清华、华为等提出iVideoGPT:专攻交互式世界模型
来源:机器之心
2024-05-28 19:42:11
0浏览
收藏
来到golang学习网的大家,相信都是编程学习爱好者,希望在这里学习科技周边相关编程知识。下面本篇文章就来带大家聊聊《清华、华为等提出iVideoGPT:专攻交互式世界模型》,介绍一下,希望对大家的知识积累有所帮助,助力实战开发!
iVideoGPT,满足世界模型高交互性需求。

论文地址:https://arxiv.org/pdf/2405.15223 论文标题:iVideoGPT: Interactive VideoGPTs are Scalable World Models

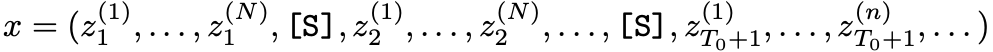
包含丰富的上下文信息,通过 N 个 token 独立地进行 token 化和重构:


首先,它显著减少了 token 化后视频的序列长度,该长度随帧数的增加而线性增长,但增长率 n 要小得多; 其次,通过条件编码,预测后续 token 的 transformer 可以更容易地保持上下文的时间一致性,并专注于建模必要的动态信息。

。特殊的 slot token [S] 被插入以划定帧边界,并促进额外低维模态(如动作)的融合。如图 3b 所示,一个类似 GPT 的自回归 transformer 被用于通过逐帧生成 next-token 来进行交互式视频预测。在这项工作中,该团队使用了 GPT-2 的模型大小,但采用了 LLaMA 架构,以便利用 LLM 架构的最新创新,如旋转位置嵌入。






