一阶优化算法启发,北大林宙辰团队提出具有万有逼近性质的神经网络架构的设计方法
大家好,今天本人给大家带来文章《一阶优化算法启发,北大林宙辰团队提出具有万有逼近性质的神经网络架构的设计方法》,文中内容主要涉及到,如果你对科技周边方面的知识点感兴趣,那就请各位朋友继续看下去吧~希望能真正帮到你们,谢谢!
神经网络作为深度学习技术的基础已经在诸多应用领域取得了有效成果。在实践中,网络架构可以显著影响学习效率,一个好的神经网络架构能够融入问题的先验知识,确立网络训练,提高计算效率。目前,经典的网络架构设计方法包括人工设计、神经网络架构搜索(NAS)[1]、以及基于优化的网络设计方法 [2]。人工设计的网络架构如 ResNet 等;神经网络架构搜索则通过搜索或强化学习的方式在搜索空间中寻找最佳网络结构;基于优化的设计方法中的一种主流范式是算法展开(algorithm unrolling),该方法通常在有显式目标函数的情况下,从优化算法的角度设计网络结构。 这些方法在优化算法的角度设计网络结构时,从优化算法的角度设计网络结构。
现今有经典神经网络架构设计大多忽略了网络的万有逼近性——这是神经网络具备强大性能的关键因素之一。因此,这些设计方法在一定程度上失去了网络的先验性能保障。尽管两层神经网络在宽度趋于无穷的时候已具有万有逼近性质 [3],在实际中,我们通常只能考虑有限宽度的网络结构,这方面的表现分析的结果十分有限。实际上,启发性的人工设计,还是黑匣性质的神经网络架构搜索,都很难在网络设计中考虑万有逼近性质。基于优化的神经网络设计虽然相对更具解释性,但其通常需要一个明显的目标函数,这使得设计的网络结构种类有限,限制了其应用范围。如何系统性地设计工具有万有逼近性质的神经网络架构,仍然是一个重要的问题。
北京大学林宙辰教授团队提出了一种基于优化算法设计工具的神经网络架构,该方法通过将基于梯度的一阶优化算法与基于哈希的二阶优化算法相结合,提高了训练速度和收敛性能,并且增强了神经网络的鲁棒性保障。该神经网络模块也可用于现有基于模块化的网络设计方法,并且不断提高了模型的表现。最近,他们通过分析神经网络微分方程(NODE)的逼近性质,证明了跨层连接的神经网络具有万有近似性质,并利用提出的框架设计了ConvNext、ViT等变种网络,取得了超越baseline的结果。该论文被人工智能顶刊TPAMI接收。

- 论文:Designing Universally-Approximating Deep Neural Networks: A First-Order Optimization Approach
- 论文地址:https://ieeexplore.ieee.org/document/10477580
方法简介
传统的基于优化的神经网络设计方法常常从一个具有显式表达式的目标函数出发,采用特定的优化算法进行求解,再将优化结果映射为神经网络结构,例如著名的 LISTA-NN 就是利用 LISTA 算法求解 LASSO 问题所得到的显式表达式,将优化结果转化为神经网络结构 [4]。这种方法对于目标函数的显式表达式有着很强的依赖性,因此所得到的网络结构只能针对目标函数的显式表达式进行优化,存在着设计出不符合实际情况的假设的风险。 一些研究者尝试通过自定义目标函数,再利用算法展开等方法设计网络结构,但他们也需要如权重重绑定等实际情况下不一定符合假设的假设。因此,一些研究者提出使用基于神经网络的进化算法进行网络架构搜索,来获取更加合理的网络结构。
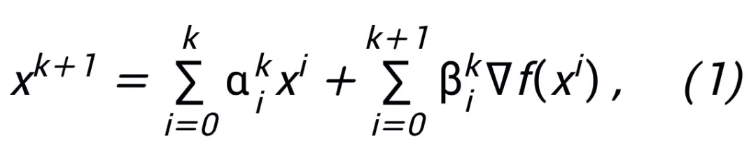
网络架构设计方案的更新格式应遵循从一阶优化算法到更近点算法的思路,进行逐步优化。例如,可以将欧拉角算法改为四元数算法,或者采用更加高效的迭代算法来近似求解。更新格式应考虑增加计算精度和提高运行效率。

其中
、
表示第 k 步更新时的(步长)系数,再将梯度项替换为神经网络中的可学习模块 T,即可得到 L 层神经网络的骨架:

整体方法框架见图 1。

图 1 网络设计图示
论文提出的方法可以启发设计 ResNet、DenseNet 等经典网络,并且解决了传统基于优化设计网络架构的方法局限于特定目标函数的问题。
模块选取与架构细节
该方法所设计的网络模块 T 只要求有包含两层网络结构,即
,作为其子结构,即可保证所设计的网络具有万有逼近性质,其中所表达的层的宽度是有限的(即不随逼近精度的提高而增长),整个网络的万有逼近性质不是靠加宽
的层来获得的。模块 T 可以是 ResNet 中广泛运用的 pre-activation 块,也可以是 Transformer 中的注意力 + 前馈层的结构。T 中的激活函数可以是 ReLU、GeLU、Sigmoid 等常用激活函数。还可以根据具体任务在中添加对应的归一化层。另外,
时,设计的网络是隐式网络 [5],可以用不动点迭代的方法逼近隐格式,或采用隐式微分(implicit differentiation)的方法求解梯度进行更新。
通过等价表示设计更多网络
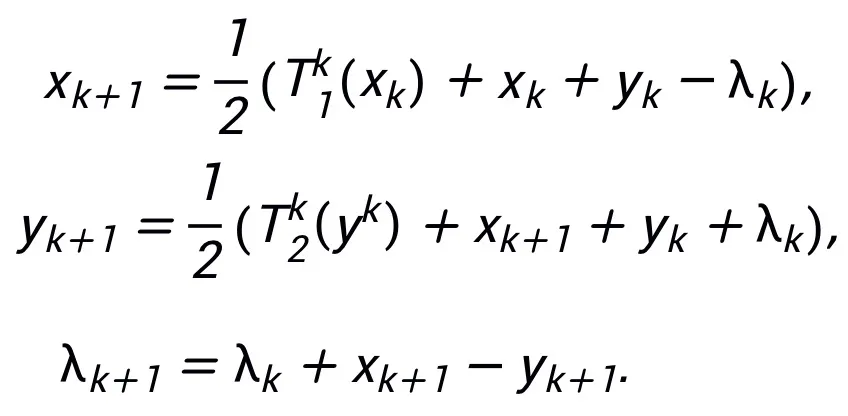
该方法不要求同一种算法只能对应一种结构,相反,该方法可以利用优化问题的等价表示设计更多的网络架构,体现其灵活性。例如,线性化交替方向乘子法通常用于求解约束优化问题:
通过令
即可得到一种可启发网络的更新迭代格式:

其启发的网络结构可见图 2。

图 2 线性化交替方向乘子法启发的网络结构
启发的网络具有万有逼近性质
对该方法设计的网络架构,可以证明,在模块满足此前条件以及优化算法(在一般情况下)稳定、收敛的条件下,任意一阶优化算法启发的神经网络在高维连续函数空间具有万有逼近性质,并给出了逼近速度。论文首次在有限宽度设定下证明了具有一般跨层连接的神经网络的万有逼近性质(此前研究基本集中在 FCNN 和 ResNet,见表 1),论文主定理可简略叙述如下:
主定理(简略版):设
A 是一个梯度型一阶优化算法。若算法 A 具有公式 (1) 中的更新格式,且满足收敛性条件(优化算法的常用步长选取均满足收敛性条件。若在启发网络中均为可学习的,则可以不需要该条件),则由算法启发的神经网络:

在连续(向量值)函数空间
以及范数
下具有万有逼近性质,其中可学习模块 T 只要有包含两层形如
的结构(σ 可以是常用的激活函数)作为其子结构都可以。
常用的 T 的结构如:
1)卷积网络中,pre-activation 块:BN-ReLU-Conv-BN-ReLU-Conv (z),
2)Transformer 中:Attn (z) + MLP (z+Attn (z)).
主定理的证明利用了 NODE 的万有逼近性质以及线性多步方法的收敛性质,核心是证明优化算法启发设计的网络结构恰对应一种收敛的线性多步方法对连续的 NODE 的离散化,从而启发的网络 “继承” 了 NODE 的逼近能力。在证明中,论文还给出了 NODE 逼近 d 维空间连续函数的逼近速度,解决了此前论文 [6] 的一个遗留问题。

表 1 此前万有逼近性质的研究基本集中在 FCNN 和 ResNet
实验结果
论文利用所提出的网络架构设计框架设计了 8 种显式网络和 3 种隐式网络(称为 OptDNN),网络信息见表 2,并在嵌套环分离、函数逼近和图像分类等问题上进行了实验。论文还以 ResNet, DenseNet, ConvNext 以及 ViT 为 baseline,利用所提出的方法设计了改进的 OptDNN,并在图像分类的问题上进行实验,考虑准确率和 FLOPs 两个指标。

