ICLR 2024 Spotlight | 大语言模型权重、激活的全方位低bit可微量化,已集成进商用APP
编程并不是一个机械性的工作,而是需要有思考,有创新的工作,语法是固定的,但解决问题的思路则是依靠人的思维,这就需要我们坚持学习和更新自己的知识。今天golang学习网就整理分享《ICLR 2024 Spotlight | 大语言模型权重、激活的全方位低bit可微量化,已集成进商用APP》,文章讲解的知识点主要包括,如果你对科技周边方面的知识点感兴趣,就不要错过golang学习网,在这可以对大家的知识积累有所帮助,助力开发能力的提升。
模型量化是模型压缩与加速中的一项关键技术,其将模型权重与激活值量化至低 bit,以允许模型占用更少的内存开销并加快推理速度。对于具有海量参数的大语言模型而言,模型量化显得更加重要。例如,GPT-3 模型的 175B 参数当使用 FP16 格式加载时,需消耗 350GB 的内存,需要至少 5 张 80GB 的 A100 GPU。
但若是可以将 GPT-3 模型的权重压缩至 3bit,则可以实现单张 A100-80GB 完成所有模型权重的加载。
目前,现有的大型语言模型后训练量化算法存在一个明显的挑战,即依赖手动设定量化参数,缺乏相应的优化过程。这导致在进行低比特量化时,现有方法往往会出现性能下降的情况。虽然量化感知训练在确定最佳量化配置方面具有一定效果,但它却需要额外的训练成本和数据支持。特别是在大型语言模型中,计算量本身就已经很大,这使得量化感知训练在大规模语言模型量化方面的应用变得更加困难。
这引出一个问题:我们能否在保持后训练量化的时间和数据效率的同时,达到量化感知训练的性能?
为了应对大语言模型后训练期间的量化参数优化难题,一群研究人员来自上海人工智能实验室、香港大学和香港中文大学提出了《OmniQuant: Omnidirectionally Calibrated Quantization for Large Language Models》。这项算法不仅支持大型语言模型中权重和激活值的量化,还能适应各种不同的量化比特位设置。

arXiv 论文地址:https://arxiv.org/abs/2308.13137
OpenReview 论文地址:https://openreview.net/forum?id=8Wuvhh0LYW
代码地址:https://github.com/OpenGVLab/OmniQuant
框架方法

如上图所示,OmniQuant 是一种针对大语言模型(LLM)的可微分量化技术,同时支持仅权重量化和权重激活值同时量化。并且,其在实现高性能量化模型的同时,保持了后训练量化的训练时间高效性和数据高效性。例如,OmniQuant 可在单卡 A100-40GB 上,在 1-16 小时内完成对 LLaMA-7B ~ LLaMA70B 模型量化参数的更新。
为了达到这个目标,OmniQuant 采用了一个 Block-wise 量化误差最小化框架。同时,OmniQuant 设计了两种新颖的策略来增加可学习的量化参数,包括可学习的权重裁剪(Learnable Weight Clipping,LWC),以减轻量化权重的难度,以及一个可学习的等价转换(Learnable Equivalent Transformation, LET),进一步将量化的挑战从激活值转移到权重。
此外,OmniQuant 引入的所有可学习参数在量化完成后可以被融合消除,量化模型可以基于现有工具完成在多平台的部署,包括 GPU、Android、IOS 等等。
Block-wise 量化误差最小化
OmniQuant 提出了一个新的优化流程,该流程采用 Block-wise 量化误差最小化,并且以可微分的方式优化额外的量化参数。其中,优化目标公式化如下:

其中 F 代表 LLM 中一个变换器块的映射函数,W 和 X 分别是全精度权重和激活,
和
分别代表权重和激活量化器,
和
分别是可学习的权重裁剪(LWC)和可学习的等价转换(LET)中的量化参数。OmniQuant 安装 Block-wise 量化按顺序量化一个 Transformer Block 中的参数,然后再移动到下一个。
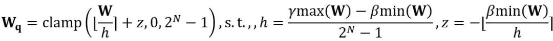
可学习的权重裁剪 (LWC)
等价转换在模型权重和激活值之间进行量级迁移。OmniQuant 采用的可学习等价转换使得在参数优化过程中会使得模型权重的分布随着训练不断地发生改变。此前直接学习权重裁剪阈值的方法 [1,2] 只适用于权重分布不发生剧烈改变的情况,否则会难以收敛。基于此问题,与以往方法直接学习权重裁剪阈值不同,LWC 通过以下方式优化裁剪强度:

其中 ⌊⋅⌉ 表示取整操作。N 是目标位数。
和 W 分别表示量化后和全精度的权重。h 是权重的归一化因子,z 是零点值。裁剪(clamp)操作限制量化值在 N 位整数的范围内,即
。在上式中,
和
分别是权重上界和下界的可学习裁剪强度。因此,在优化目标函数中
。
可学习的等价转换 (LET)
除了通过优化裁剪阈值来实现更适合量化的权重的 LWC 之外,OmniQuant 通过 LET 进一步降低激活值的量化难度。考虑到 LLM 激活值中的异常值是存在于特定通道,以前的方法如 SmoothQuant [3], Outlier Supression+[4] 通过数学上的等价转换将量化的难度从激活值转移到权重。
然而,手工选择或者贪心搜索得到的等价转换参数会限制量化模型的性能。得益于 Block-wise 量化误差最小化的引入,OmniQuant 的 LET 可以以一种可微分的方式确定最优的等价转换参数。受 Outlier Suppression+~\citep {outlier-plus} 的启发,采用了通道级的缩放和通道级的移位来操纵激活分布,为激活值中的异常值问题提供了一个有效的解决方案。具体来说,OmniQuant 探索了线性层和注意力操作中的等价转换。
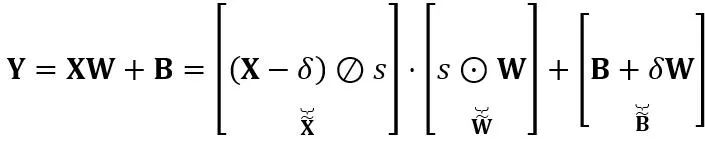
线性层中的等价转换:线性层接受输入的令牌序列
,其中 T 是令牌长度,是权重矩阵
和偏置向量
的乘积。数学上等效的线性层表达为:

其中 Y 代表输出,
和
分别是通道级的缩放和移位参数,
和
分别是等效激活、权重和偏置,⊘ 和 ⊙ 代表元素级的除法和乘法。通过上式等价转换,激活值被转换为更易于量化的形式,代价是增加了权重的量化难度。从这个意义上说,LWC 可以提高由 LET 实现的模型量化性能,因为它使权重更易于量化。最后,OmniQuant 对转换后的激活和权重进行量化,如下所示

其中 Q_a 是普通的 MinMax 量化器,Q_w 是带有可学习权重裁剪(即所提出的 LWC)的 MinMax 量化器。
注意力操作中的等价转换:除了线性层之外,注意力操作也占据了 LLM 的大部分计算。此外,LLM 的自回归推理模式需要为每个 token 存储键值(KV)缓存,这对于长序列来说导致了巨大的内存需求。因此,OmniQuant 也考虑将自主力计算中的 Q/K/V 矩阵量化为低位。具体来说,自注意力矩阵中的可学习等效变换可以写为:

其中
缩放因子。自注意力计算中的量化计算表达为
。在这里 OmniQuant 也使用 MinMax 量化方案作为
来量化
矩阵。所以,最终优化目标函数中的
。
伪代码

OmniQuant 的伪算法如上图所示。注意,LWC 与 LET 引入的额外参数在模型量化完后都可以被消除,即 OmniQuant 不会给量化模型引入任何额外开销,因此其可直接适配于现有的量化部署工具。
实验性能

上图显示了 OmniQuant 在 LLaMA 模型上仅权重量化结果的实验结果,更多 OPT 模型结果详见原文。可以看出,OmniQuant 在各种 LLM 模型(OPT、LLaMA-1、LLaMA-2)以及多样化的量化配置(包括 W2A16、W2A16g128、W2A16g64、W3A16、W3A16g128、W4A16 和 W4A16g128)中,始终优于以前的 LLM 仅权重量化方法。同时,这些实验表明了 OmniQuant 的通用性,能够适应多种量化配置。例如,尽管 AWQ [5] 在分组量化方面特别有效,但 OmniQuant 在通道级和分组级量化中均显示出更优的性能。此外,随着量化比特位数的减少,OmniQuant 的性能优势变得更加明显。

