有哪些数据工程必备的Python包
知识点掌握了,还需要不断练习才能熟练运用。下面golang学习网给大家带来一个文章开发实战,手把手教大家学习《有哪些数据工程必备的Python包》,在实现功能的过程中也带大家重新温习相关知识点,温故而知新,回头看看说不定又有不一样的感悟!
1、Knockknock
Knockknock是一个简单的Python包,它会在机器学习模型训练结束或崩溃时通知您。我们可以通过多种渠道获得通知,如电子邮件、Slack、Microsoft Teams等。
为了安装该包,我们使用以下代码。
pip install knockknock
例如,我们可以使用以下代码将机器学习建模训练状态通知到指定的电子邮件地址。
from knockknock import email_senderfrom sklearn.linear_model import LinearRegressionimport numpy as np@email_sender(recipient_emails=["", ""], sender_email="")def train_linear_model(your_nicest_parameters):x = np.array([[1, 1], [1, 2], [2, 2], [2, 3]])y = np.dot(x, np.array([1, 2])) + 3 regression = LinearRegression().fit(x, y)return regression.score(x, y)
这样就可以在该函数出现问题或者完成时获得通知。
2、tqdm
当需要进行迭代或循环时,如果你需要显示进度条?那么tqdm就是你需要的。这个包将在你的笔记本或命令提示符中提供一个简单的进度计。
让我们从安装包开始。
pip install tqdm
然后可以使用以下代码来显示循环过程中的进度条。
from tqdm import tqdmq = 0for i in tqdm(range(10000000)):q = i +1

就像上面的gifg,它可以在notebook上显示一个很好的进度条。当有一个复杂的迭代并且想要跟踪进度时,它会非常有用。
3、Pandas-log
Panda -log可以对Panda的基本操作提供反馈,如.query、.drop、.merge等。它基于R的Tidyverse,可以使用它了解所有数据分析步骤。
安装包
pip install pandas-log
安装包之后,看看下面的示例。
import pandas as pdimport numpy as npimport pandas_logdf = pd.DataFrame({"name": ['Alfred', 'Batman', 'Catwoman'],"toy": [np.nan, 'Batmobile', 'Bullwhip'],"born": [pd.NaT, pd.Timestamp("1940-04-25"), pd.NaT]})然后让我们尝试用下面的代码做一个简单的 pandas 操作记录。
with pandas_log.enable():res = (df.drop("born", axis = 1).groupby('name'))
通过 pandas-log,我们可以获取所有的执行信息。
4、Emoji
顾名思义,Emoji 是一个支持 emoji 文本解析的 Python 包。 通常,我们很难用 Python 处理表情符号,但 Emoji 包可以帮助我们进行转换。
使用以下代码安装 Emoji 包。
pip install emoji
看看下面代码:
import emojiprint(emoji.emojize('Python is :thumbs_up:'))
有了这个包,可以轻易的输出表情符号。
5、TheFuzz
TheFuzz 使用 Levenshtein 距离来匹配文本以计算相似度。
pip install thefuzz
下面代码介绍如何使用 TheFuzz 进行相似性文本匹配。
from thefuzz import fuzz, process#Testing the score between two sentencesfuzz.ratio("Test the word", "test the Word!")
TheFuzz 还可以同时从多个单词中提取相似度分数。
choices = ["Atlanta Falcons", "New York Jets", "New York Giants", "Dallas Cowboys"]process.extract("new york jets", choices, limit=2)
TheFuzz 适用于任何文本数据相似性检测,这个工作在nlp中非常重要。
6、Numerizer
Numerizer 可将写入的数字文本转换为对应的整数或浮点数。
pip install numerizer
然后 让我们尝试几个输入来进行转换。
from numerizer import numerizenumerize('forty two')
如果使用另一种书写风格,它也可以工作的。
numerize('forty-two')
numerize('nine and three quarters')
如果输入不是数字的表达式,那么将会保留:
numerize('maybe around nine and three quarters')
7、PyAutoGUI
PyAutoGUI 可以自动控制鼠标和键盘。
pip install pyautogui
然后我们可以使用以下代码测试。
import pyautoguipyautogui.moveTo(10, 15)pyautogui.click()pyautogui.doubleClick()pyautogui.press('enter')上面的代码会将鼠标移动到某个位置并单击鼠标。 当需要重复操作(例如下载文件或收集数据)时,非常有用。
8、Weightedcalcs
Weightedcalcs 用于统计计算。 用法从简单的统计数据(例如加权平均值、中位数和标准变化)到加权计数和分布等。
pip install weightedcalcs
使用可用数据计算加权分布。
import seaborn as snsdf = sns.load_dataset('mpg')import weightedcalcs as wccalc = wc.Calculator("mpg")然后我们通过传递数据集并计算预期变量来进行加权计算。
calc.distribution(df, "origin")

