Python怎么调用实现最小二乘法
今日不肯埋头,明日何以抬头!每日一句努力自己的话哈哈~哈喽,今天我将给大家带来一篇《Python怎么调用实现最小二乘法》,主要内容是讲解等等,感兴趣的朋友可以收藏或者有更好的建议在评论提出,我都会认真看的!大家一起进步,一起学习!
所谓线性最小二乘法,可以理解为是解方程的延续,区别在于,当未知量远小于方程数的时候,将得到一个无解的问题。最小二乘法的实质,是保证误差最小的情况下对未知数进行赋值。
最小二乘法是非常经典的算法,而且这个名字我们在高中的时候就已经接触了,属于极其常用的算法。此前曾经写过线性最小二乘法的原理,并用Python实现:最小二乘法及其Python实现;以及scipy中非线性最小二乘法的调用方式:非线性最小二乘法(文末补充内容);还有稀疏矩阵的最小二乘法:稀疏矩阵最小二乘法。
下面讲对numpy和scipy中实现的线性最小二乘法进行说明,并比较二者的速度。
numpy实现
numpy中便实现了最小二乘法,即lstsq(a,b)用于求解类似于a@x=b中的x,其中,a为M×N的矩阵;则当b为M行的向量时,刚好相当于求解线性方程组。对于Ax=b这样的方程组,如果A是满秩仿真,那么可以表示为x=A−1b,否则可以表示为x=(ATA)−1ATb。
当b为M×K的矩阵时,则对每一列,都会计算一组x。
其返回值共有4个,分别是拟合得到的x、拟合误差、矩阵a的秩、以及矩阵a的单值形式。
import numpy as np np.random.seed(42) M = np.random.rand(4,4) x = np.arange(4) y = M@x xhat = np.linalg.lstsq(M,y) print(xhat[0]) #[0. 1. 2. 3.]
scipy封装
scipy.linalg同样提供了最小二乘法函数,函数名同样是lstsq,其参数列表为
lstsq(a, b, cond=None, overwrite_a=False, overwrite_b=False, check_finite=True, lapack_driver=None)
其中a, b即Ax=b,二者均提供可覆写开关,设为True可以节省运行时间,此外,函数也支持有限性检查,这是linalg中许多函数都具备的选项。其返回值与numpy中的最小二乘函数相同。
cond为浮点型参数,表示奇异值阈值,当奇异值小于cond时将舍弃。
lapack_driver为字符串选项,表示选用何种LAPACK中的算法引擎,可选'gelsd', 'gelsy', 'gelss'。
import scipy.linalg as sl xhat1 = sl.lstsq(M, y) print(xhat1[0]) # [0. 1. 2. 3.]
速度对比
最后,对着两组最小二乘函数做一个速度上的对比
from timeit import timeit N = 100 A = np.random.rand(N,N) b = np.arange(N) timeit(lambda:np.linalg.lstsq(A, b), number=10) # 0.015487500000745058 timeit(lambda:sl.lstsq(A, b), number=10) # 0.011151800004881807
这一次,二者并没有拉开太大的差距,即使将矩阵维度放大到500,二者也是半斤八两。
N = 500 A = np.random.rand(N,N) b = np.arange(N) timeit(lambda:np.linalg.lstsq(A, b), number=10) 0.389679799991427 timeit(lambda:sl.lstsq(A, b), number=10) 0.35642060000100173
补充
Python调用非线性最小二乘法
简介与构造函数
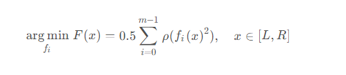
