小模型性能饱和、表现不佳,根源是因为Softmax?
亲爱的编程学习爱好者,如果你点开了这篇文章,说明你对《小模型性能饱和、表现不佳,根源是因为Softmax?》很感兴趣。本篇文章就来给大家详细解析一下,主要介绍一下,希望所有认真读完的童鞋们,都有实质性的提高。
小语言模型的出现是为弥补大语言模型的训练、推理等成本昂贵的缺点,但其自身也存在训练到某个阶段后性能下降的事实 (饱和现象),那么这个现象的原因是什么?是否可以克服并利用它去提升小语言模型的性能?
语言建模领域的最新进展在于在极大规模的网络文本语料库上预训练高参数化的神经网络。在实践中,使用这样的模型进行训练和推断可能会产生本高昂,这促使人们使用较小的替代模型。然而,已经观察到较小的模型可能会出现饱和和现象,表现为在训练的某个高级阶段能力下降并趋于稳定。
最近的一篇论文发现,这种饱和和现象可以通过较小模型的隐藉维度与目标上下文概率分布的高秩之间的不匹配来解释。这种不匹配通过采用名为softmax瓶颈的模型中使用的线性预测头的性能来影响了这些模型中使用的线性预测头的性能。

论文链接:https://arxiv.org/pdf/2404.07647.pdf
本文在不同设置下相量了 softmax 瓶颈的影响,并发现基于小于 1000 个隐藏维度的模型往往在预训练的后期采用退化的潜在表征,从而导致评估性能降低。
简介
表征退化问题是影响于文本数据的自监督学习方法等多种模式的常见现象。对语言模型的中间表征进行观察揭示了它们的低角度可变性(或各向异性),或者在训练过程中出现的异常维度。然而,这些观察大多是针对维度与 BERT 或 GPT-2 等系列模型相当的相对较小规模模型进行的。
这些模型通常由一个神经网络 f_θ 组成,该神经网络接受 token 序列:

并在 R^d 中生成一个相对低维的上下文表征,其中 d 是模型的隐藏维度。然后它们依赖于一个语言建模头,该头部产生上下文 token 概率的对数。语言建模头的常见选择是一个线性层,其参数为 W ∈ R^(V×d),其中 V 是可能 token 的数量。因此得到的下一个 token 概率分布是
其中 σ 是 softmax 函数。
在语言建模领域,当前的趋势在于扩展引入了 GPT-2 的生成预训练方法,这意味着在巨大的网络文本语料库上训练由数十亿参数组成的神经模型。然而,训练和应用这些高参数化模型会引发能源和硬件相关的问题,这需要寻求通过较小的模型实现类似性能水平的方法。
然而,对 Pythia 模型套件的评估表明,将小型模型训练在非常大的语料库上可能会导致饱和,表现为在预训练后期性能下降。本文通过表征退化的视角探讨了这种饱和现象,并发现这两种现象之间存在着强烈的相关性,同时进一步证明了表征退化在小型模型的语言建模头中发生,并在理论和实证上展示了线性语言建模头如何成为基于小隐藏维度的架构的性能瓶颈。
语言模型饱和现象
本文首先验证了确实可以观察和量化 Pythia 检查点的性能饱和,因为它们是一系列模型尺寸的唯一发布的中间检查点。本文测量了从它们的预训练数据集(即 The Pile)中随机抽取的 5 万个 token 的 Pythia 检查点的交叉熵。
在图 1a 中可以清楚地看到,连 4.1 亿参数的模型都遇到了饱和现象,表现为在高级训练阶段域内损失的增加。

在图 1b 中,本文根据 Hoffmann et al. (2022) 的方法,对从 4.1 亿参数开始的模型的数据点进行了拟合,只优化模型相关的常数(A 和 α),同时重用所有其他值(B = 410.7,β = 0.28,E = 1.69)。这里回顾了 Hoffmann et al. (2022) 给出的参数计数 N 和 token 计数 T 之间的关系:

本文发现最佳参数为 A = 119.09 和 α = 0.246。作者展示了与最佳和最终检查点相对应的 token 计数的拟合曲线。可以观察到,最终检查点的性能平均低于外推值约 8%。损失最小(最佳)检查点由于学习率冷却不完全,预计会低于外推法,但其表现仅低于外推法约 4%。
在用于语言模型评估工具(LM Evaluation Harness)评估的数据集中,也观察到了类似的性能饱和现象,如表 1 所示。

性能饱和是秩饱和(Rank Saturation)
规模各向异性
各向异性是是在各种小型语言模型中观察到的一种常见的表征退化形式,它包括特定层中表征分布的角度可变性降低。之前的研究(Ethayarajh, 2019; Godey et al., 2024)注意到,小型变形语言模型的几乎所有层都是各向异性的。衡量向量表征集合 H 中各向异性的常用方法是平均余弦相似度:

然而,目前尚不清楚各向异性是否会影响具有超过 10 亿参数的模型。为了解决这个问题,本文计算了一系列模型中间表征在层间的平均余弦相似度;即 GPT-2,OPT,Pythia 和 Gemma。本文使用了 The Pile 的子样本,因为假设该数据集的领域包括或匹配这些套件中使用的预训练数据集的领域。
在图 2 中,可以观察到,大多数 Transformer 模型的大多数层在某种程度上都是各向异性的,而不论其规模如何。然而,在最后一层中似乎存在一个二分现象,其中模型要么几乎是各向同性的,要么是高度各向异性的。本文注意到这种二分现象与 Pythia 套件的饱和现象之一相一致,其中只有包含 1.6 亿个或更少参数的模型受到最后一层各向异性的影响。

本文研究了 Pythia 套件中各向异性的训练动态,并将其与图 3 中的饱和现象进行比较。

图 3 清晰地展示了性能饱和现象的出现与模型最后一层表征中各向异性出现之间的明显相关性。它还显示了在训练过程中,各向异性在饱和点附近会突然增加。在这里观察到,在特定的领域内语料库中,模型在饱和时迅速失去性能,并且似乎永远无法完全从这种爆炸中恢复过来。
奇异值饱和
平均余弦相似度是衡量分布均匀性的有价值的指标,但包含其他指标可以帮助更好地捕捉某些流形的复杂性。此外,它只关注语言模型的输出嵌入,而不关注它们的权重。本节通过研究语言建模头的奇异值分布来扩展本文的分析,以将实证观察与本文的理论发现联系起来。
图 4 展示了沿训练过程中最终预测层权重 W 的奇异值分布:

图 4 揭示了一种特定的频谱饱和模式,它与性能饱和现象大致同时发生。图中显示,奇异值分布在训练过程中逐渐变平,几乎达到均匀性,然后突然演变为尖峰分布,最大奇异值相对其他分布较高。
为了更准确地量化这种行为,本文使用奇异熵度量,计算为归一化奇异值分布与均匀分布之间的 Kullback-Leibler 散度。
图 5 显示了使用少于 4.1 亿个参数的模型与使用较大参数的模型的奇异分布演变方式不同。小型模型的头部看到它们的奇异值分布逐渐变得更加均匀,直到它们突然退化为止,这再次与语言模型性能下降相关。较大模型的奇异值分布趋于更稳定,并且在整个训练过程中没有显示出明显的单调模式。

Softmax 瓶颈与语言维度
自然语言的固有维度
直观地说,上文中观察到的奇异值分布饱和现象只适用于较小的模型,这就对 LM 头的优化所涉及的维度提出了质疑。本节建议根据经验测量 LM 头的秩的临界值,并估计该头的输出应该匹配的上下文概率分布的维度。
为了经验性地测量线性头部秩的影响,本文提出在预训练的上下文表征上训练秩受限的头部,这些上下文表征来自高参数化语言模型。为了控制最大秩 r,考虑形式为 W = AB ∈ R^(V×d) 的头部,其中 A ∈ R^(V×r) 和 B ∈ R^(r×d) 的系数从 N(0,1)中抽取(d 是模型的隐藏维度)。这种 W 矩阵的秩受参数 r ∈ [1, d] 的限制对一系列值进行了扫描。
通过冻结语言模型,并在大约 1.5 亿 token 上训练秩受限的头部,同时调整学习速率以适应可训练参数的数量。
在图 6 中可以观察到,无论模型大小如何,当语言建模头 W 的秩低于 1000 时,困惑度开始明显下降。这暗示了对于具有更大隐藏维度的模型来说,头部不是主要的性能瓶颈,但对于具有较小隐藏维度的模型来说,它可能会独立于输出表征的质量而损害性能。