9、scikit-posthocs
scikit-posthocs 是一个用于“事后”测试分析的 python 包,通常用于统计分析中的成对比较。 该软件包提供了简单的类似 scikit-learn API 来进行分析。
pip install scikit-posthocs
然后让我们从简单的数据集开始,进行 ANOVA 测试。
import statsmodels.api as saimport statsmodels.formula.api as sfaimport scikit_posthocs as spdf = sa.datasets.get_rdataset('iris').datadf.columns = df.columns.str.replace('.', '')lm = sfa.ols('SepalWidth ~ C(Species)', data=df).fit()anova = sa.stats.anova_lm(lm)print(anova)
获得了 ANOVA 测试结果,但不确定哪个变量类对结果的影响最大,可以使用以下代码进行原因的查看。
sp.posthoc_ttest(df, val_col='SepalWidth', group_col='Species', p_adjust='holm')

使用 scikit-posthoc,我们简化了事后测试的成对分析过程并获得了 P 值
10、Cerberus
Cerberus 是一个用于数据验证的轻量级 python 包。
pip install cerberus
Cerberus 的基本用法是验证类的结构。
from cerberus import Validatorschema = {'name': {'type': 'string'}, 'gender':{'type': 'string'}, 'age':{'type':'integer'}}v = Validator(schema)定义好需要验证的结构后,可以对实例进行验证。
document = {'name': 'john doe', 'gender':'male', 'age': 15}v.validate(document)
如果匹配,则 Validator 类将输出True 。 这样我们可以确保数据结构是正确的。
11、ppscore
ppscore 用于计算与目标变量相关的变量的预测能力。 该包计算可以检测两个变量之间的线性或非线性关系的分数。 分数范围从 0(无预测能力)到 1(完美预测能力)。
pip install ppscore
使用 ppscore 包根据目标计算分数。
import seaborn as snsimport ppscore as ppsdf = sns.load_dataset('mpg')pps.predictors(df, 'mpg')
结果进行了排序。 排名越低变量对目标的预测能力越低。
12、Maya
Maya 用于尽可能轻松地解析 DateTime 数据。
pip install maya
然后我们可以使用以下代码轻松获得当前日期。
import mayanow = maya.now()print(now)
还可以为明天日期。
tomorrow = maya.when('tomorrow')tomorrow.datetime()
13、Pendulum
Pendulum 是另一个涉及 DateTime 数据的 python 包。 它用于简化任何 DateTime 分析过程。
pip install pendulum
我们可以对实践进行任何的操作。
import pendulumnow = pendulum.now("Europe/Berlin")now.in_timezone("Asia/Tokyo")now.to_iso8601_string()now.add(days=2)
14、category_encoders
category_encoders 是一个用于类别数据编码(转换为数值数据)的python包。 该包是各种编码方法的集合,我们可以根据需要将其应用于各种分类数据。
pip install category_encoders
可以使用以下示例应用转换。
from category_encoders import BinaryEncoderimport pandas as pdenc = BinaryEncoder(cols=['origin']).fit(df)numeric_dataset = enc.transform(df)numeric_dataset.head()

15、scikit-multilearn
scikit-multilearn 可以用于特定于多类分类模型的机器学习模型。 该软件包提供 API 用于训练机器学习模型以预测具有两个以上类别目标的数据集。
pip install scikit-multilearn
利用样本数据集进行多标签KNN来训练分类器并度量性能指标。
from skmultilearn.dataset import load_datasetfrom skmultilearn.adapt import MLkNNimport sklearn.metrics as metricsX_train, y_train, feature_names, label_names = load_dataset('emotions', 'train')X_test, y_test, _, _ = load_dataset('emotions', 'test')classifier = MLkNN(k=3)prediction = classifier.fit(X_train, y_train).predict(X_test)metrics.hamming_loss(y_test, prediction)
16、Multiset
Multiset类似于内置的set函数,但该包允许相同的字符多次出现。
pip install multiset
可以使用下面的代码来使用 Multiset 函数。
from multiset import Multisetset1 = Multiset('aab')set1
17、Jazzit
Jazzit 可以在我们的代码出错或等待代码运行时播放音乐。
pip install jazzit
使用以下代码在错误情况下尝试示例音乐。
from jazzit import error_track@error_track("curb_your_enthusiasm.mp3", wait=5)def run():for num in reversed(range(10)):print(10/num)这个包虽然没什么用,但是它的功能是不是很有趣,哈
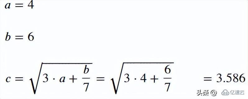
18、handcalcs
handcalcs 用于简化notebook中的数学公式过程。 它将任何数学函数转换为其方程形式。
pip install handcalcs
使用以下代码来测试 handcalcs 包。 使用 %%render 魔术命令来渲染 Latex 。
import handcalcs.renderfrom math import sqrt
%%rendera = 4b = 6c = sqrt(3*a + b/7)