在权重和激活值都量化的设置中中,实验主要关注点在于 W6A6 和 W4A4 量化。实验设置中排除了 W8A8 量化,因为与全精度模型相比,此前的 SmoothQuant 几乎可以实现无损的 W8A8 模型量化。上图显示了 OmniQuant 在 LLaMA 模型上权重激活值都量化结果的实验结果。值得注意的是,在 W4A4 量化的不同模型中,OmniQuant 显著提高了平均准确率,增幅在 + 4.99% ∼ +11.80% 之间。特别是在 LLaMA-7B 模型中,OmniQuant 甚至以 + 6.22% 的显著差距超越了最近的量化感知训练方法 LLM-QAT [6]。这一改进证明了引入额外可学习参数的有效性,这比量化感知训练所采用的全局权重调整更为有益。

同时,使用 OmniQuant 量化的模型可以在 MLC-LLM [7] 上实现无缝部署。上图展示了 LLaMA 系列量化模型在 NVIDIA A100-80G 上的内存需求和推理速度。
Weights Memory (WM) 代表量化权重存储,而 Running Memory (RM) 表示推理过程中的内存,后者更高是因为保留了某些激活值。推理速度是通过生成 512 个令牌来衡量的。显而易见,与 16 位全精度模型相比,量化模型显著减少了内存使用。而且,W4A16g128 和 W2A16g128 量化几乎使推理速度翻倍。