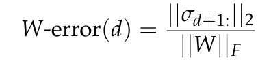
另一个有趣的因素是估计数据本身固有的维度。为了避免与特定归纳偏差相关的可能影响,本文在覆盖范围各异的几个数据集上训练了朴素的 5-gram 语言模型(IMDb,Wikitext,以及 The Pile),使用了两种不同词汇量的分词器(Llama-2 为 30k tokens,Pythia 为 50k tokens)。给定 C 个观察到的 5-gram,本文考虑矩阵 W ∈ R^(C×V),其中每行是给定 4 个 token 上可能 token 的概率分布,并计算它们的奇异值分布,如 Terashima et al. (2003) 所述。
图 7 报告了 W-error,根据 Eckart-Young-Mirsky 定理预测的秩为 d 的矩阵 W 的最小近似误差(见引理 5.2),并将其归一化为 W 的 Frobenius 范数。


理论瓶颈
同时,W 的估计秩与隐藏维度的常规数量级相比也不可忽视。这里将从理论角度分析理想线性语言建模头的维度与性能之间的联系。
本节旨在确定上下文分布固有维度与可归因于语言模型输出表征的较低维度而产生的性能瓶颈之间的正式联系。为此构想了一个在理想上下文表征上优化的语言建模头,探讨了其谱特性与在相同表征上训练低秩头时产生的性能差距之间的关系。
更多研究细节,可查看原论文。
今天关于《小模型性能饱和、表现不佳,根源是因为Softmax?》的内容介绍就到此结束,如果有什么疑问或者建议,可以在golang学习网公众号下多多回复交流;文中若有不正之处,也希望回复留言以告知!
CVPR 2024 Highlight | 基于单曝光压缩成像,不依赖生成模型也能从单张图像中重建三维场景
- 上一篇
- CVPR 2024 Highlight | 基于单曝光压缩成像,不依赖生成模型也能从单张图像中重建三维场景
- 下一篇
- PHP 数组键值互换:性能对比及最优方案详解
-
- 科技周边 · 人工智能 | 10分钟前 |
- 怎么让ChatGPT进行角色扮演 ChatGPT超强角色扮演指令玩法【分享】
- 264浏览 收藏
-
- 科技周边 · 人工智能 | 14分钟前 | MuleRun
- MuleRun怎么启用通知_MuleRun任务完成提醒设置方法
- 220浏览 收藏
-
- 科技周边 · 人工智能 | 23分钟前 |
- 为什么说WorkBuddy是AI驱动的数字化转型利器?如何落地?
- 382浏览 收藏
-
- 科技周边 · 人工智能 | 32分钟前 |
- 寒武纪成功适配 DeepSeek-V4,推动 AI 模型高效运行
- 487浏览 收藏
-
- 科技周边 · 人工智能 | 38分钟前 |
- 为什么Perplexity在企业内网中解析域名失败_检查企业防火墙对Perplexity域名的拦截情况
- 272浏览 收藏
-
- 科技周边 · 人工智能 | 50分钟前 | CanvaAI Canva可画
- Canva可画新手入门全流程教学_零基础快速上手设计指南
- 166浏览 收藏
-
- 科技周边 · 人工智能 | 1小时前 |
- AI写作怎么生成早安晚安语录_写朋友圈早安文案的AI提示词怎么写
- 314浏览 收藏
-
- 科技周边 · 人工智能 | 1小时前 |
- AI做图软件有哪些?设计师必备的AI图像处理工具盘点
- 131浏览 收藏
-
- 科技周边 · 人工智能 | 1小时前 |
- 怎样给DeepSeek V4微信机器人加支付功能_会员制变现【变现】
- 447浏览 收藏
-
- 科技周边 · 人工智能 | 1小时前 |
- 千问AI图片分析功能怎么用_通义千问OCR识图与内容总结教程【攻略】
- 104浏览 收藏
-
- 科技周边 · 人工智能 | 1小时前 |
- 小荷AI医生是免费的吗_小荷AI医生免费与付费服务项目对比
- 144浏览 收藏