19、NeatText
NeatText 可简化文本清理和预处理过程。 它对任何 NLP 项目和文本机器学习项目数据都很有用。
pip install neattext
使用下面的代码,生成测试数据
import neattext as nt mytext = "This is the word sample but ,our WEBSITE is https://exaempleeele.com ✨."docx = nt.TextFrame(text=mytext)
TextFrame 用于启动 NeatText 类然后可以使用各种函数来查看和清理数据。
docx.describe()

使用 describe 函数,可以显示每个文本统计信息。进一步清理数据,可以使用以下代码。
docx.normalize()

20、Combo
Combo 是一个用于机器学习模型和分数组合的 python 包。 该软件包提供了一个工具箱,允许将各种机器学习模型训练成一个模型。 也就是可以对模型进行整合。
pip install combo
使用来自 scikit-learn 的乳腺癌数据集和来自 scikit-learn 的各种分类模型来创建机器学习组合。
from sklearn.tree import DecisionTreeClassifierfrom sklearn.linear_model import LogisticRegressionfrom sklearn.ensemble import GradientBoostingClassifierfrom sklearn.ensemble import RandomForestClassifierfrom sklearn.neighbors import KNeighborsClassifierfrom sklearn.model_selection import train_test_splitfrom sklearn.datasets import load_breast_cancerfrom combo.models.classifier_stacking import Stackingfrom combo.utils.data import evaluate_print
接下来,看一下用于预测目标的单个分类器。
# Define data file and read X and yrandom_state = 42X, y = load_breast_cancer(return_X_y=True)X_train, X_test, y_train, y_test = train_test_split(X, y, test_size=0.4,random_state=random_state)# initialize a group of clfsclassifiers = [DecisionTreeClassifier(random_state=random_state),LogisticRegression(random_state=random_state),KNeighborsClassifier(),RandomForestClassifier(random_state=random_state),GradientBoostingClassifier(random_state=random_state)]clf_names = ['DT', 'LR', 'KNN', 'RF', 'GBDT']for i, clf in enumerate(classifiers):clf.fit(X_train, y_train)y_test_predict = clf.predict(X_test)evaluate_print(clf_names[i] + ' | ', y_test, y_test_predict)print()

使用 Combo 包的 Stacking 模型。
clf = Stacking(classifiers, n_folds=4, shuffle_data=False,keep_original=True, use_proba=False,random_state=random_state)clf.fit(X_train, y_train)y_test_predict = clf.predict(X_test)evaluate_print('Stacking | ', y_test, y_test_predict)
21、PyAztro
你是否需要星座数据或只是对今天的运气感到好奇? 可以使用 PyAztro 来获得这些信息! 这个包有幸运数字、幸运标志、心情等等。 这是我们人工智能算命的基础数据,哈
pip install pyaztro
使用以下代码访问今天的星座信息。
import pyaztropyaztro.Aztro(sign='gemini').description

22、Faker
Faker 可用于简化生成合成数据。 许多开发人员使用这个包来创建测试的数据。
pip install Faker
要使用 Faker 包生成合成数据
from faker import Fakerfake = Faker()
生成名字
fake.name()

每次从 Faker 类获取 .name 属性时,Faker 都会随机生成数据。
23、Fairlearn
Fairlearn 用于评估和减轻机器学习模型中的不公平性。 该软件包提供了许多查看偏差所必需的 API。
pip install fairlearn
然后可以使用 Fairlearn 的数据集来查看模型中有多少偏差。
from fairlearn.metrics import MetricFrame, selection_ratefrom fairlearn.datasets import fetch_adultdata = fetch_adult(as_frame=True)X = data.datay_true = (data.target == '>50K') * 1sex = X['sex']selection_rates = MetricFrame(metrics=selection_rate,y_true=y_true,y_pred=y_true,sensitive_features=sex)fig = selection_rates.by_group.plot.bar(legend=False, rot=0,title='Fraction earning over $50,000')

