Bengio等人新作:注意力可被视为RNN,新模型媲美Transformer,但超级省内存
来源:机器之心
2024-05-27 13:42:17
0浏览
收藏
珍惜时间,勤奋学习!今天给大家带来《Bengio等人新作:注意力可被视为RNN,新模型媲美Transformer,但超级省内存》,正文内容主要涉及到等等,如果你正在学习科技周边,或者是对科技周边有疑问,欢迎大家关注我!后面我会持续更新相关内容的,希望都能帮到正在学习的大家!

论文地址:https://arxiv.org/pdf/2405.13956 论文标题:Attention as an RNN

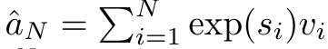
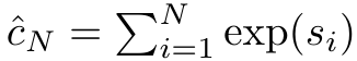
将其映射到单一输出 o_N = Attention (q, k_1:N , v_1:N ) 。给定 s_i = dot (q,k_i),输出 o_N 可表述为: 
,分母为
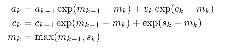
。将注意力视为 RNN,可以在 k = 1,...,...... 时,以滚动求和的方式迭代计算
和
。然而,在实践中,这种实现方式并不稳定,会因有限的精度表示和可能非常小或非常大的指数(即 exp (s))而遇到数值问题。为了缓解这一问题,作者用累积最大值项
来重写递推公式,计算
和
。值得注意的是,最终结果是相同的
,m_k 的循环计算如下:

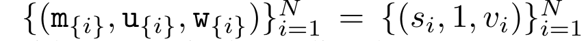
的方法。为此,作者利用并行前缀扫描算法(见算法 1),这是一种通过关联算子 ⊕ 从 N 个连续数据点计算 N 个前缀的并行计算方法。该算法可高效计算

,其中 
,
为了高效计算
,可以通过并行扫描算法计算
和
,然后结合 a_k 和 c_k 计算
。
,
,
。并行扫描算法的输入为
。该算法递归应用算子 ⊕,其工作原理如下:
,其中,
,
。


