CVPR 2024 | 基于MoE的通用图像融合模型,添加2.8%参数完成多项任务
来源:机器之心
2024-05-01 13:45:11
0浏览
收藏
一分耕耘,一分收获!既然都打开这篇《CVPR 2024 | 基于MoE的通用图像融合模型,添加2.8%参数完成多项任务》,就坚持看下去,学下去吧!本文主要会给大家讲到等等知识点,如果大家对本文有好的建议或者看到有不足之处,非常欢迎大家积极提出!在后续文章我会继续更新科技周边相关的内容,希望对大家都有所帮助!

AIxiv专栏是本站发布学术、技术内容的栏目。过去数年,本站AIxiv专栏接收报道了2000多篇内容,覆盖全球各大高校与企业的顶级实验室,有效促进了学术交流与传播。如果您有优秀的工作想要分享,欢迎投稿或者联系报道。投稿邮箱:liyazhou@jiqizhixin.com;zhaoyunfeng@jiqizhixin.com。

论文链接:https://arxiv.org/abs/2403.12494 代码链接:https://github.com/YangSun22/TC-MoA 论文题目:Task-Customized Mixture of Adapters for General Image Fusion

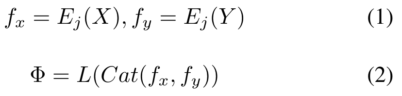
我们提出了一个统一的通用图像融合模型,提供了一种新的任务定制混合适配器(TC-MoA)用于自适应多源图像融合(受益于动态聚合各自模式的有效信息)。 我们为适配器提出了一种互信息正则化方法,这使得我们的模型能够更准确地识别不同源图像的主导强度。 据我们所知,我们首次提出了一种基于 MoE 的灵活适配器。通过只添加 2.8% 的可学习参数,我们的模型可以处理许多融合任务。大量的实验证明了我们的竞争方法的优势,同时显示了显著的可控性和泛化性。
,网络整合来自不同源的互补信息,获得融合图像
。我们将源图像输入 ViT 网络,并通过 patch 编码层获得源图像的 Token。ViT 由一个用于特征提取的编码器和一个用于图像重建的解码器组成,这两者都是由 Transformer 块组成的。
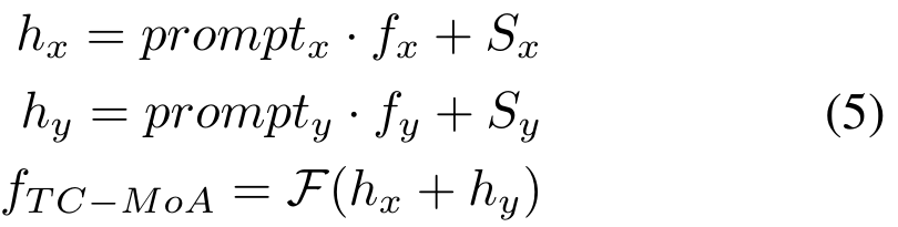
个 Transformer 块插入一个 TC-MoA。网络通过这些 TC-MoA 逐步调制融合的结果。每个 TC-MoA 由一个特定于任务的路由器银行
,一个任务共享适配器银行
和一个提示融合层F组成。TC-MoA 包括两个主要阶段:提示生成和提示驱动的融合。为了便于表达,我们以 VIF 为例,假设输入来自 VIF 数据集,并使用G来表示
。
,并提取提示生成特征定义为
。我们将
作为多源 Token 对的特征表示拼接起来。这允许来自不同来源的 Token 在后续的网络中交换信息。然而,直接计算高维的拼接特征会带来大量不必要的参数。因此,我们使用
进行特征降维,得到处理后的多源特征
,如下:


,然后经过融合层 F 获得融合特征,过程如下:
是一个超参数):