以上就是本文的全部内容了,是否有顺利帮助你解决问题?若是能给你带来学习上的帮助,请大家多多支持golang学习网!更多关于科技周边的相关知识,也可关注golang学习网公众号。
版本声明
本文转载于:机器之心 如有侵犯,请联系study_golang@163.com删除
探索Java框架与前端框架的跨语言通信
- 上一篇
- 探索Java框架与前端框架的跨语言通信
- 下一篇
- Java框架对团队敏捷开发的促进作用?
查看更多
最新文章
-
- 科技周边 · 人工智能 | 5分钟前 |
- Claude AI 助力高效编写 Git 提交信息
- 374浏览 收藏
-
- 科技周边 · 人工智能 | 11分钟前 |
- WorkBuddy集成ELK或CLS日志配置方法
- 410浏览 收藏
-
- 科技周边 · 人工智能 | 20分钟前 |
- Perplexity查软件快捷键方法:搜索软件名加Shortcuts
- 203浏览 收藏
-
- 科技周边 · 人工智能 | 23分钟前 | openclaw
- OpenClawAI支持语音输入输出吗?
- 148浏览 收藏
-
- 科技周边 · 人工智能 | 28分钟前 | Perplexity
- Perplexity查找Kindle电子书方法
- 437浏览 收藏
-
- 科技周边 · 人工智能 | 35分钟前 |
- Claude账号长期不登录会注销吗?
- 400浏览 收藏
-
- 科技周边 · 人工智能 | 52分钟前 |
- Perplexity防插件窃取搜索意图方法
- 362浏览 收藏
-
- 科技周边 · 人工智能 | 1小时前 | Seedance 2.0
- Seedance 2.0适合口播吗?口播神器推荐
- 421浏览 收藏
-
- 科技周边 · 人工智能 | 1小时前 |
- DeepSeek开源资源全汇总,从入门到精通
- 366浏览 收藏
-
- 科技周边 · 人工智能 | 1小时前 |
- Hermes Agent功能扩展全攻略
- 243浏览 收藏
-
- 科技周边 · 人工智能 | 1小时前 |
- 如何验证WorkBuddy安装包安全性?
- 331浏览 收藏
-
- 科技周边 · 人工智能 | 1小时前 | Kimi Kimi智能助手
- KIMI官网PC版使用技巧与快捷键
- 237浏览 收藏
查看更多
课程推荐
-
- 前端进阶之JavaScript设计模式
- 设计模式是开发人员在软件开发过程中面临一般问题时的解决方案,代表了最佳的实践。本课程的主打内容包括JS常见设计模式以及具体应用场景,打造一站式知识长龙服务,适合有JS基础的同学学习。
- 543次学习
-
- GO语言核心编程课程
- 本课程采用真实案例,全面具体可落地,从理论到实践,一步一步将GO核心编程技术、编程思想、底层实现融会贯通,使学习者贴近时代脉搏,做IT互联网时代的弄潮儿。
- 516次学习
-
- 简单聊聊mysql8与网络通信
- 如有问题加微信:Le-studyg;在课程中,我们将首先介绍MySQL8的新特性,包括性能优化、安全增强、新数据类型等,帮助学生快速熟悉MySQL8的最新功能。接着,我们将深入解析MySQL的网络通信机制,包括协议、连接管理、数据传输等,让
- 500次学习
-
- JavaScript正则表达式基础与实战
- 在任何一门编程语言中,正则表达式,都是一项重要的知识,它提供了高效的字符串匹配与捕获机制,可以极大的简化程序设计。
- 487次学习
-
- 从零制作响应式网站—Grid布局
- 本系列教程将展示从零制作一个假想的网络科技公司官网,分为导航,轮播,关于我们,成功案例,服务流程,团队介绍,数据部分,公司动态,底部信息等内容区块。网站整体采用CSSGrid布局,支持响应式,有流畅过渡和展现动画。
- 485次学习
查看更多
AI推荐
-
- ChatExcel酷表
- ChatExcel酷表是由北京大学团队打造的Excel聊天机器人,用自然语言操控表格,简化数据处理,告别繁琐操作,提升工作效率!适用于学生、上班族及政府人员。
- 4515次使用
-
- Any绘本
- 探索Any绘本(anypicturebook.com/zh),一款开源免费的AI绘本创作工具,基于Google Gemini与Flux AI模型,让您轻松创作个性化绘本。适用于家庭、教育、创作等多种场景,零门槛,高自由度,技术透明,本地可控。
- 4865次使用
-
- 可赞AI
- 可赞AI,AI驱动的办公可视化智能工具,助您轻松实现文本与可视化元素高效转化。无论是智能文档生成、多格式文本解析,还是一键生成专业图表、脑图、知识卡片,可赞AI都能让信息处理更清晰高效。覆盖数据汇报、会议纪要、内容营销等全场景,大幅提升办公效率,降低专业门槛,是您提升工作效率的得力助手。
- 4742次使用
-
- 星月写作
- 星月写作是国内首款聚焦中文网络小说创作的AI辅助工具,解决网文作者从构思到变现的全流程痛点。AI扫榜、专属模板、全链路适配,助力新人快速上手,资深作者效率倍增。
- 6600次使用
-
- MagicLight
- MagicLight.ai是全球首款叙事驱动型AI动画视频创作平台,专注于解决从故事想法到完整动画的全流程痛点。它通过自研AI模型,保障角色、风格、场景高度一致性,让零动画经验者也能高效产出专业级叙事内容。广泛适用于独立创作者、动画工作室、教育机构及企业营销,助您轻松实现创意落地与商业化。
- 5103次使用
查看更多
相关文章
-
- GPT-4王者加冕!读图做题性能炸天,凭自己就能考上斯坦福
- 2023-04-25 501浏览
-
- 单块V100训练模型提速72倍!尤洋团队新成果获AAAI 2023杰出论文奖
- 2023-04-24 501浏览
-
- ChatGPT 真的会接管世界吗?
- 2023-04-13 501浏览
-
- VR的终极形态是「假眼」?Neuralink前联合创始人掏出新产品:科学之眼!
- 2023-04-30 501浏览
-
- 实现实时制造可视性优势有哪些?
- 2023-04-15 501浏览

