5分钟前 |
- Python GUI国际化实现:使用gettext翻译界面文案
- 380浏览 收藏
-
- 文章 · python教程 | 15分钟前 |
- Python Docker 镜像分层优化技巧
- 169浏览 收藏
-
- 文章 · python教程 | 17分钟前 |
- Python sys.modules 用途解析
- 402浏览 收藏
-
- 文章 · python教程 | 33分钟前 |
- Python集合交并差集操作详解
- 146浏览 收藏
-
- 文章 · python教程 | 36分钟前 |
- Polars DataFrame 列名转大写方法
- 421浏览 收藏
-
- 文章 · python教程 | 48分钟前 |
- Python树状结构打印嵌套字典方法
- 360浏览 收藏
-
- 文章 · python教程 | 56分钟前 |
- Python判断目录是否为空的方法
- 155浏览 收藏
-
- 文章 · python教程 | 1小时前 |
- Python生成累加字符串序列方法
- 166浏览 收藏
-
- 文章 · python教程 | 1小时前 |
- Python异常检测:One-Class SVM实战教程
- 246浏览 收藏
-
- 文章 · python教程 | 1小时前 |
- Python Web自动化测试教程:Selenium与Playwright实战
- 444浏览 收藏
-
- 前端进阶之JavaScript设计模式
- 设计模式是开发人员在软件开发过程中面临一般问题时的解决方案,代表了最佳的实践。本课程的主打内容包括JS常见设计模式以及具体应用场景,打造一站式知识长龙服务,适合有JS基础的同学学习。
- 543次学习
-
- GO语言核心编程课程
- 本课程采用真实案例,全面具体可落地,从理论到实践,一步一步将GO核心编程技术、编程思想、底层实现融会贯通,使学习者贴近时代脉搏,做IT互联网时代的弄潮儿。
- 516次学习
-
- 简单聊聊mysql8与网络通信
- 如有问题加微信:Le-studyg;在课程中,我们将首先介绍MySQL8的新特性,包括性能优化、安全增强、新数据类型等,帮助学生快速熟悉MySQL8的最新功能。接着,我们将深入解析MySQL的网络通信机制,包括协议、连接管理、数据传输等,让
- 500次学习
-
- JavaScript正则表达式基础与实战
- 在任何一门编程语言中,正则表达式,都是一项重要的知识,它提供了高效的字符串匹配与捕获机制,可以极大的简化程序设计。
- 487次学习
-
- 从零制作响应式网站—Grid布局
- 本系列教程将展示从零制作一个假想的网络科技公司官网,分为导航,轮播,关于我们,成功案例,服务流程,团队介绍,数据部分,公司动态,底部信息等内容区块。网站整体采用CSSGrid布局,支持响应式,有流畅过渡和展现动画。
- 485次学习
-
- ChatExcel酷表
- ChatExcel酷表是由北京大学团队打造的Excel聊天机器人,用自然语言操控表格,简化数据处理,告别繁琐操作,提升工作效率!适用于学生、上班族及政府人员。
- 4224次使用
-
- Any绘本
- 探索Any绘本(anypicturebook.com/zh),一款开源免费的AI绘本创作工具,基于Google Gemini与Flux AI模型,让您轻松创作个性化绘本。适用于家庭、教育、创作等多种场景,零门槛,高自由度,技术透明,本地可控。
- 4578次使用
-
- 可赞AI
- 可赞AI,AI驱动的办公可视化智能工具,助您轻松实现文本与可视化元素高效转化。无论是智能文档生成、多格式文本解析,还是一键生成专业图表、脑图、知识卡片,可赞AI都能让信息处理更清晰高效。覆盖数据汇报、会议纪要、内容营销等全场景,大幅提升办公效率,降低专业门槛,是您提升工作效率的得力助手。
- 4463次使用
-
- 星月写作
- 星月写作是国内首款聚焦中文网络小说创作的AI辅助工具,解决网文作者从构思到变现的全流程痛点。AI扫榜、专属模板、全链路适配,助力新人快速上手,资深作者效率倍增。
- 6112次使用
-
- MagicLight
- MagicLight.ai是全球首款叙事驱动型AI动画视频创作平台,专注于解决从故事想法到完整动画的全流程痛点。它通过自研AI模型,保障角色、风格、场景高度一致性,让零动画经验者也能高效产出专业级叙事内容。广泛适用于独立创作者、动画工作室、教育机构及企业营销,助您轻松实现创意落地与商业化。
- 4832次使用
-
- Flask框架安装技巧:让你的开发更高效
- 2024-01-03 501浏览
-
- Django框架中的并发处理技巧
- 2024-01-22 501浏览
-
- 提升Python包下载速度的方法——正确配置pip的国内源
- 2024-01-17 501浏览
-
- Python与C++:哪个编程语言更适合初学者?
- 2024-03-25 501浏览
-
- 品牌建设技巧
- 2024-04-06 501浏览

