高亮反光终结者?谷歌NeRF-Casting:光线追踪就能搞定!
怎么入门科技周边编程?需要学习哪些知识点?这是新手们刚接触编程时常见的问题;下面golang学习网就来给大家整理分享一些知识点,希望能够给初学者一些帮助。本篇文章就来介绍《高亮反光终结者?谷歌NeRF-Casting:光线追踪就能搞定!》,涉及到,有需要的可以收藏一下
NeRF不再“畏惧”近处高光反射
早期的NeRF变体使用多层感知器(MLPs)从三维坐标映射到体积密度和视点相关的颜色,但是表示详细的三维几何和颜色所需的大型MLPs训练和评估速度极慢。最近的工作专注于通过用类似体素网格的数据结构或网格和小型MLPs的组合替代大型MLPs,使NeRF更加高效。虽然可以扩展到表示详细的大规模场景,但其优势仅限于三维几何和主要的漫反射颜色。
扩展NeRF建模现实的视点相关外观的能力仍然是一个挑战。当前先进的用于闪亮物体视图合成的模型在两个方面存在限制:
- 只能合成远处环境光照的准确反射,而在渲染近处场景内容的逼真反射方面表现不佳。
- 依赖大型MLPs来表示任何点的视点相关出射辐射,难以扩展到具有详细反射的更大现实场景。
NeRF-Casting是一种通过将光线追踪引入NeRF渲染模型来解决这些问题的方法。其主要涉及3个领域:
- 反射建模:传统的反射建模方法使用物理定律和基于图像的技术来表示表面反射特性。近年来,神经网络被用于学习反射特性,特别是在复杂材料和光照条件下。
- 光线追踪:光线追踪是一种广泛使用的计算机图形技术,通过模拟光线与物体表面的交互来生成逼真的图像。光线追踪技术已被用于生成高质量的反射和折射效果,但计算复杂度高。
- 三维成像:三维成像技术涉及从多视图数据生成三维表示。NeRF和其他神经网络方法通过学习场景的三维几何和颜色分布,生成新视图,从而在三维成像领域取得了重大进展。

NeRF-Casting不是在每个相机射线的点上查询昂贵的MLP以获取视点相关的外观,而是从这些点投射反射线到NeRF几何中,采样正确抗锯齿的反射场景内内容特征,并使用一个小型MLP将这些特征解码为反射颜色。将光线投射到恢复的NeRF中自然地合成近处和远处内部内容的一致反射。通过光线追踪计算外观减少了在场景中的每个点用大型MLP表示高度详细的视点相关函数的负担。
感兴趣的朋友可以看视频效果:https://nerf-casting.github.io
模型细节
NeRF-Casting的三个主要目标:
- 希望在不依赖计算量大的MLP评估的情况下建模出准确、详细的反射。
- 希望仅投射少量的反射光线。
- 希望最小化在这些反射光线的每个点上查询我们表示所需的计算量。
基于Zip-NeRF[2]:利用多尺度哈希网格来存储三维特征,一个小型MLP(1层,宽度64)将这些特征解码为密度,一个较大的MLP(3层,宽度256)将这些特征解码为颜色。这意味着沿光线查询样本的密度和特征相对便宜。考虑到这些约束,按照以下流程来渲染镜面外观:
- 沿每条相机光线查询体积密度,以计算光线的预期终止点和表面法线。
- 在反射方向上通过预期终止点投射一个反射锥。
- 使用一个小型MLP将累积的反射特征与其他采样量(例如漫反射颜色特征和每个样本的混合权重)结合起来,为沿光线的每个样本生成一个颜色值。
- 将这些样本和密度进行阿尔法合成,得到最终颜色。

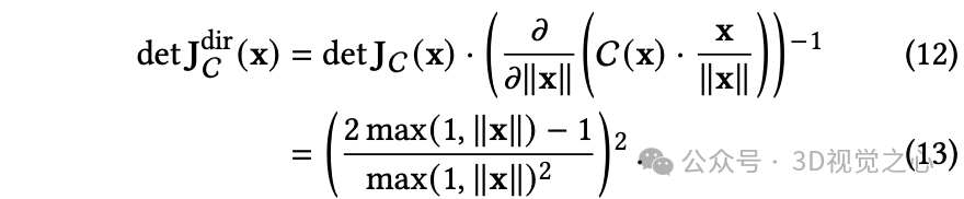
反射锥追踪


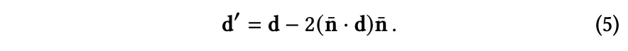
然后通过反射初始光线关于表面法线来构建一个新的反射光线方向






圆锥形反射特征
现在已经定义了一个vMF分布,涵盖了反射射线,目标是估计在vMF分布上的预期体积渲染特征,然后将其解码为反射颜色。这个预期特征可以写成:

使用蒙特卡洛方法对随机采样的射线进行积分估计是非常昂贵的,因为每个样本都需要沿着射线进行体积渲染。受Zip-NeRF的启发,使用一小组代表性样本结合特征减权来近似这个积分。然而与Zip-NeRF不同的是,我们将这两个操作都在二维方向域中执行,而不是在三维欧几里得空间中。
方向采样


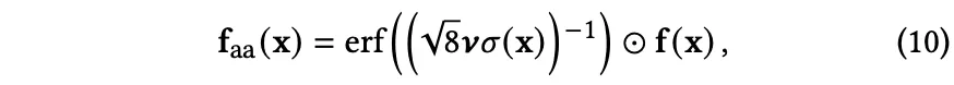
反射特征降权
上文描述的方向采样有助于选择一个小的代表性射线集合进行平均。然而,对于具有高粗糙度的表面,采样的射线可能相对于底层的3D网格单元格之间距离较远。这意味着方程9中的特征可能存在伪影,并且反射射线方向的微小变化可能导致外观上的大幅变化。
为了防止这种情况发生,将Zip-NeRF中的“特征降权”技术调整到方向设置中。通过将与vMF锥相比较小的体素对应的特征乘以一个小的乘数来实现这一点,减小它们对渲染颜色的影响。按照Zip-NeRF的做法,定义点 x 处的降权特征为:




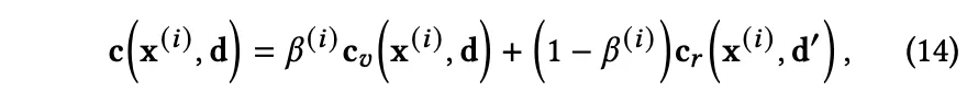
颜色解码器
颜色解码器的作用是为沿射线的每个采样点分配一种颜色,使用两种颜色分量的凸组合:

第一个颜色分量Cv类似于典型的 NeRF 视角相关外观模型:

第二个分量Cr,旨在模拟光泽外观,计算如下:


几何表示和正则化


效果欣赏




总结一下
NeRF-Casting是一种使用神经辐射场(NeRF)渲染包含高光物体的场景的方法。
方法:将反射锥从场景中的表面反射并通过NeRF进行追踪,并结合了一套新颖的技术来抗锯齿这些反射,从而能够合成远处和近场内容的准确详细反射,这些反射在表面上始终如一且平滑地移动。
讨论:在定量上优于现有的视图合成技术,特别是对于显示详细镜面反射的光滑表面。定性的视觉改进在图像指标方面的定量改进远远超过了。尤其值得注意的是,该方法合成的反射平滑而一致的运动,比基线方法呈现的视角相关外观更加逼真。这表明标准的图像误差度量(PSNR、SSIM等)不足以评估视角相关外观的质量。
到这里,我们也就讲完了《高亮反光终结者?谷歌NeRF-Casting:光线追踪就能搞定!》的内容了。个人认为,基础知识的学习和巩固,是为了更好的将其运用到项目中,欢迎关注golang学习网公众号,带你了解更多关于谷歌,光线追踪的知识点!
消息称京东健康裁撤家医事业部:负责人谭天弘转岗,部分员工离职
- 上一篇
- 消息称京东健康裁撤家医事业部:负责人谭天弘转岗,部分员工离职
- 下一篇
- 用于精确目标检测的多网格冗余边界框标注
-
- 科技周边 · 人工智能 | 9分钟前 |
- 可灵AI人物慢动作生成技巧
- 168浏览 收藏
-
- 科技周边 · 人工智能 | 14分钟前 |
- 可灵AI职场教学:PPT制作与办公演示视频
- 230浏览 收藏
-
- 科技周边 · 人工智能 | 14分钟前 |
- Midjourney一键生成包装设计指南
- 105浏览 收藏
-
- 科技周边 · 人工智能 | 19分钟前 | 百度AI工具
- 百度AI工具网页版,即点即用
- 415浏览 收藏
-
- 科技周边 · 人工智能 | 26分钟前 |
- 百度AI平台多语言识别切换方法
- 199浏览 收藏
-
- 科技周边 · 人工智能 | 29分钟前 |
- WorkBuddy与通用大模型有何不同?为何不直接用大模型?
- 391浏览 收藏
-
- 科技周边 · 人工智能 | 35分钟前 |
- Recraft AI生成矢量图标方法详解
- 303浏览 收藏
-
- 科技周边 · 人工智能 | 54分钟前 |
- Recraft AI生成游戏UI技巧详解
- 132浏览 收藏
-
- 科技周边 · 人工智能 | 55分钟前 |
- ChatGPT一键生成周报教程
- 468浏览 收藏
-
- 科技周边 · 人工智能 | 1小时前 |
- 如何用Perplexity查Web3开发框架与ERC-721标准
- 313浏览 收藏
-
- 科技周边 · 人工智能 | 1小时前 |
- Figma变量导出失败?付费版+工具解决方法
- 493浏览 收藏
-
- 科技周边 · 人工智能 | 1小时前 |
- Canva AI设计怎么用?新手入门教程
- 465浏览 收藏
-
- 前端进阶之JavaScript设计模式
- 设计模式是开发人员在软件开发过程中面临一般问题时的解决方案,代表了最佳的实践。本课程的主打内容包括JS常见设计模式以及具体应用场景,打造一站式知识长龙服务,适合有JS基础的同学学习。
- 543次学习
-
- GO语言核心编程课程
- 本课程采用真实案例,全面具体可落地,从理论到实践,一步一步将GO核心编程技术、编程思想、底层实现融会贯通,使学习者贴近时代脉搏,做IT互联网时代的弄潮儿。
- 516次学习
-
- 简单聊聊mysql8与网络通信
- 如有问题加微信:Le-studyg;在课程中,我们将首先介绍MySQL8的新特性,包括性能优化、安全增强、新数据类型等,帮助学生快速熟悉MySQL8的最新功能。接着,我们将深入解析MySQL的网络通信机制,包括协议、连接管理、数据传输等,让
- 500次学习
-
- JavaScript正则表达式基础与实战
- 在任何一门编程语言中,正则表达式,都是一项重要的知识,它提供了高效的字符串匹配与捕获机制,可以极大的简化程序设计。
- 487次学习
-
- 从零制作响应式网站—Grid布局
- 本系列教程将展示从零制作一个假想的网络科技公司官网,分为导航,轮播,关于我们,成功案例,服务流程,团队介绍,数据部分,公司动态,底部信息等内容区块。网站整体采用CSSGrid布局,支持响应式,有流畅过渡和展现动画。
- 485次学习
-
- ChatExcel酷表
- ChatExcel酷表是由北京大学团队打造的Excel聊天机器人,用自然语言操控表格,简化数据处理,告别繁琐操作,提升工作效率!适用于学生、上班族及政府人员。
- 4505次使用
-
- Any绘本
- 探索Any绘本(anypicturebook.com/zh),一款开源免费的AI绘本创作工具,基于Google Gemini与Flux AI模型,让您轻松创作个性化绘本。适用于家庭、教育、创作等多种场景,零门槛,高自由度,技术透明,本地可控。
- 4859次使用
-
- 可赞AI
- 可赞AI,AI驱动的办公可视化智能工具,助您轻松实现文本与可视化元素高效转化。无论是智能文档生成、多格式文本解析,还是一键生成专业图表、脑图、知识卡片,可赞AI都能让信息处理更清晰高效。覆盖数据汇报、会议纪要、内容营销等全场景,大幅提升办公效率,降低专业门槛,是您提升工作效率的得力助手。
- 4734次使用
-
- 星月写作
- 星月写作是国内首款聚焦中文网络小说创作的AI辅助工具,解决网文作者从构思到变现的全流程痛点。AI扫榜、专属模板、全链路适配,助力新人快速上手,资深作者效率倍增。
- 6576次使用
-
- MagicLight
- MagicLight.ai是全球首款叙事驱动型AI动画视频创作平台,专注于解决从故事想法到完整动画的全流程痛点。它通过自研AI模型,保障角色、风格、场景高度一致性,让零动画经验者也能高效产出专业级叙事内容。广泛适用于独立创作者、动画工作室、教育机构及企业营销,助您轻松实现创意落地与商业化。
- 5097次使用
-
- GPT-4王者加冕!读图做题性能炸天,凭自己就能考上斯坦福
- 2023-04-25 501浏览
-
- 单块V100训练模型提速72倍!尤洋团队新成果获AAAI 2023杰出论文奖
- 2023-04-24 501浏览
-
- ChatGPT 真的会接管世界吗?
- 2023-04-13 501浏览
-
- VR的终极形态是「假眼」?Neuralink前联合创始人掏出新产品:科学之眼!
- 2023-04-30 501浏览
-
- 实现实时制造可视性优势有哪些?
- 2023-04-15 501浏览

