思维链不存在了?纽约大学最新研究:推理步骤可省略
你在学习科技周边相关的知识吗?本文《思维链不存在了?纽约大学最新研究:推理步骤可省略》,主要介绍的内容就涉及到,如果你想提升自己的开发能力,就不要错过这篇文章,大家要知道编程理论基础和实战操作都是不可或缺的哦!
红极一时的思维链技术,可能要被推翻了!
还在惊讶于大模型居然能够利用思维链分步骤思考?
还在苦于不会写思维链提示词?
来自纽约大学的研究人员表示:「没关系的,都一样」,
推理步骤不重要,不想写提示词也可以不写,用省略号代替就行了。

论文地址:https://arxiv.org/pdf/2404.15758
这篇文章的标题甚至直接用「Let’s think dot by dot」,来对标思维链的「Let’s think step by step」,展现了「省略号」的威力。
「点点点」的威力
研究人员发现,把思维链(Chain-of-Thought,CoT)推理中的具体步骤,替换成毫无意义的「...」,产生的推理结果也大差不差。
比如下面这个例子:让模型数一下前6个数里面有几个大于5。

如果直接抛出问题让模型回答,结果会比较逆天:6个数数出来7个。
相比之下,使用思维链提示,模型会一步步比较大小,最终得到正确答案:「2<5,7>5,1<5,8>5,2<5,8>5,that's 3 digits」。
但更逆天的是本文使用的「玄学」方法:步骤不用写了,只需要输出同样数量的「点」(dot),居然也不影响最后的结果。
——这并不是巧合,大量实验证明了,后面两种方法的性能接近。
也就是说,我们以为的模型性能提升是来自于「think step by step」,但实际上可能只是因为LLM拿到了更多个token的算力!
你以为模型是在思考,但其实是在烧烤。

——愚蠢的人类啊,居然妄图用幼稚的例子教我如何推理,你可知我要的从来都只是计算。
「思维链从来就没有存在过,将来也不会存在」(狗头)。
文章的作者Jacob Pfau表示,这篇工作证明了,模型并不是受益于思维链带来的语言推理,使用重复的「...」填充token可以达到跟CoT同样的效果。

当然,这也引发了对齐问题:因为这个事实表明,模型可以进行CoT中不可见的隐藏推理,在一定程度上脱离了人类的控制。
网友震惊
文章的结论可以说是颠覆了我们长久以来的认知,有网友表示:学到了mask的精髓。

「这究竟意味着什么:模型可以在我们不知情的情况下使用这些token独立思考。」

有网友表示,怪不得我打字总是喜欢用「...」

还有网友直接开始实战测试:

虽然咱也不知道他的理解对不对~
不过也有网友认为LLM在思维链中进行隐藏推理是没有根据的,毕竟大模型的输出从原理上来说是基于概率的,而不是通过有意识的思考。
CoT提示只是将统计模式的一个子集显式化,模型通过生成与模式一致的文本来模拟推理,但它们不具备验证或反思其输出的能力。
Think dot by dot
面对复杂问题,我们人类在潜意识里会进行分步骤的推理。
由此启发,谷歌的研究人员在2022年发表了大名鼎鼎的Chain-of-Thought。
要求语言模型分步解决问题的方法,使模型能够解决以前似乎无法解决的问题,显著提高了LLM的性能,或者说挖掘出了LLM的潜力。

论文地址:https://arxiv.org/pdf/2201.11903
虽然一开始大家也不知道这玩意为啥能work,但是因为确实好用,便很快被广泛传播。

随着大模型和提示词工程的起飞,CoT成了LLM解决复杂问题的一大利器。
当然了,在这个过程中也有很多研究团队在探索CoT的工作原理。
模型并没有推理
思维链带来的性能提升,究竟是模型真的学会了分步骤解决问题,还是仅仅因为更长的token数所带来的额外计算量?
既然不确定逻辑推理起不起作用,那就干脆不要逻辑,把推理步骤都换成一定没用的「...」,这里称为填充(filler)tokens。
研究人员使用了一个「小羊驼」模型:具有4层、384个隐藏维度和6个注意力头的34M参数Llama,模型参数随机初始化。
这里考虑两个问题:
(1)哪些类型的评估数据可以从填充token中受益
(2)需要什么样的训练数据来教模型使用填充token
对此,研究人员设计了2个任务并构建了相应的合成数据集,每个数据集都突出了一个不同的条件,在该条件下,填充token能够为Transformer提供性能改进。
3SUM
先看第一个比较难的任务:3SUM。要求模型在序列中挑选满足条件的3个数,比如3个数的和除以10余数为0。

