字节开源大模型量化新思路,2-bit量化模型精度齐平fp16
来到golang学习网的大家,相信都是编程学习爱好者,希望在这里学习科技周边相关编程知识。下面本篇文章就来带大家聊聊《字节开源大模型量化新思路,2-bit量化模型精度齐平fp16》,介绍一下,希望对大家的知识积累有所帮助,助力实战开发!

AIxiv专栏是本站发布学术、技术内容的栏目。过去数年,本站AIxiv专栏接收报道了2000多篇内容,覆盖全球各大高校与企业的顶级实验室,有效促进了学术交流与传播。如果您有优秀的工作想要分享,欢迎投稿或者联系报道。投稿邮箱:liyazhou@jiqizhixin.com;zhaoyunfeng@jiqizhixin.com
随着深度学习大语言模型的越来越火爆,大语言模型越做越大,使得其推理成本也水涨船高。模型量化,成为一个热门的研究课题。
最近,字节跳动推出了一个全新的量化思路,抛弃传统的量化范式,从数学优化的角度来对量化任务建模。文章放在了 arXiv,代码已经开源,可以一键复现文中的所有结果。该量化思路基于数学优化,从数学优化的角度来对量化任务建模,通过最大化目标函数或最小化损失函数来寻找最优解。这种思路在实验中获得了很好的效果,取得了令人满意的结果。

论文链接:https://arxiv.org/abs/2404.12759
项目链接:https://github.com/bytedance/decoupleQ
W2 算子:https://github.com/NVIDIA/TensorRT-LLM/pull/1568
1. 背景
大规模的迅速发展,使得推理成本越来越高。模型量化,作为一个降低推理成本的技术方案,得到了越来越多的关注与研究。然而,在传统的量化范式下,模型的精度在极低比特下会迅速下降。基于此,作者们提出了一种新的量化思路,将模型参数解耦为整数部分和浮点部分,从数学优化的角度来对量化任务建模,使得在极低比特下,模型依然能保持较高的精度。这样做的优势是明显的,我们不再需要关注量化特有的问题,比如如何处理敏感通道,如何处理outlier等,而是只需要将量化问题进行数学建模,找到一个合适的优化目标函数,然后去求解该函数。
2. 传统量化
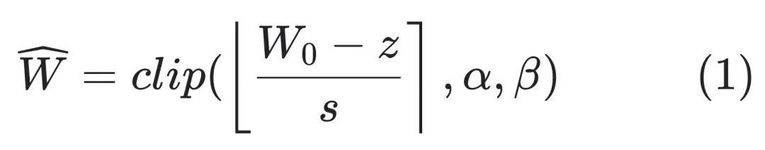
传统上,我们对一个模型的量化思路是:

其中,
是量化前模型的浮点型 weights;s 和 z 是一个线性变换系数,表示 scale 和 zero point;α 和 β 是整数表示范围的上下界,例如对于 int4 量化,可以取 α = -8, β = 7;
表示取整函数,一般是四舍五入到临近的整数。
关于 s 和 z 的取值,一般来说,对于非对称量化,我们可以取:

这样就将一个分布在
的浮点的 weights,线性映射到
的区间范围。
在反量化的时候,一般使用如下公式:

在这种传统的量化方案中,我们需要关注很多量化特有的细枝末节问题,比如针对敏感通道,我们有敏感通道的处理方式;针对 outlier,我们有 outlier 的处理方式。这种头痛医头脚痛医脚的处理范式,难以应付复杂多变的业务场景。字节跳动的研究者们试图把这些问题都抽象出来,从一个宏观的视角来看待量化问题。我们只需要建立一个抽象的优化目标函数,再去求解这个目标函数即可。
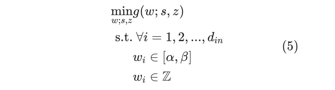
3. decoupleQ
观察 (1)~(3) 式在量化中的作用,如果我们换一种思路,就会发现其实我们不需要知道 (1) 式和 (2) 式。我们将一个大模型量化完毕以后,交付给下游引擎同学的时候,只需要知道 (3) 式中的
和 (s,z) 即可。也就是说,(3) 式中的 (s,z) 完全可以视作一个普通的仿射变换的系数,不需要保留其在 (2) 式中的含义。该仿射变换系数,可以通过数学优化的方法求出来。
进一步挖掘 (3) 式中,我们可以将一个大模型的参数,解耦 (decouple) 成整数部分
和浮点部分 (s,z)。这样解耦以后,模型量化的过程,就可以视作一个求解模型整数部分
和浮点部分 (s,z) 的过程。我们可以交替优化求解。为此,要确定优化目标函数和其约束条件。
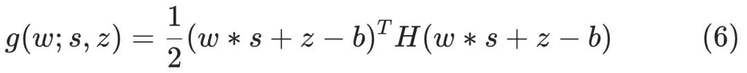
对于一个 linear 层,我们可以构建如下优化目标函数:

其中,
是该层的输入,
是一个对称矩阵(若 X 的列都不全为零,则 H 是正定对称矩阵)。
一般来说,为了提高量化精度,我们可以对模型的权重用 per-channel 量化。在 per-channel 量化中,在优化 (4) 式的时候,
的各个列是独立进行优化的。所以我们只需要关注其中一列即可。
至此,优化目标可以写作如下:(为了符号简洁,文章中重新定义符号):

其中优化目标函数为

其中,w 是
的某一列,b 是
中对应的列。其他符号的定义与前文相同。
事实上,优化目标函数 (6) 与 (4) 是完全一致的,
就是反量化过程。
将一个量化问题转化为形如(5)式的数学优化问题,正是 decoupleQ 区别于传统量化论文的关键所在。这种转化,使得我们只需要专注于求解 (5) 式即可,不再需要处理关于量化本身的细枝末节的问题,比如 outlier,等等。
式子 (5) 的求解并不容易,因为有关于
的约束的存在,特别是
这个非凸约束。在论文中,作者给出一种交替求解的思路,即获得关于 (s,z) 和 w 的良好的初始化以后,交替迭代求解 (s,z) 和 w。在求解 (s,z) 的时候,注意到式子 (5) 关于 (s,z) 是一个无约束的二次型,可以直接将目标函数求导,令导数为零,从而获得解析解。在求解 w 的时候,作者采取了两个层面的近似,第一层近似收敛性更高,但是求解慢;第二层近似采样 GPTQ【1】的思想,收敛性稍差,但是求解更快。
为了进一步提升量化模型精度,作者指出,除了在 layer 层面做 mse 最小化以外,还可以在 block 层面做 mse 最小化,即:

在这一步,作者在一个 transformer block 层面,将其中的各个 linear 层量化完毕以后,固定他们的整数部分
,而去微调浮点部分 (s,z) 以及 layer norm 的相关参数。实验表面,这一步微调,能够进一步提升模型精度。
4. W2 算子实现
要对量化后的模型进行推理,需要量化算子的支持,在业界没有现成的 w2a16 的算子可用,作者们基于 Tensorrt-LLM 中的 w4 算子开发了 w2 的 Gemm cuda kernel, 实现了 w2a16 模型的高效推理。
量化模型本身是以 2bit weight 的形式加载和存储在显存中,因此会占用比较小的显存。我们的 cuda kernel 通过在运行时将 2bit 的 weight 加载到寄存器中,再利用硬件指令高效转换成 bf16 的形式与 activation 进行 gemm 运算。因为我们的场景受限于 latency, generation 阶段的 batchsize 比较小,此时矩阵乘受限于 weight 的访存,这种实现会大大减少访存量,提升模型的性能。在实现过程中,结合了算法搜索以及 SpiltK Parallel Reduce,进一步能提升模型的性能,实测在 batchsize=1 的情况下,在 L 卡上 w2a16 Gemm 性能相比 w4a16 能提升 1.4x-1.7x 不等。
算子链接:https://github.com/NVIDIA/TensorRT-LLM/pull/1568

w2 cuda kernel的实现原理
5. 实验
作者在文章给出了字节跳动内部的 ASR 实验结果,和开源的实验对比结果:
其中内部实验结果是:

该表格中,作者用 word err rate (WER) 来衡量 ASR 的准确率。作者尝试使用不同的方法将模型量化为 W2A16g64。量化前的浮点模型的 wer 是 6.68%,使用 GPTQ【1】量化以后是 6.83%,带有 block 最小化的 decoupleQ 量化以后的 wer 是 6.70%,该结果与量化前的浮点模型的 wer 很接近。同时也 report 了量化所需要的耗时。量化高精度的代价,是量化耗时较长。在实际业务中,在使用 decoupleQ 对模型量化完毕以后,固定整数部分,使用有标签数据集微调 scale 和 zero,模模型精度有进一步的提升。
开源对比实验结果是:

该表格是 decoupleQ 和其他方法在 Llama-1/2 上的量化结果比较。以 perplexity (PPL) 作为评价指标。可以看出,在同样的量化配置下,deoucpleQ 的 PPL 在绝大多数时候会低于其他方法。
6. 业务收益
decoupleQ 量化技术在字节跳动语音部门现在被广泛使用。已经上线于语音生成模型(Text-to-Speech),语音识别模型(automic speech recognition)等等,落地于豆包、飞书、抖音等产品中。大量上线业务表明,基于 decoupleQ 的量化,W4A16 的推理精度已经完全能和 fp16/bf16 推理持平;W2A16 的精度只略差于 fp16/bf16 精度(对浮点部分 sft 以后,精度能和 fp16/bf16 持平)。尽管论文中只介绍了 weight-only 的量化,但是在实际业务中,在 weight 获得良好的量化以后,对 activation 的量化也便能简单许多。
在硬件加速上相比 fp16、w8fp16、w4fp16 获得了不错的加速效果,在小 batch 下 w2 矩阵乘的性能相比 fp16 提升 5-6 倍,相比 w4 提升 1.5-1.7 倍。在内部业务模型上,w2fp16 相比 fp16 性能有 3-5 倍的提升, 相比 w4fp16 性能有 1.25-1.4 倍的性能提升,同时也会使得模型 weight 占用显存大幅下降,为 runtime 的显存利用提供更多空间。


