学好线性代数,玩转推荐系统
一分耕耘,一分收获!既然打开了这篇文章《学好线性代数,玩转推荐系统》,就坚持看下去吧!文中内容包含等等知识点...希望你能在阅读本文后,能真真实实学到知识或者帮你解决心中的疑惑,也欢迎大佬或者新人朋友们多留言评论,多给建议!谢谢!
作者 | 汪昊
审校 | 重楼
说到21 世纪互联网的技术,除了 Python / Rust / Go 等一系列新型编程语言的诞生,信息检索技术的蓬勃发展也是一大亮点。互联网上第一个纯技术商业模式就是以谷歌和百度为代表的搜索引擎技术。然而让大家臆想不到的是,推荐系统诞生的年代也很久远。早在1992 年,人类历史上第一个推荐系统就以论文的形式发表出来了,而在这个时候,谷歌和百度还没有诞生。

不像搜索引擎那样被人们认为是刚需,很快就诞生了许多独角兽。以推荐系统为核心技术的科技公司要等到2010 年代今日头条和抖音崛起后才会出现。毫无疑问,今日头条和抖音成为了推荐系统最成功的代表性公司。如果说第一代信息检索技术搜索引擎是美国人先发制人,那么第二代信息检索技术推荐系统就被牢牢的控制在中国人手里。而我们现在遇到了第三代信息检索技术—— 基于大语言模型的信息检索。目前来看先发者是欧美国家,但目前中美正在齐头并进。
近几年来,推荐系统领域的权威会议 RecSys 频频将最佳论文奖颁给序列推荐(Sequential Recommendation)。这说明该领域目前越来越重视垂直应用。而有一个推荐系统的垂直应用是如此重要,但至今都没有掀起滔天巨浪,这个领域就是基于场景的推荐(Context-aware Recommendation),简称CARS。我们偶尔会见到有些 CARS 的Workshop,但是这些Workshop 的论文每年不超过10 篇,门可罗雀。
CARS 可以用来干什么?首先CARS 已经被汉堡王等快餐公司使用。它还可以在用户驾驶汽车的时候,根据场景给用户推荐音乐。另外,我们可以畅想一下,我们有没有可能根据天气状况给用户推荐出行计划?抑或是根据用户的身体状况给用户推荐餐饮?其实,只要我们充分的发挥自己的想象力,总是能给CARS 找出不同的落地应用。
然而问题来了,既然CARS 的用途这么广泛,为什么这么少的人发表论文?原因很简单,因为CARS 几乎没有公开的数据集可以使用。目前最好用的 CARS 的公开数据集是来自斯洛文尼亚的LDOS-CoMoDa 数据集。除此之外,我们很难找到别的数据集合。LDOS-CoMoDa 利用调研的形式提供了用户观影时的场景数据,使得广大研究人员从事 CARS 研究成为了可能。数据公开的时间点在2012 年到2013 年左右,但是目前知道这个数据集合的人很少。
言归正传,本文主要介绍MatMat / MovieMat 算法和PowerMat 算法。这些算法都是用来解决 CARS 问题的利器。我们先来看一下MatMat 是如何定义CARS 问题的:我们首先重新定义用户评分矩阵,我们把用户评分矩阵的每一个评分值替换成方阵。方阵的对角线元素是原始的评分值,非对角线元素都是场景信息。

我们下面定义 MatMat 算法的损失函数,该函数修改了经典的矩阵分解损失函数,形式如下:

其中 U 和V 都是矩阵。我们通过这种方式,改变了原始的矩阵分解中的向量点乘。将向量点乘变成了矩阵乘法。我们举下面一个例子来看:

我们在MovieLens Small Dataset 上做一下性能对比实验,得到如下结果:

可以看到,MatMat 算法的效果优于经典的矩阵分解算法。我们再来检查一下推荐系统的公平性:

可以看到,MatMat 在公平性指标上表现依然不遑多让。MatMat 的求解过程较为复杂,即便是发明算法的作者本人,也没有在论文中写出推导过程。但是俗话说的好,学好线性代数,走遍天下都不怕。相信聪明的读者自己一定能推导出相关的公式,并实现这个算法。MatMat 算法论文的原文地址可以在下面的链接找到:https://arxiv.org/pdf/2112.03089.pdf 。这篇论文是国际学术会议IEEE ICISCAE 2021 最佳论文报告奖。
MatMat 算法被应用在了基于场景的电影推荐领域,该算法的电影实例被命名为MovieMat。MovieMat 的评分矩阵是按照如下方法定义的:

作者随后做了对比实验:

在LDOS-CoMoDa 数据集合上,MovieMat 取得了性能远高于经典矩阵分解的效果。下面我们来观察一下公平性的测评结果:

在公平性方面,经典矩阵分解取得了优于MovieMat 的结果。MovieMat 的原始论文可以在下面的链接找到:https://arxiv.org/pdf/2204.13003.pdf 。
我们有的时候会遇到这样的问题。我们新到了一个地点,光有场景数据,而没有用户评分数据该怎么办?不要紧,Ratidar Technologies LLC (北京达评奇智网络科技有限责任公司) 发明了基于零样本学习的 CARS 算法—— PowerMat。PowerMat 的原始论文可以在下面的链接找到:https://arxiv.org/pdf/2303.06356.pdf 。
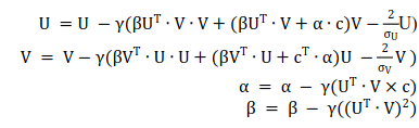
PowerMat 的发明人借用了MAP 和DotMat,定义了如下的MAP 函数:

其中U 是用户特征向量、V 是物品特征向量、R 是用户评分值,而C 是场景变量。具体的,我们得到如下公式:

利用随机梯度下降对该问题进行求解,我们得到下述公式:

通过观察,我们发现在这组公式里没有出现任何输入数据相关的变量,因此 PowerMat 是仅与场景相关的零样本学习算法。该算法可以应用在如下场景:游客打算去某地旅游,但是从来没有去过当地,因此只有天气等场景数据,我们可以利用 PowerMat 给游客推荐打卡景点等等。
下面是PowerMat 和其他算法的对比数据:

通过这张图,我们发现PowerMat 和MovieMat 旗鼓相当,不分伯仲,并且效果都要优于经典的矩阵分解算法。而下面这张图显示,即使是在公平性指标方面,PowerMat 依旧表现强劲:

通过对比实验,我们发现PowerMat 是优秀的CARS 算法。
互联网的数据工程师经常说数据高于一切。并且在2010 年代左右互联网有一股强劲的看好数据看衰算法的风气。CARS 是个很好的例子。因为绝大多数人得不到相关数据,因此这个领域的发展一直受到了很大的限制。感谢斯洛文尼亚的研究人员公开了 LDOS-CoMoDa 数据集合,使得我们有机会发展这个领域。我们也希望有越来越多的人关注 CARS,落地 CARS,为 CARS 融资……
作者简介
汪昊,前Funplus 人工智能实验室负责人。曾在ThoughtWorks、豆瓣、百度、新浪等公司担任技术和技术高管职务。在互联网公司和金融科技、游戏等公司任职13 年,对于人工智能、计算机图形学和区块链等领域有着深刻的见解和丰富的经验。在国际学术会议和期刊发表论文42 篇,获得IEEE SMI 2008 最佳论文奖、ICBDT 2020 / IEEE ICISCAE 2021 / AIBT 2023 / ICSIM 2024 最佳论文报告奖。
以上就是《学好线性代数,玩转推荐系统》的详细内容,更多关于人工智能,大语言模型,MatMat的资料请关注golang学习网公众号!
go 模块导入子文件夹和一般导入概念理解问题
- 上一篇
- go 模块导入子文件夹和一般导入概念理解问题
- 下一篇
- Golang函数并发编程中的单元测试最佳实践
-
- 科技周边 · 人工智能 | 19分钟前 |
- 即梦AI多语言导出教程 字幕翻译功能详解
- 463浏览 收藏
-
- 科技周边 · 人工智能 | 21分钟前 |
- Mulerun怎么制作儿童歌曲?
- 486浏览 收藏
-
- 科技周边 · 人工智能 | 24分钟前 |
- Midjourney提示词怎么写更清晰?
- 104浏览 收藏
-
- 科技周边 · 人工智能 | 24分钟前 |
- Google Cloud 关联详解:AI Studio 项目迁移指南
- 228浏览 收藏
-
- 科技周边 · 人工智能 | 31分钟前 |
- AI部署Qwen2模型方法详解
- 102浏览 收藏
-
- 科技周边 · 人工智能 | 40分钟前 |
- 即梦AI团队协作申请方法及多人编辑开通步骤
- 324浏览 收藏
-
- 科技周边 · 人工智能 | 1小时前 |
- 豆包AI绘画体验:效果媲美Midjourney?
- 384浏览 收藏
-
- 科技周边 · 人工智能 | 1小时前 | MuleRun
- MuleRun手机操作教程详解
- 384浏览 收藏
-
- 科技周边 · 人工智能 | 1小时前 |
- 3步打造个人知识体系,AI帮你高效梳理
- 290浏览 收藏
-
- 科技周边 · 人工智能 | 1小时前 |
- AirPods3如何设置下一首歌?步骤详解
- 127浏览 收藏
-
- 科技周边 · 人工智能 | 1小时前 | AI工具 人工智能工具
- AudioCraft AI作曲教程:视频背景音乐制作指南
- 463浏览 收藏
-
- 科技周边 · 人工智能 | 2小时前 |
- Minimax冰雪消融视频制作方法
- 491浏览 收藏
-
- 前端进阶之JavaScript设计模式
- 设计模式是开发人员在软件开发过程中面临一般问题时的解决方案,代表了最佳的实践。本课程的主打内容包括JS常见设计模式以及具体应用场景,打造一站式知识长龙服务,适合有JS基础的同学学习。
- 543次学习
-
- GO语言核心编程课程
- 本课程采用真实案例,全面具体可落地,从理论到实践,一步一步将GO核心编程技术、编程思想、底层实现融会贯通,使学习者贴近时代脉搏,做IT互联网时代的弄潮儿。
- 516次学习
-
- 简单聊聊mysql8与网络通信
- 如有问题加微信:Le-studyg;在课程中,我们将首先介绍MySQL8的新特性,包括性能优化、安全增强、新数据类型等,帮助学生快速熟悉MySQL8的最新功能。接着,我们将深入解析MySQL的网络通信机制,包括协议、连接管理、数据传输等,让
- 500次学习
-
- JavaScript正则表达式基础与实战
- 在任何一门编程语言中,正则表达式,都是一项重要的知识,它提供了高效的字符串匹配与捕获机制,可以极大的简化程序设计。
- 487次学习
-
- 从零制作响应式网站—Grid布局
- 本系列教程将展示从零制作一个假想的网络科技公司官网,分为导航,轮播,关于我们,成功案例,服务流程,团队介绍,数据部分,公司动态,底部信息等内容区块。网站整体采用CSSGrid布局,支持响应式,有流畅过渡和展现动画。
- 485次学习
-
- ChatExcel酷表
- ChatExcel酷表是由北京大学团队打造的Excel聊天机器人,用自然语言操控表格,简化数据处理,告别繁琐操作,提升工作效率!适用于学生、上班族及政府人员。
- 4224次使用
-
- Any绘本
- 探索Any绘本(anypicturebook.com/zh),一款开源免费的AI绘本创作工具,基于Google Gemini与Flux AI模型,让您轻松创作个性化绘本。适用于家庭、教育、创作等多种场景,零门槛,高自由度,技术透明,本地可控。
- 4581次使用
-
- 可赞AI
- 可赞AI,AI驱动的办公可视化智能工具,助您轻松实现文本与可视化元素高效转化。无论是智能文档生成、多格式文本解析,还是一键生成专业图表、脑图、知识卡片,可赞AI都能让信息处理更清晰高效。覆盖数据汇报、会议纪要、内容营销等全场景,大幅提升办公效率,降低专业门槛,是您提升工作效率的得力助手。
- 4463次使用
-
- 星月写作
- 星月写作是国内首款聚焦中文网络小说创作的AI辅助工具,解决网文作者从构思到变现的全流程痛点。AI扫榜、专属模板、全链路适配,助力新人快速上手,资深作者效率倍增。
- 6115次使用
-
- MagicLight
- MagicLight.ai是全球首款叙事驱动型AI动画视频创作平台,专注于解决从故事想法到完整动画的全流程痛点。它通过自研AI模型,保障角色、风格、场景高度一致性,让零动画经验者也能高效产出专业级叙事内容。广泛适用于独立创作者、动画工作室、教育机构及企业营销,助您轻松实现创意落地与商业化。
- 4832次使用
-
- GPT-4王者加冕!读图做题性能炸天,凭自己就能考上斯坦福
- 2023-04-25 501浏览
-
- 单块V100训练模型提速72倍!尤洋团队新成果获AAAI 2023杰出论文奖
- 2023-04-24 501浏览
-
- ChatGPT 真的会接管世界吗?
- 2023-04-13 501浏览
-
- VR的终极形态是「假眼」?Neuralink前联合创始人掏出新产品:科学之眼!
- 2023-04-30 501浏览
-
- 实现实时制造可视性优势有哪些?
- 2023-04-15 501浏览