-
- 科技周边 · 人工智能 | 1小时前 | Hermes Agent HermesAgent
- HermesAgent数据挖掘:Scikit-learn集成实战
- 123浏览 收藏
-
- 前端进阶之JavaScript设计模式
- 设计模式是开发人员在软件开发过程中面临一般问题时的解决方案,代表了最佳的实践。本课程的主打内容包括JS常见设计模式以及具体应用场景,打造一站式知识长龙服务,适合有JS基础的同学学习。
- 543次学习
-
- GO语言核心编程课程
- 本课程采用真实案例,全面具体可落地,从理论到实践,一步一步将GO核心编程技术、编程思想、底层实现融会贯通,使学习者贴近时代脉搏,做IT互联网时代的弄潮儿。
- 516次学习
-
- 简单聊聊mysql8与网络通信
- 如有问题加微信:Le-studyg;在课程中,我们将首先介绍MySQL8的新特性,包括性能优化、安全增强、新数据类型等,帮助学生快速熟悉MySQL8的最新功能。接着,我们将深入解析MySQL的网络通信机制,包括协议、连接管理、数据传输等,让
- 500次学习
-
- JavaScript正则表达式基础与实战
- 在任何一门编程语言中,正则表达式,都是一项重要的知识,它提供了高效的字符串匹配与捕获机制,可以极大的简化程序设计。
- 487次学习
-
- 从零制作响应式网站—Grid布局
- 本系列教程将展示从零制作一个假想的网络科技公司官网,分为导航,轮播,关于我们,成功案例,服务流程,团队介绍,数据部分,公司动态,底部信息等内容区块。网站整体采用CSSGrid布局,支持响应式,有流畅过渡和展现动画。
- 485次学习
-
- ChatExcel酷表
- ChatExcel酷表是由北京大学团队打造的Excel聊天机器人,用自然语言操控表格,简化数据处理,告别繁琐操作,提升工作效率!适用于学生、上班族及政府人员。
- 4462次使用
-
- Any绘本
- 探索Any绘本(anypicturebook.com/zh),一款开源免费的AI绘本创作工具,基于Google Gemini与Flux AI模型,让您轻松创作个性化绘本。适用于家庭、教育、创作等多种场景,零门槛,高自由度,技术透明,本地可控。
- 4810次使用
-
- 可赞AI
- 可赞AI,AI驱动的办公可视化智能工具,助您轻松实现文本与可视化元素高效转化。无论是智能文档生成、多格式文本解析,还是一键生成专业图表、脑图、知识卡片,可赞AI都能让信息处理更清晰高效。覆盖数据汇报、会议纪要、内容营销等全场景,大幅提升办公效率,降低专业门槛,是您提升工作效率的得力助手。
- 4690次使用
-
- 星月写作
- 星月写作是国内首款聚焦中文网络小说创作的AI辅助工具,解决网文作者从构思到变现的全流程痛点。AI扫榜、专属模板、全链路适配,助力新人快速上手,资深作者效率倍增。
- 6485次使用
-
- MagicLight
- MagicLight.ai是全球首款叙事驱动型AI动画视频创作平台,专注于解决从故事想法到完整动画的全流程痛点。它通过自研AI模型,保障角色、风格、场景高度一致性,让零动画经验者也能高效产出专业级叙事内容。广泛适用于独立创作者、动画工作室、教育机构及企业营销,助您轻松实现创意落地与商业化。
- 5060次使用
-
- GPT-4王者加冕!读图做题性能炸天,凭自己就能考上斯坦福
- 2023-04-25 501浏览
-
- 单块V100训练模型提速72倍!尤洋团队新成果获AAAI 2023杰出论文奖
- 2023-04-24 501浏览
-
- ChatGPT 真的会接管世界吗?
- 2023-04-13 501浏览
-
- VR的终极形态是「假眼」?Neuralink前联合创始人掏出新产品:科学之眼!
- 2023-04-30 501浏览
-
- 实现实时制造可视性优势有哪些?
- 2023-04-15 501浏览

