为自动驾驶而生,Lightning NeRF:速度提升10倍
各位小伙伴们,大家好呀!看看今天我又给各位带来了什么文章?本文标题是《为自动驾驶而生,Lightning NeRF:速度提升10倍》,很明显是关于科技周边的文章哈哈哈,其中内容主要会涉及到等等,如果能帮到你,觉得很不错的话,欢迎各位多多点评和分享!
写在前面&笔者的个人理解
最近的研究强调了NeRF在自动驾驶环境中的应用前景。然而室外环境的复杂性,加上驾驶场景中的视点受限,使精确重建场景几何体的任务变得复杂。这些挑战往往会导致重建质量下降,训练和渲染的持续时间延长。为了应对这些挑战,我们推出了Lightning NeRF。它使用了一种高效的混合场景表示,在自动驾驶场景中有效地利用了激光雷达的几何先验。Lightning NeRF显著提高了NeRF的新颖视图合成性能,并减少了计算开销。通过对真实世界数据集(如KITTI-360、Argoverse2和我们的私人数据集)的评估,我们证明了我们的方法不仅在新视图合成质量方面超过了当前最先进的技术,而且在训练速度上提高了五倍,在渲染速度上也提高了十倍。
- 代码链接:https://github.com/VISION-SJTU/Lightning-NeRF

详解Lightning NeRF
Preliminaries

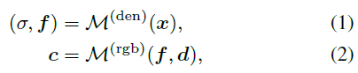
NeRF是一种表示具有隐式函数的场景的方法,这种隐式函数通常由MLP进行参数化。它能够根据观察方向d返回场景中3D点x的颜色值c和体积密度预测σ。

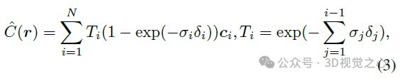
为了呈现像素,NeRF使用分层体积采样沿着射线r生成一系列点,然后通过累积组合这些位置的预测密度和颜色特征。

尽管NeRF在新视角合成方面表现出色,但它的长训练时间和慢渲染速度主要是由于采样策略效率低造成的。为了改善模型的效率,我们在训练过程中保持粗略的网格占用,并仅对占用体积内的位置进行采样。这种采样策略与现有工作类似,有助于提高模型的性能并加快训练速度。
Hybrid Scene Representation
混合体积表示已经使用紧凑的模型实现了快速优化和渲染。鉴于此,我们采用混合体素网格表示来对辐射场进行建模以提高效率。简言之,我们通过在网格顶点存储σ来显式地对体积密度进行建模,同时使用浅MLP以隐式方式将颜色嵌入f解码为最终颜色c。为了处理户外环境的无边界性质,我们将场景表示分为前景和背景两部分,如图2所示。具体来说,我们从轨迹序列中检查每一帧中的相机截头体,并定义前景边界框,使其紧密包裹对齐坐标系中的所有截头体。背景框是通过沿每个维度按比例放大前景框而获得的。
体素网格表示。体素网格表示在其网格顶点中显式存储场景属性(例如,密度、RGB颜色或特征),以支持高效的特征查询。这样,对于给定的3D位置,我们可以通过三线性插值来解码相应的属性:

前景。我们建立了两个独立的特征网格,用于对前景区域的密度和颜色嵌入进行建模。具体来说,密度网格映射将位置映射到密度标量σ中,用于体积渲染。对于颜色嵌入网格映射,我们通过哈希表以不同分辨率备份实例化多个体素网格,以获得更精细的细节,并具有可承受的内存开销。最终的颜色嵌入f是通过在L个分辨率级别上串联输出而获得的。
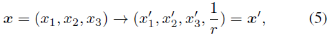
背景尽管前面提到的前景建模适用于对象级别的辐射场,但将其扩展到无界的室外场景并非易事。一些相关技术,如NGP,直接扩展其场景边界框,以便可以包括背景区域,而GANcraft和URF引入了球形背景辐射来处理这个问题。然而,前一种尝试导致其功能的浪费,因为其场景框内的大多数区域都用于背景场景。对于后一种方案,它可能无法处理城市场景中复杂的全景(例如,起伏的建筑或复杂的景观),因为它只是假设背景辐射仅取决于视线方向。
为此,我们设置了一个额外的背景网格模型,以保持前景部分的分辨率不变。我们采用[9]中的场景参数化作为背景,经过精心设计。首先与反球面建模不同,我们使用反三次建模,用ℓ∞ 范数,因为我们使用体素网格表示。其次我们不实例化额外的MLP来查询背景颜色以节省内存。具体来说,我们通过以下方式将3D背景点扭曲为4D:

LiDAR Initialization
使用我们的混合场景表示,当我们直接从有效的体素网格表示而不是计算密集型MLP查询密度值时,该模型可以节省计算和内存。然而,考虑到城市场景的大规模性质和复杂性,由于密度网格的分辨率有限,这种轻量级表示很容易在优化中陷入局部极小值。幸运的是,在自动驾驶中,大多数自动驾驶汽车(SDV)都配备了LiDAR传感器,为场景重建提供了粗略的几何先验。为此,我们建议使用激光雷达点云来初始化我们的密度网格,以减轻场景几何和辐射联合优化的障碍。
Color Decomposition
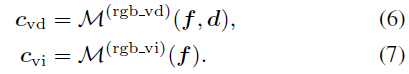
最初的NeRF使用与视图相关的MLP来对辐射场中的颜色进行建模,这是对物理世界的简化,其中辐射由漫射(与视图无关)颜色和镜面(与视图相关)颜色组成。此外,由于最终输出颜色c与观看方向d完全纠缠,因此难以在看不见的视图中渲染高保真图像。如图3所示,我们在没有颜色分解(CD)的情况下训练的方法在外推设置中的新视图合成中失败(即,基于训练视图将观看方向向左移动2米),而我们在颜色分解的情况下给出了合理的渲染结果。


采样位置的最终颜色是这两个因素的总和:

训练损失
我们使用重新缩放的权重wi来修改光度损失,以优化我们的模型,使其专注于硬样本以实现快速收敛。权重系数定义为:


图片


实验









结论
本文介绍了Lightning NeRF,这是一种高效的户外场景视图合成框架,它集成了点云和图像。所提出的方法利用点云快速初始化场景的稀疏表示,实现了显著的性能和速度增强。通过更有效地对背景进行建模,我们减少了前景上的代表性应变。最后,通过颜色分解,分别对视图相关和视图无关的颜色进行建模,增强了模型的外推能力。在各种自动驾驶数据集上进行的大量实验表明,我们的方法在性能和效率方面都优于以前的先进技术。
好了,本文到此结束,带大家了解了《为自动驾驶而生,Lightning NeRF:速度提升10倍》,希望本文对你有所帮助!关注golang学习网公众号,给大家分享更多科技周边知识!
企业级AI Agent如何落地汽车行业,这是国内首份系统阐述白皮书
- 上一篇
- 企业级AI Agent如何落地汽车行业,这是国内首份系统阐述白皮书
- 下一篇
- 天涯社区回应被申请破产:系离职员工提起诉讼,仍在准备重启
-
- 科技周边 · 人工智能 | 4小时前 | 人工智能
- 节假日自动问候:OpenClaw微信节日营销文案定时群发教程
- 493浏览 收藏
-
- 科技周边 · 人工智能 | 4小时前 | Shutterstock
- Shutterstock图片怎么用于网站_Shutterstock网站配图下载与版权须知
- 147浏览 收藏
-
- 科技周边 · 人工智能 | 4小时前 |
- Pika怎么做动画视频 静态图转动态图参数多少【动画】
- 106浏览 收藏
-
- 科技周边 · 人工智能 | 4小时前 |
- 在 WorkBuddy 中禁用不常用的预置技能以节省资源
- 382浏览 收藏
-
- 科技周边 · 人工智能 | 4小时前 |
- Grok3怎么生成技术文档_Grok3编写规范技术文档教程
- 290浏览 收藏
-
- 科技周边 · 人工智能 | 5小时前 |
- 本地部署DeepSeek-R1推理版_7B模型实测
- 179浏览 收藏
-
- 科技周边 · 人工智能 | 5小时前 |
- DeepSeek V4怎么清洗销售线索_意向客户自动分级打标【线索】
- 292浏览 收藏
-
- 科技周边 · 人工智能 | 5小时前 |
- 医保AI监管系统!反诈骗技术服务,社保领域新刚需!
- 328浏览 收藏
-
- 科技周边 · 人工智能 | 5小时前 |
- DeepSeek V4系统提示词无效_system prompt位置与格式调整【系统】
- 241浏览 收藏
-
- 科技周边 · 人工智能 | 5小时前 |
- 龙虾机器人(clawdbot)官方网站访问入口 clawdbot网页端操作指南
- 122浏览 收藏
-
- 科技周边 · 人工智能 | 5小时前 | ChatGPT
- 2026年大模型硬件门槛_最低配置与推荐配置清单
- 306浏览 收藏
-
- 前端进阶之JavaScript设计模式
- 设计模式是开发人员在软件开发过程中面临一般问题时的解决方案,代表了最佳的实践。本课程的主打内容包括JS常见设计模式以及具体应用场景,打造一站式知识长龙服务,适合有JS基础的同学学习。
- 543次学习
-
- GO语言核心编程课程
- 本课程采用真实案例,全面具体可落地,从理论到实践,一步一步将GO核心编程技术、编程思想、底层实现融会贯通,使学习者贴近时代脉搏,做IT互联网时代的弄潮儿。
- 516次学习
-
- 简单聊聊mysql8与网络通信
- 如有问题加微信:Le-studyg;在课程中,我们将首先介绍MySQL8的新特性,包括性能优化、安全增强、新数据类型等,帮助学生快速熟悉MySQL8的最新功能。接着,我们将深入解析MySQL的网络通信机制,包括协议、连接管理、数据传输等,让
- 500次学习
-
- JavaScript正则表达式基础与实战
- 在任何一门编程语言中,正则表达式,都是一项重要的知识,它提供了高效的字符串匹配与捕获机制,可以极大的简化程序设计。
- 487次学习
-
- 从零制作响应式网站—Grid布局
- 本系列教程将展示从零制作一个假想的网络科技公司官网,分为导航,轮播,关于我们,成功案例,服务流程,团队介绍,数据部分,公司动态,底部信息等内容区块。网站整体采用CSSGrid布局,支持响应式,有流畅过渡和展现动画。
- 485次学习
-
- ChatExcel酷表
- ChatExcel酷表是由北京大学团队打造的Excel聊天机器人,用自然语言操控表格,简化数据处理,告别繁琐操作,提升工作效率!适用于学生、上班族及政府人员。
- 4464次使用
-
- Any绘本
- 探索Any绘本(anypicturebook.com/zh),一款开源免费的AI绘本创作工具,基于Google Gemini与Flux AI模型,让您轻松创作个性化绘本。适用于家庭、教育、创作等多种场景,零门槛,高自由度,技术透明,本地可控。
- 4810次使用
-
- 可赞AI
- 可赞AI,AI驱动的办公可视化智能工具,助您轻松实现文本与可视化元素高效转化。无论是智能文档生成、多格式文本解析,还是一键生成专业图表、脑图、知识卡片,可赞AI都能让信息处理更清晰高效。覆盖数据汇报、会议纪要、内容营销等全场景,大幅提升办公效率,降低专业门槛,是您提升工作效率的得力助手。
- 4690次使用
-
- 星月写作
- 星月写作是国内首款聚焦中文网络小说创作的AI辅助工具,解决网文作者从构思到变现的全流程痛点。AI扫榜、专属模板、全链路适配,助力新人快速上手,资深作者效率倍增。
- 6485次使用
-
- MagicLight
- MagicLight.ai是全球首款叙事驱动型AI动画视频创作平台,专注于解决从故事想法到完整动画的全流程痛点。它通过自研AI模型,保障角色、风格、场景高度一致性,让零动画经验者也能高效产出专业级叙事内容。广泛适用于独立创作者、动画工作室、教育机构及企业营销,助您轻松实现创意落地与商业化。
- 5061次使用
-
- GPT-4王者加冕!读图做题性能炸天,凭自己就能考上斯坦福
- 2023-04-25 501浏览
-
- 单块V100训练模型提速72倍!尤洋团队新成果获AAAI 2023杰出论文奖
- 2023-04-24 501浏览
-
- ChatGPT 真的会接管世界吗?
- 2023-04-13 501浏览
-
- VR的终极形态是「假眼」?Neuralink前联合创始人掏出新产品:科学之眼!
- 2023-04-30 501浏览
-
- 实现实时制造可视性优势有哪些?
- 2023-04-15 501浏览

