Meta无限长文本大模型来了:参数仅7B,已开源
目前golang学习网上已经有很多关于科技周边的文章了,自己在初次阅读这些文章中,也见识到了很多学习思路;那么本文《Meta无限长文本大模型来了:参数仅7B,已开源》,也希望能帮助到大家,如果阅读完后真的对你学习科技周边有帮助,欢迎动动手指,评论留言并分享~
谷歌之后,Meta 也来卷无限长上下文。
Transformers的二次复杂度和弱长度外推限制了它们扩展到长序列的能力,虽然存在线性注意力力和状态空间模型等次二次解决方案,但从以往经验来看,它们在预训练效率和下游任务准确性方面表现不佳。
近日,谷歌提出的Infini-Transformer引入了有效方法,可以将基于Transformer的大型语言模型(LLM)扩展到无限长输入,而不增加存储和计算需求,吸引了人们的关注。
几乎就在同时,Meta 也提出了一种无限长文本技术。

论文地址:https://arxiv.org/pdf/2404.08801.pdf
论文标题:MEGALODON: Efficient LLM Pretraining and Inference with Unlimited Context Length
代码:https://github.com/XuezheMax/megalodon
在4月12日提交的一篇论文中,来自Meta、南加州大学、CMU、UCSD等机构引入了MEGALODON,一种用于高效序列建模的神经架构,上下文长度不受限制。
MEGALODON进一步发展了MEGA(带有门控注意力的指数移动平均)的结构,并引入了多种技术组件来提高其能力和稳定性,包括复数指数移动平均(CEMA)、时间步归一化层、归一化注意力机制和具有两个特征的预归一化(pre-norm)残差连接。

在与 LLAMA2 的直接比较中,MEGALODON 在 70 亿参数和 2 万亿训练 token 的规模上取得了比 Transformer 更好的效率。MEGALODON 的训练损失达到 1.70,处于 LLAMA2-7B (1.75) 和 13B (1.67) 之间。MEGALODON 相对于 Transformers 的改进在不同任务和模式的一系列基准测试中表现强劲。
MEGALODON 本质上是一种改进的 MEGA 架构(Ma et al., 2023),它利用了门控注意力机制和经典指数移动平均(EMA)方法。为了进一步提高 MEGALODON 在大规模长上下文预训练方面的能力和效率,作者提出了多种技术组件。首先,MEGALODON 引入了复数指数移动平均 (CEMA) 组件,将 MEGA 中的多维阻尼 EMA 扩展到复数域。其次,MEGALODON 提出了时间步长归一化层,它将组归一化层推广到自回归序列建模任务,以允许沿顺序维度进行归一化。
为了提高大规模预训练的稳定性,MEGALODON 进一步提出了归一化注意力,以及通过修改广泛采用的预归一化和后归一化方法而具有两跳残差配置的预归一化。通过简单地将输入序列分块为固定块,如 MEGA-chunk 中所做的那样,MEGALODON 在模型训练和推理中实现了线性计算和内存复杂性。
在与 LLAMA2 的直接比较上,控制了数据和计算的同时,MEGALODON-7B 在训练困惑度方面显著优于用于训练 LLAMA2-7B 的最先进的 Transformer 变体。在对长上下文建模的评估上,包括高达 2M 的各种上下文长度中的困惑度以及 Scrolls 中的长上下文 QA 任务证明了 MEGALODON 对无限长度序列进行建模的能力。中小型基准的其他实验结果,包括 LRA、ImageNet、Speech Commands、WikiText-103 和 PG19 证明了 MEGALODON 在体量和多模态上的能力。
方法介绍
首先,文章简单回顾了 MEGA( Moving Average Equipped Gated Attention )架构中的关键组件,并讨论了 MEGA 中存在的问题。
MEGA 将 EMA( exponential moving average ) 组件嵌入到注意力矩阵的计算中,以纳入跨时间步长维度的归纳偏差。具体而言,多维阻尼 EMA 首先通过扩展矩阵
将输入序列 X 的每个维度单独扩展为 h 维,然后将阻尼 EMA 应用于 h 维隐藏空间。形式如下:

为了降低全注意力机制中的二次复杂度,MEGA 简单地将 (14-16) 中的查询、键和值序列拆分为长度为 c 的块。(17) 中的注意力单独应用于每个块,产生线性复杂度 O (kc^2 ) = O (nc)。
从技术上讲,MEGA 中的 EMA 子层有助于捕获每个 token 附近的本地上下文信息,从而缓解了在超出块边界的上下文中丢失信息的问题。尽管 MEGA 取得了令人深刻的印象,但面临如下问题:
i)由于 MEGA 中 EMA 子层的表达能力有限,具有块级注意力的 MEGA 性能仍然落后于全注意力 MEGA。
ii) 对于不同的任务、数据类型,最终的 MEGA 架构可能存在架构差异,例如,不同的归一化层、归一化模式和注意力函数 f (・) 。
iii) 没有经验证据表明 MEGA 可扩展用于大规模预训练。


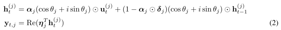
CEMA:将多维阻尼 EMA 扩展到复数域
为了解决 MEGA 面临的问题,该研究提出了 MEGALODON。
具体而言,他们创造性地提出了复指数移动平均 CEMA( complex exponential moving average ),将上式(1)改写为如下形式:

并将(2)中的 θ_j 参数化为:

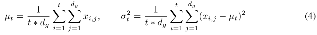
时间步(Timestep)归一化
尽管层归一化与 Transformer 相结合的性能令人印象深刻,但很明显,层归一化不能直接减少沿空间维度(也称为时间步长或序列维度)的内部协变量偏移。
在 MEGALODON 中,该研究通过计算累积均值和方差将组归一化扩展到自回归情况。

图 2 说明了层归一化和时间步标准化。

MEGALODON 中的归一化注意力
此外,该研究还提出了专门为 MEGA 定制的归一化注意力机制,以提高其稳定性。形式如下:

则上式 (17) 中的注意力操作改为:

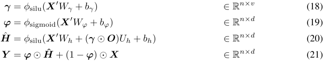
具有 Two-hop 残差的预范数(Pre-Norm)
通过调查发现,扩大模型大小会造成预归一化不稳定问题。基于 Transformer 块的预归一化可以表示为(如图 3 (b) 所示):


在原始 MEGA 架构中, 将 φ (19) 用于门控残差连接 (21) 以缓解此问题。然而,更新门 φ 引入了更多的模型参数,当模型规模扩大到 70 亿时,不稳定问题仍然存在。MEGALODON 引入了一种名为 pre-norm 的新配置,具有 two-hop 残差,它只是简单地重新排列每个块中的残差连接,如图 3(c)所示:


实验
为了评估 MEGALODON 在长上下文序列建模上的可扩展性和效率,本文将 MEGALODON 扩展到 70 亿规模大小。
LLM 预训练
为了提高数据效率,研究者在训练过程中显示了 MEGALODON-7B、LLAMA2-7B 和 LLAMA2-13B 的负对数似然 (NLL),如图 1 所示。
在相同数量的训练 token 下,MEGALODON-7B 获得了比 LLAMA2-7B 明显更好(更低)的 NLL,表现出更好的数据效率。

图 4 说明了分别使用 4K 和 32K 上下文长度的 LLAMA2-7B 和 MEGALODON-7B 在每个设备上的平均 WPS( word/token per second )。对于 LLAMA2 模型,该研究使用 Flash-Attention V2 加速全注意力的计算。在 4K 上下文长度下,由于引入了 CEMA 和时间步归一化,MEGALODON-7B 比 LLAMA2-7B 稍慢(约 6%)。当将上下文长度扩展到 32K 时,MEGALODON-7B 明显比 LLAMA2-7B 快(约 32%),这证明了 MEGALODON 对于长上下文预训练的计算效率。

