DriveWorld:一个预训练模型大幅提升检测+地图+跟踪+运动预测+Occ多个任务性能
欢迎各位小伙伴来到golang学习网,相聚于此都是缘哈哈哈!今天我给大家带来《DriveWorld:一个预训练模型大幅提升检测+地图+跟踪+运动预测+Occ多个任务性能》,这篇文章主要讲到等等知识,如果你对科技周边相关的知识非常感兴趣或者正在自学,都可以关注我,我会持续更新相关文章!当然,有什么建议也欢迎在评论留言提出!一起学习!
写在前面
自动驾驶技术近期因其较低的成本而引起了广泛关注,并且对于提取通用表达式以视觉为中心的自动驾驶技术近期因其较低的成本而引起了广泛关注,并且对于提取通用表达式以视觉为中心的自动驾驶技术近期因其较低的成本而引起了广泛关注,而预训练对于提取通用表达式以视觉为中心的重要。 然而,当前的视觉为中心的预训练通常依赖于2D到3D预训练任务,忽视了自动驾驶作为4D场景理解任务的时序特征。这里通过引入一个基于世界模型的自动驾驶4D表达学习框架"DriveWorld"来解决这一挑战,该框架能够够从多摄像头驱动视频中以时空方式进行预训练。具体来说,提出了一个动态记忆状态空间模型,它由一个动态记忆库模块组成,用于学习时空感知的潜在状态空间模型,并提供全面的场景上下文。此外,还引入了一个静态场景传播模块,用于学习空间感知的潜在场景上下文,并提供全面的场景上下文。此外,还引入了一个静态场景传播模块,用于学习空间感知的潜在场景上下文,并提供全面的场景上下文。这样,DriveWorld在各种自动驾驶任务上获得了令人鼓舞的结果。当使用OpenScene数据集进行预训练时,DriveWorld在各种自动驾驶任务上取得了令人鼓舞的结果。具体来说,DriveWorld在各种自动驾驶任务上取得了令人鼓舞的结果,并提高了mAP达到了7.5%的mAP,线地图中的IoU提高了3.0%,多目标跟踪中的AMOTA提高了5.0%,运动预测中的minADE降低了0.1m,占用预测中的IoU提高了3.0%,规划中的平均L2误差减少少于0.34m。
领域背景
自动驾驶是一项复杂的任务,它依赖于全面的4D场景理解。这要求获取一个精健的时间空表示,能够处理涉及感知、预测和规划的任务。由于自然场景的随机性、环境的部分可观察性以及下游任务的多样性,学习时空表示具有挑战性。预训练在从大量数据中获取通用表示方面起着关键作用,使得能够构建出包含共同知识的基础模型。然而,自动驾驶中时空表示学习的预训练研究仍然相对有限。
我们的目标是利用世界模型来处理以视觉为中心的自动驾驶预训练中的4D表示。世界模型在表示代理环境的时空知识方面表现出色。在强化学习中,DreamerV1、DreamerV2和DreamerV3利用世界模型将代理的经验封装在预测模型中,在预测模型中进行广泛行为学习。MILE利用3D几何作为归纳偏差,直接从专家演示的视频中学习细腻的潜存在空间,在CARLA模拟器中构建世界模型。ContextWM和SWIM利用丰富的野外视频对世界模型进行预训练,以增强下游任务的高效学习。最近,GAIA-1和DriveDreamer构建了生成功能的世界模型,利用视频、文本和动作输入,使用扩散模型创造逼真的驾驶场景。与上述关于世界模型的先进工作不同,本文的方法主要侧重于利用世界模型学习自动驾驶预训练中的4D表示。
驾驶是一项有关本质上涉及到不确定性的斗争。在模糊的自动驾驶场景中,存在两种类 型的不确定性:偶然的不确定性,源于世界的随机性;以及认知不确定性,源于不完美的知识或信息。如何利用过去的经验来预测可能的未来状态,并估计自动驾驶中缺失的世界状态信息仍然是一个未解决的问题。本文探索了通过世界模型进行4D预训练以处理偶然的不确定性和认知不确定性。具体来说,设计了记忆状态空间模型,从两个方面减少自动驾驶中的不确定性。首先,为了处理偶然的不确定性,我们提出了动态记忆库模块,用于学习时空感知的潜在在动态状态。其次,为了缓解认知不确定性,我们提出了静态场景传播模块,用于学习空间感知的潜在静态特征,以提供全面的场景上下文。此外,引入了任务提示(Task Prompt),它利用语义线索作为提示,以自适应地调整特征提取网络,以适应不同的下游驾驶任务。
为了验证提出的4D预训练方法的性能,在nuScenes训练集和最近发布的大规模3D占用率数据集OpenScene上进行了预训练,随后在nuScenes训练集上进行了微调。实验结果表明,与2D ImageNet预训练相比,4D预训练和知识蒸馏算法相比,4D预训练方法具有显著优势。4D预训练算法在以视觉为中心的自动驾驶任务中表现出极大的改进,包括3D检测、多目标跟踪、在线建图、运动预测、占用率预测和规划。
网络结构
DriveWorld的总体框架如下所示,由于自动驾驶严重依赖于传统的理解,方法首先涉及将多摄像头图片转换为4D空间。在所提出的时空建模的记忆状态空间模型中,有两个基本组件:动态记忆库,它学习时间感知的潜存在动态以预测未来状态;以及静态场景传播,它学习空间感知的潜在静态特征以提供全面的场景上下文。这种配置有助于解码器为当前和未来任务感知特征。此外,基于预训练的文本编码器设计了任务prompt,以自适应地为各种任务解耦任务感知特征。