表 2 所设计网络的有关信息
首先,OptDNN 在嵌套环分离和函数逼近两个问题上进行实验,以验证其万有逼近性质。在函数逼近问题中,分别考虑了逼近 parity function 和 Talgarsky function,前者可表示为二分类问题,后者则是回归问题,这两个问题都是浅层网络难以逼近的问题。OptDNN 在嵌套环分离的实验结果如图 3 所示,在函数逼近的实验结果如图 3 所示,OptDNN 不仅取得了很好的分离 / 逼近结果,而且比作为 baseline 的 ResNet 取得了更大的分类间隔和更小的回归误差,足以验证 OptDNN 的万有逼近性质。

图 3 OptNN 逼近 parity function

图 4 OptNN 逼近 Talgarsky function
然后,OptDNN 分别在宽 - 浅和窄 - 深两种设定下在 CIFAR 数据集上进行了图像分类任务的实验,结果见表 3 与 4。实验均在较强的数据增强设定下进行,可以看出,一些 OptDNN 在相同甚至更小的 FLOPs 开销下取得了比 ResNet 更小的错误率。论文还在 ResNet 和 DenseNet 设定下进行了实验,也取得了类似的实验结果。

表 3 OptDNN 在宽 - 浅设定下的实验结果

表 4 OptDNN 在窄 - 深设定下的实验结果
论文进一步选取了此前表现较好的 OptDNN-APG2 网络,进一步在 ConvNext 和 ViT 的设定下在 ImageNet 数据集上进行了实验,OptDNN-APG2 的网络结构见图 5,实验结果表 5、6。OptDNN-APG2 取得了超过等宽 ConvNext、ViT 的准确率,进一步验证了该架构设计方法的可靠性。

图 5 OptDNN-APG2 的网络结构

表 5 OptDNN-APG2 在 ImageNet 上的性能比较

表 6 OptDNN-APG2 与等宽(isotropic)的 ConvNeXt 和 ViT 的性能比较
最后,论文依照 Proximal Gradient Descent 和 FISTA 等算法设计了 3 个隐式网络,并在 CIFAR 数据集上和显式的 ResNet 以及一些常用的隐式网络进行了比较,实验结果见表 7。三个隐式网络均取得了与先进隐式网络相当的实验结果,也说明了方法的灵活性。