在最坏的情况下,这个任务的复杂度是N的3次方,而Transformer层与层之间的计算复杂度是N的二次方,
所以,当输入序列长度很大的时候,3SUM问题自然会超出Transformer的表达能力。
实验设置了三组对照:
1. 填充token:序列使用重复的「. . .」作为中间填充,例如「A05
B75 C22 D13 : . . . . . . . . . . . . ANS True」。
每个点代表一个单独的token,与下面的思维链中的token一一对应。
2. 可并行化的CoT解决方案,序列的形式为:「A05 B75 C22 D13 : AB 70 AC 27 AD 18 BC 97 BD 88 CD B ANS True」。
思维链通过编写所有相关的中间求和,将3SUM问题简化为一系列2SUM问题(如下图所示)。这种方法将问题的计算量降低到了N的2次方——Transformer可以搞定,而且可以并行。

3. 自适应CoT解决方案,序列的形式为:「A15 B75 C22 D13 : A B C 15 75 22 2 B C D 75 22 13 0 ANS True」。
与上面方案中,将3SUM巧妙地分解为可并行化的子问题不同,这里希望使用启发式方法来产生灵活的思维链,以模仿人类的推理。这种实例自适应计算,与填充token计算的并行结构不兼容。

从上图的结果可以看出,不输出填充token的情况下,模型的准确率总体上随着序列变长而下降,而使用填充token时,准确率一直保持在100%。
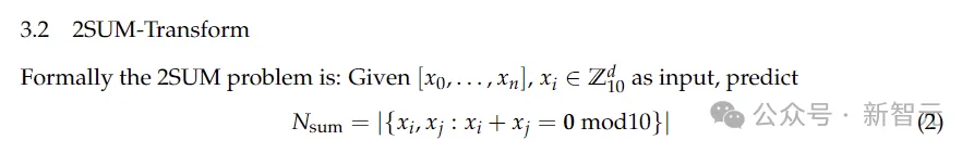
2SUM-Transform
第二个任务是2SUM-Transform,只需要判断两个数字的和是否满足要求,计算量在Transformer的掌控之中。

不过为了防止模型「作弊」,对输入token就地计算,这里将输入的每个数字移动一个随机偏移量。

结果如上表所示:filler token方法的精度达到了93.6%,非常接近于Chain-of-Thought,而不使用中间填充的情况下,精度只有78.7%。
但是,这种改进是否只是由于训练数据呈现的差异,例如通过正则化损失梯度?
为了验证填充token是否带来了与最终预测相关的隐藏计算,研究人员冻结了模型权重,仅微调最后一层注意力层。