原文提出的记忆状态空间模型(MSSM)的总体架构。MSSM将传入的信息分为两类:时间感知信息和空间感知信息。动态记忆库模块利用运动感知层归一化(MLN)来编码时间感知属性,并与动态更新的记忆库进行信息交互。同时,静态场景传播模块利用BEV特征来表示空间感知的浸泡在静态信息,这些信息直接被传送到解码器。

虽然通过世界模型设计的预训练任务使得时空表示的学习成为可能,但不同的下游任务侧重于不同的信息。例如,3D检测任务强调当前的空间感知信息,而未来预测任务则优先考虑时序感知信息。过分关注未来的信息,如车辆未来的位置,可能会对3D检测任务产生不利影响。为了解决这个问题,接下来的任务示例驱动的提取了“任务提示”的概念,为不同的头提供特定的线索,以指导它们提取任务感知特征。认识到不同任务之间存在的语义联系,利用大型语言模型来构建这些任务提示。
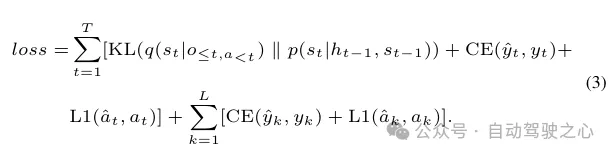
损失函数
DriveWorld的预训练目标涉及最小化后验和先验状态分布之间的差异(即Kullback-Leibler(KL)散度),以及最小化与过去和未来3D占用,即CrossEntropy损失(CE)和L1损失。这里描述了模型在T个时间步上观察输入,然后预测未来L步的3D占用和动作。DriveWorld的总损失函数是:

实验对比分析
数据集。在自动驾驶数据集nuScenes 和最大规模的3D占用数据集OpenScene 上进行预训练,并在nuScenes上进行微调。评估设置与UniAD 相同。
预训练。与BEVFormer 和UniAD 一致,使用ResNet101-DCN 作为基础骨干网络。对于3D占用预测,设置了16 × 200 × 200的体素大小。学习率设置为2×10−4。默认情况下,预训练阶段包含24个epoch。
微调。在微调阶段,保留用于生成BEV特征的预训练编码器,并对下游任务进行微调。对于3D检测任务,我们使用了BEVFormer 框架,微调其参数而不冻结编码器,并进行了24个epoch的训练。对于其他自动驾驶任务,我们使用了UniAD 框架,并将我们微调后的BEVFormer权重加载到UniAD中,对所有任务遵循标准的20个epoch的训练协议。对于UniAD,我们遵循其实验设置,这包括在第一阶段训练6个epoch,在第二阶段训练20个epoch。实验使用8个NVIDIA Tesla A100 GPU进行。

Occ任务和BEV-OD任务上的提升一览:

更多目标跟踪和规划任务性能提升一览:



好了,本文到此结束,带大家了解了《DriveWorld:一个预训练模型大幅提升检测+地图+跟踪+运动预测+Occ多个任务性能》,希望本文对你有所帮助!关注golang学习网公众号,给大家分享更多科技周边知识!
Golang技术与其他微服务框架的比较?
- 上一篇
- Golang技术与其他微服务框架的比较?
- 下一篇
- 如何分析GPT4作为裁判自动化评测其他大模型的效果
-
- 科技周边 · 人工智能 | 6小时前 |
- 批改网AI检测PPT支持内容解析与语法检查
- 209浏览 收藏
-
- 科技周边 · 人工智能 | 6小时前 | DeepSeek
- DeepSeek模型使用指南与HuggingFace部署教程
- 414浏览 收藏
-
- 科技周边 · 人工智能 | 7小时前 |
- WorkBuddy内存泄漏检测与优化技巧
- 326浏览 收藏
-
- 科技周边 · 人工智能 | 7小时前 |
- PerplexityAI怎么查期刊论文?
- 410浏览 收藏
-
- 科技周边 · 人工智能 | 7小时前 |
- AI渲染建筑草图工具推荐
- 394浏览 收藏
-
- 科技周边 · 人工智能 | 7小时前 |
- WorkBuddy解决哪些办公痛点?
- 143浏览 收藏
-
- 科技周边 · 人工智能 | 7小时前 | openclaw
- OpenClawAI接入Claude3教程详解
- 325浏览 收藏
-
- 科技周边 · 人工智能 | 8小时前 | Hermes Agent HermesAgent
- Docker部署HermesAgent实战教程
- 460浏览 收藏
-
- 科技周边 · 人工智能 | 8小时前 |
- 使用CursorAI不会降低编程能力,反而能提升效率与学习效果。
- 209浏览 收藏
-
- 科技周边 · 人工智能 | 8小时前 |
- 龙虾机器人Function调用技巧
- 267浏览 收藏
-
- 科技周边 · 人工智能 | 8小时前 |
- Minimax提示词案例与作品复现解析
- 223浏览 收藏
-
- 科技周边 · 人工智能 | 8小时前 |
- WorkBuddyAI怎么用VLOOKUP公式详解
- 296浏览 收藏
-
- 前端进阶之JavaScript设计模式
- 设计模式是开发人员在软件开发过程中面临一般问题时的解决方案,代表了最佳的实践。本课程的主打内容包括JS常见设计模式以及具体应用场景,打造一站式知识长龙服务,适合有JS基础的同学学习。
- 543次学习
-
- GO语言核心编程课程
- 本课程采用真实案例,全面具体可落地,从理论到实践,一步一步将GO核心编程技术、编程思想、底层实现融会贯通,使学习者贴近时代脉搏,做IT互联网时代的弄潮儿。
- 516次学习
-
- 简单聊聊mysql8与网络通信
- 如有问题加微信:Le-studyg;在课程中,我们将首先介绍MySQL8的新特性,包括性能优化、安全增强、新数据类型等,帮助学生快速熟悉MySQL8的最新功能。接着,我们将深入解析MySQL的网络通信机制,包括协议、连接管理、数据传输等,让
- 500次学习
-
- JavaScript正则表达式基础与实战
- 在任何一门编程语言中,正则表达式,都是一项重要的知识,它提供了高效的字符串匹配与捕获机制,可以极大的简化程序设计。
- 487次学习
-
- 从零制作响应式网站—Grid布局
- 本系列教程将展示从零制作一个假想的网络科技公司官网,分为导航,轮播,关于我们,成功案例,服务流程,团队介绍,数据部分,公司动态,底部信息等内容区块。网站整体采用CSSGrid布局,支持响应式,有流畅过渡和展现动画。
- 485次学习
-
- ChatExcel酷表
- ChatExcel酷表是由北京大学团队打造的Excel聊天机器人,用自然语言操控表格,简化数据处理,告别繁琐操作,提升工作效率!适用于学生、上班族及政府人员。
- 4384次使用
-
- Any绘本
- 探索Any绘本(anypicturebook.com/zh),一款开源免费的AI绘本创作工具,基于Google Gemini与Flux AI模型,让您轻松创作个性化绘本。适用于家庭、教育、创作等多种场景,零门槛,高自由度,技术透明,本地可控。
- 4735次使用
-
- 可赞AI
- 可赞AI,AI驱动的办公可视化智能工具,助您轻松实现文本与可视化元素高效转化。无论是智能文档生成、多格式文本解析,还是一键生成专业图表、脑图、知识卡片,可赞AI都能让信息处理更清晰高效。覆盖数据汇报、会议纪要、内容营销等全场景,大幅提升办公效率,降低专业门槛,是您提升工作效率的得力助手。
- 4613次使用
-
- 星月写作
- 星月写作是国内首款聚焦中文网络小说创作的AI辅助工具,解决网文作者从构思到变现的全流程痛点。AI扫榜、专属模板、全链路适配,助力新人快速上手,资深作者效率倍增。
- 6383次使用
-
- MagicLight
- MagicLight.ai是全球首款叙事驱动型AI动画视频创作平台,专注于解决从故事想法到完整动画的全流程痛点。它通过自研AI模型,保障角色、风格、场景高度一致性,让零动画经验者也能高效产出专业级叙事内容。广泛适用于独立创作者、动画工作室、教育机构及企业营销,助您轻松实现创意落地与商业化。
- 4990次使用
-
- GPT-4王者加冕!读图做题性能炸天,凭自己就能考上斯坦福
- 2023-04-25 501浏览
-
- 单块V100训练模型提速72倍!尤洋团队新成果获AAAI 2023杰出论文奖
- 2023-04-24 501浏览
-
- ChatGPT 真的会接管世界吗?
- 2023-04-13 501浏览
-
- VR的终极形态是「假眼」?Neuralink前联合创始人掏出新产品:科学之眼!
- 2023-04-30 501浏览
-
- 实现实时制造可视性优势有哪些?
- 2023-04-15 501浏览