7. 总结与讨论
在总结与讨论部分,作者也指出了 decoupleQ 目前存在的两个风险:
1. decoupleQ 旨在使用数学优化的手段,将量化前后的 L2 loss 最小化。然而,layer 层面或者 block 层面的 L2 loss 最小化,未必能够代表最终模型精度的最优;
2. 在 (5) 式和 (7) 式的优化过程中,在求解
和 (s,z) 的时候,只针对一小部分校准数据来求解,这使得 decoupleQ 容易对校准数据过拟合。
尽管如此,作者也指出,将模型参数解耦为整数部分和浮点部分的思路,是很有意义的。如果有标签数据集存在,我们可以量化完毕以后,固定整数部分,使用有标签数据集来专门训练 (s,z),以进一步提升模型的精度。这样既保证了模型的泛化性能(源于固定整数部分
),又能在特定子任务上发挥能力(源于微调浮点部分)。在字节跳动的实际业务中,在上一版的模型量化完毕上线以后,下一版更新的时候,也可以只训练模型中的浮点部分。
参考文献:
【1】Elias Frantar, Saleh Ashkboos, Torsten Hoefler, and Dan Alistarh. Optq: Accurate quantization for generative pretrained transformers. In The Eleventh International Conference on Learning Representations, 2022.
【2】Wenqi Shao, Mengzhao Chen, Zhaoyang Zhang, Peng Xu, Lirui Zhao, Zhiqian Li, Kaipeng Zhang, Peng Gao, Yu Qiao, and Ping Luo. Omniquant: Omnidirectionally calibrated quantization for large language models. arXiv preprint arXiv:2308.13137, 2023
【3】Ji Lin, Jiaming Tang, Haotian Tang, Shang Yang, Xingyu Dang, and Song Han. Awq: Activation-aware weight quantization for llm compression and acceleration. arXiv preprint arXiv:2306.00978, 2023.
好了,本文到此结束,带大家了解了《字节开源大模型量化新思路,2-bit量化模型精度齐平fp16》,希望本文对你有所帮助!关注golang学习网公众号,给大家分享更多科技周边知识!
如何在 Golang 中替换正则表达式匹配的文本?
- 上一篇
- 如何在 Golang 中替换正则表达式匹配的文本?
- 下一篇
- 如何在 Golang 中生成随机浮点数?
-
- 科技周边 · 人工智能 | 13分钟前 | 哩布哩布AI
- 哩布哩布AI官网入口最新地址
- 460浏览 收藏
-
- 科技周边 · 人工智能 | 14分钟前 | Perplexity
- Perplexity Pro搜索模式深度解析
- 300浏览 收藏
-
- 科技周边 · 人工智能 | 35分钟前 |
- 骡子快跑教程入门指南
- 453浏览 收藏
-
- 科技周边 · 人工智能 | 41分钟前 |
- WorkBuddy AI开题报告怎么写
- 342浏览 收藏
-
- 科技周边 · 人工智能 | 43分钟前 | ai志愿助手
- AI志愿助手官网链接及平台访问入口
- 189浏览 收藏
-
- 科技周边 · 人工智能 | 45分钟前 |
- Copilot网页端插件调用方法详解
- 146浏览 收藏
-
- 科技周边 · 人工智能 | 1小时前 |
- MuleRun自动识别文件类型方法
- 101浏览 收藏
-
- 科技周边 · 人工智能 | 1小时前 |
- ChatGPT规划完美旅行行程攻略
- 189浏览 收藏
-
- 科技周边 · 人工智能 | 1小时前 |
- 百度AI表格生成与编辑技巧详解
- 100浏览 收藏
-
- 科技周边 · 人工智能 | 2小时前 |
- 龙虾机器人接入钉钉飞书,智能办公新体验
- 464浏览 收藏
-
- 科技周边 · 人工智能 | 2小时前 |
- Minimax海螺AI手机版下载及使用教程
- 340浏览 收藏
-
- 科技周边 · 人工智能 | 2小时前 |
- Gemini速读说明书技巧全解析
- 448浏览 收藏
-
- 前端进阶之JavaScript设计模式
- 设计模式是开发人员在软件开发过程中面临一般问题时的解决方案,代表了最佳的实践。本课程的主打内容包括JS常见设计模式以及具体应用场景,打造一站式知识长龙服务,适合有JS基础的同学学习。
- 543次学习
-
- GO语言核心编程课程
- 本课程采用真实案例,全面具体可落地,从理论到实践,一步一步将GO核心编程技术、编程思想、底层实现融会贯通,使学习者贴近时代脉搏,做IT互联网时代的弄潮儿。
- 516次学习
-
- 简单聊聊mysql8与网络通信
- 如有问题加微信:Le-studyg;在课程中,我们将首先介绍MySQL8的新特性,包括性能优化、安全增强、新数据类型等,帮助学生快速熟悉MySQL8的最新功能。接着,我们将深入解析MySQL的网络通信机制,包括协议、连接管理、数据传输等,让
- 500次学习
-
- JavaScript正则表达式基础与实战
- 在任何一门编程语言中,正则表达式,都是一项重要的知识,它提供了高效的字符串匹配与捕获机制,可以极大的简化程序设计。
- 487次学习
-
- 从零制作响应式网站—Grid布局
- 本系列教程将展示从零制作一个假想的网络科技公司官网,分为导航,轮播,关于我们,成功案例,服务流程,团队介绍,数据部分,公司动态,底部信息等内容区块。网站整体采用CSSGrid布局,支持响应式,有流畅过渡和展现动画。
- 485次学习
-
- ChatExcel酷表
- ChatExcel酷表是由北京大学团队打造的Excel聊天机器人,用自然语言操控表格,简化数据处理,告别繁琐操作,提升工作效率!适用于学生、上班族及政府人员。
- 4248次使用
-
- Any绘本
- 探索Any绘本(anypicturebook.com/zh),一款开源免费的AI绘本创作工具,基于Google Gemini与Flux AI模型,让您轻松创作个性化绘本。适用于家庭、教育、创作等多种场景,零门槛,高自由度,技术透明,本地可控。
- 4606次使用
-
- 可赞AI
- 可赞AI,AI驱动的办公可视化智能工具,助您轻松实现文本与可视化元素高效转化。无论是智能文档生成、多格式文本解析,还是一键生成专业图表、脑图、知识卡片,可赞AI都能让信息处理更清晰高效。覆盖数据汇报、会议纪要、内容营销等全场景,大幅提升办公效率,降低专业门槛,是您提升工作效率的得力助手。
- 4490次使用
-
- 星月写作
- 星月写作是国内首款聚焦中文网络小说创作的AI辅助工具,解决网文作者从构思到变现的全流程痛点。AI扫榜、专属模板、全链路适配,助力新人快速上手,资深作者效率倍增。
- 6173次使用
-
- MagicLight
- MagicLight.ai是全球首款叙事驱动型AI动画视频创作平台,专注于解决从故事想法到完整动画的全流程痛点。它通过自研AI模型,保障角色、风格、场景高度一致性,让零动画经验者也能高效产出专业级叙事内容。广泛适用于独立创作者、动画工作室、教育机构及企业营销,助您轻松实现创意落地与商业化。
- 4861次使用
-
- GPT-4王者加冕!读图做题性能炸天,凭自己就能考上斯坦福
- 2023-04-25 501浏览
-
- 单块V100训练模型提速72倍!尤洋团队新成果获AAAI 2023杰出论文奖
- 2023-04-24 501浏览
-
- ChatGPT 真的会接管世界吗?
- 2023-04-13 501浏览
-
- VR的终极形态是「假眼」?Neuralink前联合创始人掏出新产品:科学之眼!
- 2023-04-30 501浏览
-
- 实现实时制造可视性优势有哪些?
- 2023-04-15 501浏览