以上就是《CVPR 2024 | 基于MoE的通用图像融合模型,添加2.8%参数完成多项任务》的详细内容,更多关于工程,图像融合的资料请关注golang学习网公众号!
版本声明
本文转载于:机器之心 如有侵犯,请联系study_golang@163.com删除
继三星、京东方后,华星光电有望年内宣布 8.6 代 OLED 生产线计划
- 上一篇
- 继三星、京东方后,华星光电有望年内宣布 8.6 代 OLED 生产线计划
- 下一篇
- 如何在golang中手动释放内存
查看更多
最新文章
-
- 科技周边 · 人工智能 | 5小时前 |
- Figma快速实现BEM命名规范,AI脚本自动重命名
- 407浏览 收藏
-
- 科技周边 · 人工智能 | 5小时前 | Hermes Agent HermesAgent
- Hermes Agent如何调用搜索功能
- 422浏览 收藏
-
- 科技周边 · 人工智能 | 5小时前 | 雾象Fogsight
- 雾象Fogsight权限设置教程【配置】
- 205浏览 收藏
-
- 科技周边 · 人工智能 | 5小时前 |
- AI绘画软件推荐:Midjourney入门教程大全
- 258浏览 收藏
-
- 科技周边 · 人工智能 | 5小时前 | CodeGeeX
- CodeGeeX最新版官网入口链接
- 458浏览 收藏
-
- 科技周边 · 人工智能 | 6小时前 |
- Perplexity绑卡地址验证失败解决方法
- 365浏览 收藏
-
- 科技周边 · 人工智能 | 6小时前 |
- Capybara开发者文档详解与官方指南
- 462浏览 收藏
-
- 科技周边 · 人工智能 | 6小时前 | 豆包AI 豆包AI助手
- 豆包AI接口收费详解及价格指南
- 447浏览 收藏
-
- 科技周边 · 人工智能 | 6小时前 |
- 豆包API收费吗\_调用配额与计费详解
- 271浏览 收藏
-
- 科技周边 · 人工智能 | 6小时前 | CanvaAI Canva可画
- Canva可画手机设计秒开入口分享
- 316浏览 收藏
-
- 科技周边 · 人工智能 | 6小时前 |
- Capybara开源模型下载与使用教程
- 317浏览 收藏
-
- 科技周边 · 人工智能 | 6小时前 |
- Figma UI3对齐按钮在哪找?
- 300浏览 收藏
查看更多
课程推荐
-
- 前端进阶之JavaScript设计模式
- 设计模式是开发人员在软件开发过程中面临一般问题时的解决方案,代表了最佳的实践。本课程的主打内容包括JS常见设计模式以及具体应用场景,打造一站式知识长龙服务,适合有JS基础的同学学习。
- 543次学习
-
- GO语言核心编程课程
- 本课程采用真实案例,全面具体可落地,从理论到实践,一步一步将GO核心编程技术、编程思想、底层实现融会贯通,使学习者贴近时代脉搏,做IT互联网时代的弄潮儿。
- 516次学习
-
- 简单聊聊mysql8与网络通信
- 如有问题加微信:Le-studyg;在课程中,我们将首先介绍MySQL8的新特性,包括性能优化、安全增强、新数据类型等,帮助学生快速熟悉MySQL8的最新功能。接着,我们将深入解析MySQL的网络通信机制,包括协议、连接管理、数据传输等,让
- 500次学习
-
- JavaScript正则表达式基础与实战
- 在任何一门编程语言中,正则表达式,都是一项重要的知识,它提供了高效的字符串匹配与捕获机制,可以极大的简化程序设计。
- 487次学习
-
- 从零制作响应式网站—Grid布局
- 本系列教程将展示从零制作一个假想的网络科技公司官网,分为导航,轮播,关于我们,成功案例,服务流程,团队介绍,数据部分,公司动态,底部信息等内容区块。网站整体采用CSSGrid布局,支持响应式,有流畅过渡和展现动画。
- 485次学习
查看更多
AI推荐
-
- ChatExcel酷表
- ChatExcel酷表是由北京大学团队打造的Excel聊天机器人,用自然语言操控表格,简化数据处理,告别繁琐操作,提升工作效率!适用于学生、上班族及政府人员。
- 4521次使用
-
- Any绘本
- 探索Any绘本(anypicturebook.com/zh),一款开源免费的AI绘本创作工具,基于Google Gemini与Flux AI模型,让您轻松创作个性化绘本。适用于家庭、教育、创作等多种场景,零门槛,高自由度,技术透明,本地可控。
- 4874次使用
-
- 可赞AI
- 可赞AI,AI驱动的办公可视化智能工具,助您轻松实现文本与可视化元素高效转化。无论是智能文档生成、多格式文本解析,还是一键生成专业图表、脑图、知识卡片,可赞AI都能让信息处理更清晰高效。覆盖数据汇报、会议纪要、内容营销等全场景,大幅提升办公效率,降低专业门槛,是您提升工作效率的得力助手。
- 4747次使用
-
- 星月写作
- 星月写作是国内首款聚焦中文网络小说创作的AI辅助工具,解决网文作者从构思到变现的全流程痛点。AI扫榜、专属模板、全链路适配,助力新人快速上手,资深作者效率倍增。
- 6611次使用
-
- MagicLight
- MagicLight.ai是全球首款叙事驱动型AI动画视频创作平台,专注于解决从故事想法到完整动画的全流程痛点。它通过自研AI模型,保障角色、风格、场景高度一致性,让零动画经验者也能高效产出专业级叙事内容。广泛适用于独立创作者、动画工作室、教育机构及企业营销,助您轻松实现创意落地与商业化。
- 5110次使用
查看更多
相关文章
-
- GPT-4王者加冕!读图做题性能炸天,凭自己就能考上斯坦福
- 2023-04-25 501浏览
-
- 单块V100训练模型提速72倍!尤洋团队新成果获AAAI 2023杰出论文奖
- 2023-04-24 501浏览
-
- ChatGPT 真的会接管世界吗?
- 2023-04-13 501浏览
-
- VR的终极形态是「假眼」?Neuralink前联合创始人掏出新产品:科学之眼!
- 2023-04-30 501浏览
-
- 实现实时制造可视性优势有哪些?
- 2023-04-15 501浏览