Fairlearn API 有一个 selection_rate 函数,可以使用它来检测组模型预测之间的分数差异,以便我们可以看到结果的偏差。
24、tiobeindexpy
tiobeindexpy 用于获取 TIOBE 索引数据。 TIOBE 指数是一个编程排名数据,对于开发人员来说是非常重要的因为我们不想错过编程世界的下一件大事。
pip install tiobeindexpy
可以通过以下代码获得当月前 20 名的编程语言排名。
from tiobeindexpy import tiobeindexpy as tbdf = tb.top_20()

25、pytrends
pytrends 可以使用 Google API 获取关键字趋势数据。如果想要了解当前的网络趋势或与我们的关键字相关的趋势时,该软件包非常有用。这个需要访问google,所以你懂的。
pip install pytrends
假设我想知道与关键字“Present Gift”相关的当前趋势,
from pytrends.request import TrendReqimport pandas as pdpytrend = TrendReq()keywords = pytrend.suggestions(keyword='Present Gift')df = pd.DataFrame(keywords)df

该包将返回与关键字相关的前 5 个趋势。
26、visions
visions 是一个用于语义数据分析的 python 包。 该包可以检测数据类型并推断列的数据应该是什么。
pip install visions
可以使用以下代码检测数据中的列数据类型。 这里使用 seaborn 的 Titanic 数据集。
import seaborn as snsfrom visions.functional import detect_type, infer_typefrom visions.typesets import CompleteSetdf = sns.load_dataset('titanic')typeset = CompleteSet()converting everything to stringsprint(detect_type(df, typeset))
27、Schedule
Schedule 可以为任何代码创建作业调度功能
pip install schedule
例如,我们想10 秒工作一次:
import scheduleimport timedef job():print("I'm working...")schedule.every(10).seconds.do(job)while True:schedule.run_pending()time.sleep(1)
28、autocorrect
autocorrect 是一个用于文本拼写更正的 python 包,可应用于多种语言。 用法很简单,并且对数据清理过程非常有用。
pip install autocorrect
可以使用类似于以下代码进行自动更正。
from autocorrect import Spellerspell = Speller()spell("I'm not sleaspy and tehre is no place I'm giong to.")
29、funcy
funcy 包含用于日常数据分析使用的精美实用功能。 包中的功能太多了,我无法全部展示出来,有兴趣的请查看他的文档。
pip install funcy
这里只展示一个示例函数,用于从可迭代变量中选择一个偶数,如下面的代码所示。
from funcy import select, evenselect(even, {i for i in range (20)})
30、IceCream
IceCream 可以使调试过程更容易。该软件包在打印/记录过程中提供了更详细的输出。
pip install icecream
可以使用下面代码
from icecream import icdef some_function(i):i = 4 + (1 * 2)/ 10 return i + 35ic(some_function(121))

也可以用作函数检查器。
def foo():ic()if some_function(12):ic()else:ic()foo()