在scipy中,非线性最小二乘法的目的是找到一组函数,使得误差函数的平方和最小,可以表示为如下公式

其中ρ表示损失函数,可以理解为对fi(x)的一次预处理。
scipy.optimize中封装了非线性最小二乘法函数least_squares,其定义为
least_squares(fun, x0, jac, bounds, method, ftol, xtol, gtol, x_scale, f_scale, loss, jac_sparsity, max_nfev, verbose, args, kwargs)
其中,func和x0为必选参数,func为待求解函数,x0为函数输入的初值,这两者无默认值,为必须输入的参数。
bound为求解区间,默认(−∞,∞),verbose为1时,会有终止输出,为2时会print更多的运算过程中的信息。此外下面几个参数用于控制误差,比较简单。
| 默认值 | 备注 | |
|---|---|---|
| ftol | 10-8 | 函数容忍度 |
| xtol | 10-8 | 自变量容忍度 |
| gtol | 10-8 | 梯度容忍度 |
| x_scale | 1.0 | 变量的特征尺度 |
| f_scale | 1.0 | 残差边际值 |
loss为损失函数,就是上面公式中的ρ \rhoρ,默认为linear,可选值包括

迭代策略
上面的公式仅给出了算法的目的,但并未暴露其细节。关于如何找到最小值,则需要确定搜索最小值的方法,method为最小值搜索的方案,共有三种选项,默认为trf
trf:即Trust Region Reflective,信赖域反射算法
dogbox:信赖域狗腿算法
lm:Levenberg-Marquardt算法
这三种方法都是信赖域方法的延申,信赖域的优化思想其实就是从单点的迭代变成了区间的迭代,由于本文的目的是介绍scipy中所封装好的非线性最小二乘函数,故而仅对其原理做简略的介绍。

其中r为置信半径,假设在这个邻域内,目标函数可以近似为线性或二次函数,则可通过二次模型得到区间中的极小值点sk。然后以这个极小值点为中心,继续优化信赖域所对应的区间。

雅可比矩阵
在了解了信赖域方法之后,就会明白雅可比矩阵在数值求解时的重要作用,而如何计算雅可比矩阵,则是接下来需要考虑的问题。jac参数为计算雅可比矩阵的方法,主要提供了三种方案,分别是基于两点的2-point;基于三点的3-point;以及基于复数步长的cs。一般来说,三点的精度高于两点,但速度也慢一倍。
此外,可以输入自定义函数来计算雅可比矩阵。
测试
最后,测试一下非线性最小二乘法
import numpy as np
from scipy.optimize import least_squares
def test(xs):
_sum = 0.0
for i in range(len(xs)):
_sum = _sum + (1-np.cos((xs[i]*i)/5)*(i+1))
return _sum
x0 = np.random.rand(5)
ret = least_squares(test, x0)
msg = f"最小值" + ", ".join([f"{x:.4f}" for x in ret.x])
msg += f"\nf(x)={ret.fun[0]:.4f}"
print(msg)
'''
最小值0.9557, 0.5371, 1.5714, 1.6931, 5.2294
f(x)=0.0000
'''理论要掌握,实操不能落!以上关于《Python怎么调用实现最小二乘法》的详细介绍,大家都掌握了吧!如果想要继续提升自己的能力,那么就来关注golang学习网公众号吧!
使用 Python 将点分隔值转换为 Go 结构
- 上一篇
- 使用 Python 将点分隔值转换为 Go 结构
- 下一篇
- 如何将primitive.M转换为映射字符串,然后转换为字符串?