值得注意的是,MLC-LLM [7] 也支持 OmniQuant 量化模型在其余平台的部署,包括 Android 手机和 IOS 手机。如上图所示,近期的应用 Private LLM 即是利用 OmniQuant 算法来完成 LLM 在 iPhone、iPad,macOS 等多平台的内存高效部署。
总结
OmniQuant 是一种将量化推进到到低比特格式的先进大语言模型量化算法。OmniQuant 的核心原则是保留原始的全精度权重的同时添加可学习的量化参数。它利用可学习的权重才接和等价变换来优化权重和激活值的量化兼容性。在融合梯度更新的同时,OmniQuant 保持了与现有的 PTQ 方法相当的训练时间效率和数据效率。此外,OmniQuant 还确保了硬件兼容性,因为其添加的可训练参数可以被融合到原模型中不带来任何额外开销。
Reference
[1] Pact: Parameterized clipping activation for quantized neural networks.
[2] LSQ: Learned step size quantization.
[3] Smoothquant: Accurate and efficient post-training quantization for large language models.
[4] Outlier suppression+: Accurate quantization of large language models by equivalent and optimal shifting and scaling.
[5] Awq: Activation-aware weight quantization for llm compression and acceleration.
[6] Llm-qat: Data-free quantization aware training for large language models.
[7] MLC-LLM:https://github.com/mlc-ai/mlc-llm
文中关于工程,模型量化的知识介绍,希望对你的学习有所帮助!若是受益匪浅,那就动动鼠标收藏这篇《ICLR 2024 Spotlight | 大语言模型权重、激活的全方位低bit可微量化,已集成进商用APP》文章吧,也可关注golang学习网公众号了解相关技术文章。
如何使用 Go SDK 在 Azure AD 中创建新组?
- 上一篇
- 如何使用 Go SDK 在 Azure AD 中创建新组?
- 下一篇
- 如何理解 Golang 中函数类型的高阶函数?
-
- 科技周边 · 人工智能 | 10分钟前 |
- Kimi Plus会员权益详解【付费会员】
- 363浏览 收藏
-
- 科技周边 · 人工智能 | 11分钟前 | Hermes Agent HermesAgent
- HermesAgent代码规范:ESLint自动修复指南
- 101浏览 收藏
-
- 科技周边 · 人工智能 | 23分钟前 |
- 海螺AI会员邮件个性化如何?CRM方案解析
- 159浏览 收藏
-
- 科技周边 · 人工智能 | 28分钟前 |
- 智谱清影数字人如何实现7x24运行?
- 296浏览 收藏
-
- 科技周边 · 人工智能 | 30分钟前 |
- 即梦AI滤镜使用与画面风格调整教程
- 197浏览 收藏
-
- 科技周边 · 人工智能 | 32分钟前 |
- Figma AI原型交互断裂,手动连线解决方法
- 327浏览 收藏
-
- 科技周边 · 人工智能 | 46分钟前 | kimi ai
- Kimi AI官网入口地址及平台链接
- 458浏览 收藏
-
- 科技周边 · 人工智能 | 46分钟前 |
- 海螺AI如何翻译中文为地道英文?
- 177浏览 收藏
-
- 科技周边 · 人工智能 | 47分钟前 |
- 腾讯“马维斯”上线:六大AI智能体全天候待命
- 263浏览 收藏
-
- 科技周边 · 人工智能 | 1小时前 |
- 即梦AI如何调节视频速度?
- 362浏览 收藏
-
- 科技周边 · 人工智能 | 1小时前 | 豆包AI 豆包AI助手
- 豆包AI直播话术怎么写?教程详解
- 380浏览 收藏
-
- 科技周边 · 人工智能 | 9小时前 | 夸克AI 夸克AI大模型
- 夸克AI如何识别宠物品种?
- 356浏览 收藏
-
- 前端进阶之JavaScript设计模式
- 设计模式是开发人员在软件开发过程中面临一般问题时的解决方案,代表了最佳的实践。本课程的主打内容包括JS常见设计模式以及具体应用场景,打造一站式知识长龙服务,适合有JS基础的同学学习。
- 543次学习
-
- GO语言核心编程课程
- 本课程采用真实案例,全面具体可落地,从理论到实践,一步一步将GO核心编程技术、编程思想、底层实现融会贯通,使学习者贴近时代脉搏,做IT互联网时代的弄潮儿。
- 516次学习
-
- 简单聊聊mysql8与网络通信
- 如有问题加微信:Le-studyg;在课程中,我们将首先介绍MySQL8的新特性,包括性能优化、安全增强、新数据类型等,帮助学生快速熟悉MySQL8的最新功能。接着,我们将深入解析MySQL的网络通信机制,包括协议、连接管理、数据传输等,让
- 500次学习
-
- JavaScript正则表达式基础与实战
- 在任何一门编程语言中,正则表达式,都是一项重要的知识,它提供了高效的字符串匹配与捕获机制,可以极大的简化程序设计。
- 487次学习
-
- 从零制作响应式网站—Grid布局
- 本系列教程将展示从零制作一个假想的网络科技公司官网,分为导航,轮播,关于我们,成功案例,服务流程,团队介绍,数据部分,公司动态,底部信息等内容区块。网站整体采用CSSGrid布局,支持响应式,有流畅过渡和展现动画。
- 485次学习
-
- ChatExcel酷表
- ChatExcel酷表是由北京大学团队打造的Excel聊天机器人,用自然语言操控表格,简化数据处理,告别繁琐操作,提升工作效率!适用于学生、上班族及政府人员。
- 4802次使用
-
- Any绘本
- 探索Any绘本(anypicturebook.com/zh),一款开源免费的AI绘本创作工具,基于Google Gemini与Flux AI模型,让您轻松创作个性化绘本。适用于家庭、教育、创作等多种场景,零门槛,高自由度,技术透明,本地可控。
- 5159次使用
-
- 可赞AI
- 可赞AI,AI驱动的办公可视化智能工具,助您轻松实现文本与可视化元素高效转化。无论是智能文档生成、多格式文本解析,还是一键生成专业图表、脑图、知识卡片,可赞AI都能让信息处理更清晰高效。覆盖数据汇报、会议纪要、内容营销等全场景,大幅提升办公效率,降低专业门槛,是您提升工作效率的得力助手。
- 5035次使用
-
- 星月写作
- 星月写作是国内首款聚焦中文网络小说创作的AI辅助工具,解决网文作者从构思到变现的全流程痛点。AI扫榜、专属模板、全链路适配,助力新人快速上手,资深作者效率倍增。
- 6992次使用
-
- MagicLight
- MagicLight.ai是全球首款叙事驱动型AI动画视频创作平台,专注于解决从故事想法到完整动画的全流程痛点。它通过自研AI模型,保障角色、风格、场景高度一致性,让零动画经验者也能高效产出专业级叙事内容。广泛适用于独立创作者、动画工作室、教育机构及企业营销,助您轻松实现创意落地与商业化。
- 5392次使用
-
- GPT-4王者加冕!读图做题性能炸天,凭自己就能考上斯坦福
- 2023-04-25 501浏览
-
- 单块V100训练模型提速72倍!尤洋团队新成果获AAAI 2023杰出论文奖
- 2023-04-24 501浏览
-
- ChatGPT 真的会接管世界吗?
- 2023-04-13 501浏览
-
- VR的终极形态是「假眼」?Neuralink前联合创始人掏出新产品:科学之眼!
- 2023-04-30 501浏览
-
- 实现实时制造可视性优势有哪些?
- 2023-04-15 501浏览