表 7 隐式网络的性能比较
总结
神经网络架构设计是深度学习中的核心问题之一。论文提出了一个利用一阶优化算法设计具有万有逼近性质保障的神经网络架构的统一框架,拓展了基于优化设计网络架构范式的方法。该方法可以与现有大部分聚焦网络模块的架构设计方法相结合,可以在几乎不增加计算量的情况下设计出高效的模型。在理论方面,论文证明了收敛的优化算法诱导的网路架构在温和条件下即具有万有逼近性质,并弥合了 NODE 和具有一般跨层连接网络的表示能力。该方法还有望与 NAS、 SNN 架构设计等领域结合,以设计更高效的网络架构。
今天关于《一阶优化算法启发,北大林宙辰团队提出具有万有逼近性质的神经网络架构的设计方法》的内容就介绍到这里了,是不是学起来一目了然!想要了解更多关于模型,数据的内容请关注golang学习网公众号!
将Go项目上传到GitHub存储库
- 上一篇
- 将Go项目上传到GitHub存储库
- 下一篇
- 首发价1600元!永诺33mm F1.4 APS-C自动对焦镜头上架
-
- 科技周边 · 人工智能 | 9分钟前 |
- AI卡皮巴拉的算力要求是什么 部署AI卡皮巴拉需要什么配置
- 345浏览 收藏
-
- 科技周边 · 人工智能 | 24分钟前 |
- 电脑桌面端Minimax插件:随时随地呼唤AI的快捷方案
- 311浏览 收藏
-
- 科技周边 · 人工智能 | 28分钟前 |
- 腾讯元宝怎么生成摘要_元宝上传文档自动提取要点
- 261浏览 收藏
-
- 科技周边 · 人工智能 | 36分钟前 |
- DeepSeek如何写单元测试Mock对象_DeepSeek模拟依赖项测试技巧
- 367浏览 收藏
-
- 科技周边 · 人工智能 | 42分钟前 |
- MuleRun如何连接Trello看板_MuleRun项目管理同步配置
- 115浏览 收藏
-
- 科技周边 · 人工智能 | 42分钟前 | Seedance 2.0
- 小白怎么写出爆款漫剧脚本?_Seedance 2.0内置编剧功能用法【技巧】
- 201浏览 收藏
-
- 科技周边 · 人工智能 | 51分钟前 |
- Mulerun如何进行歌词翻译 Mulerun多语言翻译方法
- 319浏览 收藏
-
- 科技周边 · 人工智能 | 1小时前 |
- 如何利用Perplexity生成符合规范的Git提交记录_提供代码变更对比描述
- 410浏览 收藏
-
- 科技周边 · 人工智能 | 1小时前 |
- Perplexity Pro版是否支持本地存储搜索数据_通过导出功能手动保存至本地数据库
- 262浏览 收藏
-
- 科技周边 · 人工智能 | 1小时前 |
- 智行ai抢票能否抢下铺票_智行ai抢票下铺优先设置与成功率提升【技巧】
- 442浏览 收藏
-
- 科技周边 · 人工智能 | 1小时前 |
- 如何利用WorkBuddy实现大文件分片上传_断点续传逻辑生成
- 223浏览 收藏
-
- 科技周边 · 人工智能 | 2小时前 |
- 结果导向:构建一套具备故障自愈能力的 Gemini 多模型并发调用系统
- 290浏览 收藏
-
- 前端进阶之JavaScript设计模式
- 设计模式是开发人员在软件开发过程中面临一般问题时的解决方案,代表了最佳的实践。本课程的主打内容包括JS常见设计模式以及具体应用场景,打造一站式知识长龙服务,适合有JS基础的同学学习。
- 543次学习
-
- GO语言核心编程课程
- 本课程采用真实案例,全面具体可落地,从理论到实践,一步一步将GO核心编程技术、编程思想、底层实现融会贯通,使学习者贴近时代脉搏,做IT互联网时代的弄潮儿。
- 516次学习
-
- 简单聊聊mysql8与网络通信
- 如有问题加微信:Le-studyg;在课程中,我们将首先介绍MySQL8的新特性,包括性能优化、安全增强、新数据类型等,帮助学生快速熟悉MySQL8的最新功能。接着,我们将深入解析MySQL的网络通信机制,包括协议、连接管理、数据传输等,让
- 500次学习
-
- JavaScript正则表达式基础与实战
- 在任何一门编程语言中,正则表达式,都是一项重要的知识,它提供了高效的字符串匹配与捕获机制,可以极大的简化程序设计。
- 487次学习
-
- 从零制作响应式网站—Grid布局
- 本系列教程将展示从零制作一个假想的网络科技公司官网,分为导航,轮播,关于我们,成功案例,服务流程,团队介绍,数据部分,公司动态,底部信息等内容区块。网站整体采用CSSGrid布局,支持响应式,有流畅过渡和展现动画。
- 485次学习
-
- ChatExcel酷表
- ChatExcel酷表是由北京大学团队打造的Excel聊天机器人,用自然语言操控表格,简化数据处理,告别繁琐操作,提升工作效率!适用于学生、上班族及政府人员。
- 4450次使用
-
- Any绘本
- 探索Any绘本(anypicturebook.com/zh),一款开源免费的AI绘本创作工具,基于Google Gemini与Flux AI模型,让您轻松创作个性化绘本。适用于家庭、教育、创作等多种场景,零门槛,高自由度,技术透明,本地可控。
- 4803次使用
-
- 可赞AI
- 可赞AI,AI驱动的办公可视化智能工具,助您轻松实现文本与可视化元素高效转化。无论是智能文档生成、多格式文本解析,还是一键生成专业图表、脑图、知识卡片,可赞AI都能让信息处理更清晰高效。覆盖数据汇报、会议纪要、内容营销等全场景,大幅提升办公效率,降低专业门槛,是您提升工作效率的得力助手。
- 4683次使用
-
- 星月写作
- 星月写作是国内首款聚焦中文网络小说创作的AI辅助工具,解决网文作者从构思到变现的全流程痛点。AI扫榜、专属模板、全链路适配,助力新人快速上手,资深作者效率倍增。
- 6473次使用
-
- MagicLight
- MagicLight.ai是全球首款叙事驱动型AI动画视频创作平台,专注于解决从故事想法到完整动画的全流程痛点。它通过自研AI模型,保障角色、风格、场景高度一致性,让零动画经验者也能高效产出专业级叙事内容。广泛适用于独立创作者、动画工作室、教育机构及企业营销,助您轻松实现创意落地与商业化。
- 5055次使用
-
- GPT-4王者加冕!读图做题性能炸天,凭自己就能考上斯坦福
- 2023-04-25 501浏览
-
- 单块V100训练模型提速72倍!尤洋团队新成果获AAAI 2023杰出论文奖
- 2023-04-24 501浏览
-
- ChatGPT 真的会接管世界吗?
- 2023-04-13 501浏览
-
- VR的终极形态是「假眼」?Neuralink前联合创始人掏出新产品:科学之眼!
- 2023-04-30 501浏览
-
- 实现实时制造可视性优势有哪些?
- 2023-04-15 501浏览