-
- 文章 · python教程 | 5分钟前 |
- Python镜像层解析与优化方法
- 382浏览 收藏
-
- 文章 · python教程 | 8分钟前 |
- Python登录成功后如何调用函数
- 482浏览 收藏
-
- 文章 · python教程 | 23分钟前 |
- Pandas直方图df.plot.hist使用教程
- 280浏览 收藏
-
- 文章 · python教程 | 38分钟前 |
- Pythonsys.modules的真实作用解析
- 275浏览 收藏
-
- 文章 · python教程 | 47分钟前 |
- PythonWebSocket长连接教程:asyncio与websockets实战
- 351浏览 收藏
-
- 文章 · python教程 | 50分钟前 |
- Python大屏展示:Dash与Streamlit数据看板搭建教程
- 451浏览 收藏
-
- 文章 · python教程 | 2小时前 |
- 安全清理pip依赖污染方法
- 489浏览 收藏
-
- 文章 · python教程 | 2小时前 |
- Python多线程数据共享设计思路
- 115浏览 收藏
-
- 文章 · python教程 | 2小时前 |
- TensorFlow大文件处理技巧:流式加载方法
- 372浏览 收藏
-
- 文章 · python教程 | 2小时前 |
- TritonPython后端入门指南
- 126浏览 收藏
-
- 文章 · python教程 | 2小时前 |
- Pandas多条件赋值技巧详解
- 158浏览 收藏
-
- 文章 · python教程 | 2小时前 |
- 目标编码怎么用?Python分类特征处理全解析
- 491浏览 收藏
-
- 前端进阶之JavaScript设计模式
- 设计模式是开发人员在软件开发过程中面临一般问题时的解决方案,代表了最佳的实践。本课程的主打内容包括JS常见设计模式以及具体应用场景,打造一站式知识长龙服务,适合有JS基础的同学学习。
- 543次学习
-
- GO语言核心编程课程
- 本课程采用真实案例,全面具体可落地,从理论到实践,一步一步将GO核心编程技术、编程思想、底层实现融会贯通,使学习者贴近时代脉搏,做IT互联网时代的弄潮儿。
- 516次学习
-
- 简单聊聊mysql8与网络通信
- 如有问题加微信:Le-studyg;在课程中,我们将首先介绍MySQL8的新特性,包括性能优化、安全增强、新数据类型等,帮助学生快速熟悉MySQL8的最新功能。接着,我们将深入解析MySQL的网络通信机制,包括协议、连接管理、数据传输等,让
- 500次学习
-
- JavaScript正则表达式基础与实战
- 在任何一门编程语言中,正则表达式,都是一项重要的知识,它提供了高效的字符串匹配与捕获机制,可以极大的简化程序设计。
- 487次学习
-
- 从零制作响应式网站—Grid布局
- 本系列教程将展示从零制作一个假想的网络科技公司官网,分为导航,轮播,关于我们,成功案例,服务流程,团队介绍,数据部分,公司动态,底部信息等内容区块。网站整体采用CSSGrid布局,支持响应式,有流畅过渡和展现动画。
- 485次学习
-
- ChatExcel酷表
- ChatExcel酷表是由北京大学团队打造的Excel聊天机器人,用自然语言操控表格,简化数据处理,告别繁琐操作,提升工作效率!适用于学生、上班族及政府人员。
- 4221次使用
-
- Any绘本
- 探索Any绘本(anypicturebook.com/zh),一款开源免费的AI绘本创作工具,基于Google Gemini与Flux AI模型,让您轻松创作个性化绘本。适用于家庭、教育、创作等多种场景,零门槛,高自由度,技术透明,本地可控。
- 4577次使用
-
- 可赞AI
- 可赞AI,AI驱动的办公可视化智能工具,助您轻松实现文本与可视化元素高效转化。无论是智能文档生成、多格式文本解析,还是一键生成专业图表、脑图、知识卡片,可赞AI都能让信息处理更清晰高效。覆盖数据汇报、会议纪要、内容营销等全场景,大幅提升办公效率,降低专业门槛,是您提升工作效率的得力助手。
- 4460次使用
-
- 星月写作
- 星月写作是国内首款聚焦中文网络小说创作的AI辅助工具,解决网文作者从构思到变现的全流程痛点。AI扫榜、专属模板、全链路适配,助力新人快速上手,资深作者效率倍增。
- 6109次使用
-
- MagicLight
- MagicLight.ai是全球首款叙事驱动型AI动画视频创作平台,专注于解决从故事想法到完整动画的全流程痛点。它通过自研AI模型,保障角色、风格、场景高度一致性,让零动画经验者也能高效产出专业级叙事内容。广泛适用于独立创作者、动画工作室、教育机构及企业营销,助您轻松实现创意落地与商业化。
- 4827次使用
-
- Flask框架安装技巧:让你的开发更高效
- 2024-01-03 501浏览
-
- Django框架中的并发处理技巧
- 2024-01-22 501浏览
-
- 提升Python包下载速度的方法——正确配置pip的国内源
- 2024-01-17 501浏览
-
- Python与C++:哪个编程语言更适合初学者?
- 2024-03-25 501浏览
-
- 品牌建设技巧
- 2024-04-06 501浏览