打印的详细程度非常适合分析。
今天关于《有哪些数据工程必备的Python包》的内容介绍就到此结束,如果有什么疑问或者建议,可以在golang学习网公众号下多多回复交流;文中若有不正之处,也希望回复留言以告知!
虚拟机装mac运行很卡?
- 上一篇
- 虚拟机装mac运行很卡?
- 下一篇
- 如何转换函数类型?
-
- 文章 · python教程 | 38分钟前 |
- Python pytest如何清理测试产生的临时文件_利用tmp_path固件自动销毁
- 302浏览 收藏
-
- 文章 · python教程 | 1小时前 |
- Python代码质量如何关联测试_将pytest集成到flake8检查流程中
- 425浏览 收藏
-
- 文章 · python教程 | 1小时前 |
- 如何用Python自动化备份MySQL数据库文件_调用mysqldump命令
- 206浏览 收藏
-
- 文章 · python教程 | 1小时前 |
- Python如何实现文件内容的加解密存储_通过cryptography库
- 196浏览 收藏
-
- 文章 · python教程 | 1小时前 |
- Python 实现限流算法示例
- 156浏览 收藏
-
- 文章 · python教程 | 2小时前 |
- 如何在正则表达式中使用预定义的字符类?
- 430浏览 收藏
-
- 文章 · python教程 | 2小时前 |
- Python Selenium操作Cookie的方法
- 374浏览 收藏
-
- 文章 · python教程 | 2小时前 |
- Python怎么将多个文本文件内容合并到一个文件_利用fileinput模块高效拼接
- 298浏览 收藏
-
- 文章 · python教程 | 2小时前 |
- PythonDjango进阶开发教程_完整网站架构与功能实现
- 462浏览 收藏
-
- 文章 · python教程 | 2小时前 |
- pipenv如何解决依赖冲突问题_使用lock文件锁定生产环境版本
- 205浏览 收藏
-
- 文章 · python教程 | 2小时前 |
- Python中Scikit-learn如何进行层次聚类_使用AgglomerativeClustering
- 267浏览 收藏
-
- 文章 · python教程 | 2小时前 |
- 为什么Python异步程序在Windows上连接数受限_通过ProactorEventLoop解决
- 460浏览 收藏
-
- 前端进阶之JavaScript设计模式
- 设计模式是开发人员在软件开发过程中面临一般问题时的解决方案,代表了最佳的实践。本课程的主打内容包括JS常见设计模式以及具体应用场景,打造一站式知识长龙服务,适合有JS基础的同学学习。
- 543次学习
-
- GO语言核心编程课程
- 本课程采用真实案例,全面具体可落地,从理论到实践,一步一步将GO核心编程技术、编程思想、底层实现融会贯通,使学习者贴近时代脉搏,做IT互联网时代的弄潮儿。
- 516次学习
-
- 简单聊聊mysql8与网络通信
- 如有问题加微信:Le-studyg;在课程中,我们将首先介绍MySQL8的新特性,包括性能优化、安全增强、新数据类型等,帮助学生快速熟悉MySQL8的最新功能。接着,我们将深入解析MySQL的网络通信机制,包括协议、连接管理、数据传输等,让
- 500次学习
-
- JavaScript正则表达式基础与实战
- 在任何一门编程语言中,正则表达式,都是一项重要的知识,它提供了高效的字符串匹配与捕获机制,可以极大的简化程序设计。
- 487次学习
-
- 从零制作响应式网站—Grid布局
- 本系列教程将展示从零制作一个假想的网络科技公司官网,分为导航,轮播,关于我们,成功案例,服务流程,团队介绍,数据部分,公司动态,底部信息等内容区块。网站整体采用CSSGrid布局,支持响应式,有流畅过渡和展现动画。
- 485次学习
-
- ChatExcel酷表
- ChatExcel酷表是由北京大学团队打造的Excel聊天机器人,用自然语言操控表格,简化数据处理,告别繁琐操作,提升工作效率!适用于学生、上班族及政府人员。
- 4451次使用
-
- Any绘本
- 探索Any绘本(anypicturebook.com/zh),一款开源免费的AI绘本创作工具,基于Google Gemini与Flux AI模型,让您轻松创作个性化绘本。适用于家庭、教育、创作等多种场景,零门槛,高自由度,技术透明,本地可控。
- 4803次使用
-
- 可赞AI
- 可赞AI,AI驱动的办公可视化智能工具,助您轻松实现文本与可视化元素高效转化。无论是智能文档生成、多格式文本解析,还是一键生成专业图表、脑图、知识卡片,可赞AI都能让信息处理更清晰高效。覆盖数据汇报、会议纪要、内容营销等全场景,大幅提升办公效率,降低专业门槛,是您提升工作效率的得力助手。
- 4683次使用
-
- 星月写作
- 星月写作是国内首款聚焦中文网络小说创作的AI辅助工具,解决网文作者从构思到变现的全流程痛点。AI扫榜、专属模板、全链路适配,助力新人快速上手,资深作者效率倍增。
- 6474次使用
-
- MagicLight
- MagicLight.ai是全球首款叙事驱动型AI动画视频创作平台,专注于解决从故事想法到完整动画的全流程痛点。它通过自研AI模型,保障角色、风格、场景高度一致性,让零动画经验者也能高效产出专业级叙事内容。广泛适用于独立创作者、动画工作室、教育机构及企业营销,助您轻松实现创意落地与商业化。
- 5055次使用
-
- Flask框架安装技巧:让你的开发更高效
- 2024-01-03 501浏览
-
- Django框架中的并发处理技巧
- 2024-01-22 501浏览
-
- 提升Python包下载速度的方法——正确配置pip的国内源
- 2024-01-17 501浏览
-
- Python与C++:哪个编程语言更适合初学者?
- 2024-03-25 501浏览
-
- 品牌建设技巧
- 2024-04-06 501浏览