短上下文评估
表 1 总结了 MEGALODON 和 LLAMA2 在学术基准上的结果,以及其他开源基础模型,包括 MPT、RWKV 、Mamba 、 Mistral 和 Gemma 的比较结果。在相同的 2T token 上进行预训练后,MEGALODON-7B 在所有基准测试中均优于 LLAMA2-7B。在某些任务上,MEGALODON-7B 的性能与 LLAMA2-13B 相当甚至更好。

长上下文评估
图 5 显示了验证数据集在 4K 到 2M 各种上下文长度下的困惑度 (PPL)。可以观察到 PPL 随着上下文长度单调下降,验证了 MEGALODON 在建模极长序列方面的有效性和鲁棒性。

指令微调
表 3 总结了 7B 模型在 MT-Bench 上的性能。与 Vicuna 相比,MEGALODON 在 MT-Bench 上表现出优越的性能,并且与 LLAMA2-Chat 相当,而后者利用 RLHF 进行了进一步的对齐微调。

中等规模基准评估
为了评估 MEGALODON 在图像分类任务上的性能,该研究在 Imagenet-1K 数据集上进行了实验。表 4 报告了验证集上的 Top-1 准确率。MEGALODON 的准确率比 DeiT-B 提高了 1.3%,比 MEGA 提高了 0.8%。

表 5 说明了 MEGALODON 在 PG-19 上的字级困惑度 (PPL),以及与之前最先进的模型,包括 Compressive Transformer 、Perceiver AR、Perceiver AR、块循环 Transformer 和 MEGABYTE 等的对比。MEGALODON 性能明显领先。