。也被称作
。结合输出元组的最后两个值,检索
从而产生一种高效的并行方法,将注意力计算为多对多 RNN(图 3)。







到这里,我们也就讲完了《Bengio等人新作:注意力可被视为RNN,新模型媲美Transformer,但超级省内存》的内容了。个人认为,基础知识的学习和巩固,是为了更好的将其运用到项目中,欢迎关注golang学习网公众号,带你了解更多关于理论的知识点!
版本声明
本文转载于:机器之心 如有侵犯,请联系study_golang@163.com删除
小米智能驾驶技术取得重大突破,SU7 Pro标配智驾Max系统引领行业革新
- 上一篇
- 小米智能驾驶技术取得重大突破,SU7 Pro标配智驾Max系统引领行业革新
- 下一篇
- PHP框架与云数据库的无缝交互
查看更多
最新文章
-
- 科技周边 · 人工智能 | 2分钟前 |
- AI爬虫如何配置?网页数据自动抓取教程
- 361浏览 收藏
-
- 科技周边 · 人工智能 | 7分钟前 | MuleRun
- MuleRun如何设置JSON/文本/HTML输出格式
- 474浏览 收藏
-
- 科技周边 · 人工智能 | 47分钟前 |
- 教你用万能Prompt框架解决90%办公问题
- 445浏览 收藏
-
- 科技周边 · 人工智能 | 1小时前 |
- MuleRun输入校验设置教程
- 191浏览 收藏
-
- 科技周边 · 人工智能 | 1小时前 | MuleRun
- MuleRun如何生成问卷\_快速创建表单教程
- 355浏览 收藏
-
- 科技周边 · 人工智能 | 1小时前 |
- Gamma制作沉浸式元宇宙发布会PPT技巧
- 456浏览 收藏
-
- 科技周边 · 人工智能 | 1小时前 |
- ChatGPT如何专业润色论文
- 460浏览 收藏
-
- 科技周边 · 人工智能 | 1小时前 |
- 豆包AI智能批注功能详解
- 318浏览 收藏
-
- 科技周边 · 人工智能 | 1小时前 |
- 豆包大模型与开发者平台入口
- 492浏览 收藏
-
- 科技周边 · 人工智能 | 1小时前 |
- WorkBuddy AI营销方案怎么写?教程详解
- 313浏览 收藏
-
- 科技周边 · 人工智能 | 2小时前 |
- Jasper AI写邮件教程及营销技巧
- 299浏览 收藏
-
- 科技周边 · 人工智能 | 2小时前 |
- Animaker闪退原因及解决方法
- 416浏览 收藏
查看更多
课程推荐
-
- 前端进阶之JavaScript设计模式
- 设计模式是开发人员在软件开发过程中面临一般问题时的解决方案,代表了最佳的实践。本课程的主打内容包括JS常见设计模式以及具体应用场景,打造一站式知识长龙服务,适合有JS基础的同学学习。
- 543次学习
-
- GO语言核心编程课程
- 本课程采用真实案例,全面具体可落地,从理论到实践,一步一步将GO核心编程技术、编程思想、底层实现融会贯通,使学习者贴近时代脉搏,做IT互联网时代的弄潮儿。
- 516次学习
-
- 简单聊聊mysql8与网络通信
- 如有问题加微信:Le-studyg;在课程中,我们将首先介绍MySQL8的新特性,包括性能优化、安全增强、新数据类型等,帮助学生快速熟悉MySQL8的最新功能。接着,我们将深入解析MySQL的网络通信机制,包括协议、连接管理、数据传输等,让
- 500次学习
-
- JavaScript正则表达式基础与实战
- 在任何一门编程语言中,正则表达式,都是一项重要的知识,它提供了高效的字符串匹配与捕获机制,可以极大的简化程序设计。
- 487次学习
-
- 从零制作响应式网站—Grid布局
- 本系列教程将展示从零制作一个假想的网络科技公司官网,分为导航,轮播,关于我们,成功案例,服务流程,团队介绍,数据部分,公司动态,底部信息等内容区块。网站整体采用CSSGrid布局,支持响应式,有流畅过渡和展现动画。
- 485次学习
查看更多
AI推荐
-
- ChatExcel酷表
- ChatExcel酷表是由北京大学团队打造的Excel聊天机器人,用自然语言操控表格,简化数据处理,告别繁琐操作,提升工作效率!适用于学生、上班族及政府人员。
- 4224次使用
-
- Any绘本
- 探索Any绘本(anypicturebook.com/zh),一款开源免费的AI绘本创作工具,基于Google Gemini与Flux AI模型,让您轻松创作个性化绘本。适用于家庭、教育、创作等多种场景,零门槛,高自由度,技术透明,本地可控。
- 4582次使用
-
- 可赞AI
- 可赞AI,AI驱动的办公可视化智能工具,助您轻松实现文本与可视化元素高效转化。无论是智能文档生成、多格式文本解析,还是一键生成专业图表、脑图、知识卡片,可赞AI都能让信息处理更清晰高效。覆盖数据汇报、会议纪要、内容营销等全场景,大幅提升办公效率,降低专业门槛,是您提升工作效率的得力助手。
- 4463次使用
-
- 星月写作
- 星月写作是国内首款聚焦中文网络小说创作的AI辅助工具,解决网文作者从构思到变现的全流程痛点。AI扫榜、专属模板、全链路适配,助力新人快速上手,资深作者效率倍增。
- 6118次使用
-
- MagicLight
- MagicLight.ai是全球首款叙事驱动型AI动画视频创作平台,专注于解决从故事想法到完整动画的全流程痛点。它通过自研AI模型,保障角色、风格、场景高度一致性,让零动画经验者也能高效产出专业级叙事内容。广泛适用于独立创作者、动画工作室、教育机构及企业营销,助您轻松实现创意落地与商业化。
- 4834次使用
查看更多
相关文章
-
- GPT-4王者加冕!读图做题性能炸天,凭自己就能考上斯坦福
- 2023-04-25 501浏览
-
- 单块V100训练模型提速72倍!尤洋团队新成果获AAAI 2023杰出论文奖
- 2023-04-24 501浏览
-
- ChatGPT 真的会接管世界吗?
- 2023-04-13 501浏览
-
- VR的终极形态是「假眼」?Neuralink前联合创始人掏出新产品:科学之眼!
- 2023-04-30 501浏览
-
- 实现实时制造可视性优势有哪些?
- 2023-04-15 501浏览