上面的结果表明,随着可用的填充token增多,模型的准确性也不断提高,这表明填充token确实正在执行与3SUM预测任务相关的隐藏计算。
局限性
虽然填充token的方法很玄学、很神奇,甚至还很有效,但要说思维链被干翻了还为时尚早。
作者也表示,填充token的方法并没有突破Transformer的计算复杂度上限。
而且学习利用填充token是需要特定训练过程的,比如文中采用密集监督才能使模型最终收敛。
不过,一些问题可能已经浮出水面,比如隐藏的安全问题,比如提示词工程会不会突然有一天就不存在了?
今天带大家了解了的相关知识,希望对你有所帮助;关于科技周边的技术知识我们会一点点深入介绍,欢迎大家关注golang学习网公众号,一起学习编程~
Win10复制粘贴快捷键怎么重启 Win10复制粘贴快捷键重启方法
- 上一篇
- Win10复制粘贴快捷键怎么重启 Win10复制粘贴快捷键重启方法
- 下一篇
- 2024 中国品牌价值评价信息发布,比亚迪位列汽车及配件领域第一名
-
- 科技周边 · 人工智能 | 17分钟前 |
- 爆款营销标题怎么写?豆包AI帮你选最佳文案
- 220浏览 收藏
-
- 科技周边 · 人工智能 | 18分钟前 |
- AdobeFirefly场景色匹配技巧解析
- 141浏览 收藏
-
- 科技周边 · 人工智能 | 44分钟前 |
- 豆包AI写iOS代码教程全解析
- 322浏览 收藏
-
- 科技周边 · 人工智能 | 58分钟前 | openclaw
- OpenClawAI操作Falcon模型指南
- 165浏览 收藏
-
- 科技周边 · 人工智能 | 1小时前 |
- 豆包AI大模型助力花园打理技巧
- 243浏览 收藏
-
- 科技周边 · 人工智能 | 1小时前 |
- 查看MiniMax对话记录的完整方法
- 357浏览 收藏
-
- 科技周边 · 人工智能 | 10小时前 |
- Minimax提示词怎么写?视频生成指令指南
- 291浏览 收藏
-
- 科技周边 · 人工智能 | 10小时前 |
- 五感描写技巧:感官+场景+细节精准引导
- 286浏览 收藏
-
- 科技周边 · 人工智能 | 10小时前 |
- Kimi提问结构优化技巧分享
- 229浏览 收藏
-
- 科技周边 · 人工智能 | 10小时前 | 瑞达写作
- 瑞达写作官网登录入口及App获取方式
- 408浏览 收藏
-
- 科技周边 · 人工智能 | 11小时前 |
- 豆包AI帮你疏导情绪,做你的心理树洞
- 345浏览 收藏
-
- 科技周边 · 人工智能 | 11小时前 |
- 文心一言怎么写简历?求职信优化技巧
- 473浏览 收藏
-
- 前端进阶之JavaScript设计模式
- 设计模式是开发人员在软件开发过程中面临一般问题时的解决方案,代表了最佳的实践。本课程的主打内容包括JS常见设计模式以及具体应用场景,打造一站式知识长龙服务,适合有JS基础的同学学习。
- 543次学习
-
- GO语言核心编程课程
- 本课程采用真实案例,全面具体可落地,从理论到实践,一步一步将GO核心编程技术、编程思想、底层实现融会贯通,使学习者贴近时代脉搏,做IT互联网时代的弄潮儿。
- 516次学习
-
- 简单聊聊mysql8与网络通信
- 如有问题加微信:Le-studyg;在课程中,我们将首先介绍MySQL8的新特性,包括性能优化、安全增强、新数据类型等,帮助学生快速熟悉MySQL8的最新功能。接着,我们将深入解析MySQL的网络通信机制,包括协议、连接管理、数据传输等,让
- 500次学习
-
- JavaScript正则表达式基础与实战
- 在任何一门编程语言中,正则表达式,都是一项重要的知识,它提供了高效的字符串匹配与捕获机制,可以极大的简化程序设计。
- 487次学习
-
- 从零制作响应式网站—Grid布局
- 本系列教程将展示从零制作一个假想的网络科技公司官网,分为导航,轮播,关于我们,成功案例,服务流程,团队介绍,数据部分,公司动态,底部信息等内容区块。网站整体采用CSSGrid布局,支持响应式,有流畅过渡和展现动画。
- 485次学习
-
- ChatExcel酷表
- ChatExcel酷表是由北京大学团队打造的Excel聊天机器人,用自然语言操控表格,简化数据处理,告别繁琐操作,提升工作效率!适用于学生、上班族及政府人员。
- 4251次使用
-
- Any绘本
- 探索Any绘本(anypicturebook.com/zh),一款开源免费的AI绘本创作工具,基于Google Gemini与Flux AI模型,让您轻松创作个性化绘本。适用于家庭、教育、创作等多种场景,零门槛,高自由度,技术透明,本地可控。
- 4612次使用
-
- 可赞AI
- 可赞AI,AI驱动的办公可视化智能工具,助您轻松实现文本与可视化元素高效转化。无论是智能文档生成、多格式文本解析,还是一键生成专业图表、脑图、知识卡片,可赞AI都能让信息处理更清晰高效。覆盖数据汇报、会议纪要、内容营销等全场景,大幅提升办公效率,降低专业门槛,是您提升工作效率的得力助手。
- 4498次使用
-
- 星月写作
- 星月写作是国内首款聚焦中文网络小说创作的AI辅助工具,解决网文作者从构思到变现的全流程痛点。AI扫榜、专属模板、全链路适配,助力新人快速上手,资深作者效率倍增。
- 6184次使用
-
- MagicLight
- MagicLight.ai是全球首款叙事驱动型AI动画视频创作平台,专注于解决从故事想法到完整动画的全流程痛点。它通过自研AI模型,保障角色、风格、场景高度一致性,让零动画经验者也能高效产出专业级叙事内容。广泛适用于独立创作者、动画工作室、教育机构及企业营销,助您轻松实现创意落地与商业化。
- 4871次使用
-
- GPT-4王者加冕!读图做题性能炸天,凭自己就能考上斯坦福
- 2023-04-25 501浏览
-
- 单块V100训练模型提速72倍!尤洋团队新成果获AAAI 2023杰出论文奖
- 2023-04-24 501浏览
-
- ChatGPT 真的会接管世界吗?
- 2023-04-13 501浏览
-
- VR的终极形态是「假眼」?Neuralink前联合创始人掏出新产品:科学之眼!
- 2023-04-30 501浏览
-
- 实现实时制造可视性优势有哪些?
- 2023-04-15 501浏览