更详细内容请参考论文原文。
终于介绍完啦!小伙伴们,这篇关于《Meta无限长文本大模型来了:参数仅7B,已开源》的介绍应该让你收获多多了吧!欢迎大家收藏或分享给更多需要学习的朋友吧~golang学习网公众号也会发布科技周边相关知识,快来关注吧!
如何传递或解析从 argo 工作流生成的资源事件源主体?
- 上一篇
- 如何传递或解析从 argo 工作流生成的资源事件源主体?
- 下一篇
- Java中List.contains(Object object)方法怎么使用
-
- 科技周边 · 人工智能 | 7小时前 | 人工智能
- 节假日自动问候:OpenClaw微信节日营销文案定时群发教程
- 493浏览 收藏
-
- 科技周边 · 人工智能 | 7小时前 | Shutterstock
- Shutterstock图片怎么用于网站_Shutterstock网站配图下载与版权须知
- 147浏览 收藏
-
- 科技周边 · 人工智能 | 7小时前 |
- Pika怎么做动画视频 静态图转动态图参数多少【动画】
- 106浏览 收藏
-
- 科技周边 · 人工智能 | 7小时前 |
- 在 WorkBuddy 中禁用不常用的预置技能以节省资源
- 382浏览 收藏
-
- 科技周边 · 人工智能 | 7小时前 |
- Grok3怎么生成技术文档_Grok3编写规范技术文档教程
- 290浏览 收藏
-
- 科技周边 · 人工智能 | 7小时前 |
- 本地部署DeepSeek-R1推理版_7B模型实测
- 179浏览 收藏
-
- 科技周边 · 人工智能 | 7小时前 |
- DeepSeek V4怎么清洗销售线索_意向客户自动分级打标【线索】
- 292浏览 收藏
-
- 科技周边 · 人工智能 | 7小时前 |
- 医保AI监管系统!反诈骗技术服务,社保领域新刚需!
- 328浏览 收藏
-
- 科技周边 · 人工智能 | 8小时前 |
- DeepSeek V4系统提示词无效_system prompt位置与格式调整【系统】
- 241浏览 收藏
-
- 科技周边 · 人工智能 | 8小时前 |
- 龙虾机器人(clawdbot)官方网站访问入口 clawdbot网页端操作指南
- 122浏览 收藏
-
- 科技周边 · 人工智能 | 8小时前 | ChatGPT
- 2026年大模型硬件门槛_最低配置与推荐配置清单
- 306浏览 收藏
-
- 前端进阶之JavaScript设计模式
- 设计模式是开发人员在软件开发过程中面临一般问题时的解决方案,代表了最佳的实践。本课程的主打内容包括JS常见设计模式以及具体应用场景,打造一站式知识长龙服务,适合有JS基础的同学学习。
- 543次学习
-
- GO语言核心编程课程
- 本课程采用真实案例,全面具体可落地,从理论到实践,一步一步将GO核心编程技术、编程思想、底层实现融会贯通,使学习者贴近时代脉搏,做IT互联网时代的弄潮儿。
- 516次学习
-
- 简单聊聊mysql8与网络通信
- 如有问题加微信:Le-studyg;在课程中,我们将首先介绍MySQL8的新特性,包括性能优化、安全增强、新数据类型等,帮助学生快速熟悉MySQL8的最新功能。接着,我们将深入解析MySQL的网络通信机制,包括协议、连接管理、数据传输等,让
- 500次学习
-
- JavaScript正则表达式基础与实战
- 在任何一门编程语言中,正则表达式,都是一项重要的知识,它提供了高效的字符串匹配与捕获机制,可以极大的简化程序设计。
- 487次学习
-
- 从零制作响应式网站—Grid布局
- 本系列教程将展示从零制作一个假想的网络科技公司官网,分为导航,轮播,关于我们,成功案例,服务流程,团队介绍,数据部分,公司动态,底部信息等内容区块。网站整体采用CSSGrid布局,支持响应式,有流畅过渡和展现动画。
- 485次学习
-
- ChatExcel酷表
- ChatExcel酷表是由北京大学团队打造的Excel聊天机器人,用自然语言操控表格,简化数据处理,告别繁琐操作,提升工作效率!适用于学生、上班族及政府人员。
- 4465次使用
-
- Any绘本
- 探索Any绘本(anypicturebook.com/zh),一款开源免费的AI绘本创作工具,基于Google Gemini与Flux AI模型,让您轻松创作个性化绘本。适用于家庭、教育、创作等多种场景,零门槛,高自由度,技术透明,本地可控。
- 4810次使用
-
- 可赞AI
- 可赞AI,AI驱动的办公可视化智能工具,助您轻松实现文本与可视化元素高效转化。无论是智能文档生成、多格式文本解析,还是一键生成专业图表、脑图、知识卡片,可赞AI都能让信息处理更清晰高效。覆盖数据汇报、会议纪要、内容营销等全场景,大幅提升办公效率,降低专业门槛,是您提升工作效率的得力助手。
- 4690次使用
-
- 星月写作
- 星月写作是国内首款聚焦中文网络小说创作的AI辅助工具,解决网文作者从构思到变现的全流程痛点。AI扫榜、专属模板、全链路适配,助力新人快速上手,资深作者效率倍增。
- 6485次使用
-
- MagicLight
- MagicLight.ai是全球首款叙事驱动型AI动画视频创作平台,专注于解决从故事想法到完整动画的全流程痛点。它通过自研AI模型,保障角色、风格、场景高度一致性,让零动画经验者也能高效产出专业级叙事内容。广泛适用于独立创作者、动画工作室、教育机构及企业营销,助您轻松实现创意落地与商业化。
- 5061次使用
-
- GPT-4王者加冕!读图做题性能炸天,凭自己就能考上斯坦福
- 2023-04-25 501浏览
-
- 单块V100训练模型提速72倍!尤洋团队新成果获AAAI 2023杰出论文奖
- 2023-04-24 501浏览
-
- ChatGPT 真的会接管世界吗?
- 2023-04-13 501浏览
-
- VR的终极形态是「假眼」?Neuralink前联合创始人掏出新产品:科学之眼!
- 2023-04-30 501浏览
-
- 实现实时制造可视性优势有哪些?
- 2023-04-15 501浏览

