SOTA性能,多尺度学习,中山大学提出蛋白质-药物相互作用AI框架
从现在开始,我们要努力学习啦!今天我给大家带来《SOTA性能,多尺度学习,中山大学提出蛋白质-药物相互作用AI框架》,感兴趣的朋友请继续看下去吧!下文中的内容我们主要会涉及到等等知识点,如果在阅读本文过程中有遇到不清楚的地方,欢迎留言呀!我们一起讨论,一起学习!

编辑 | 紫罗
蛋白质、药物和其他生物分子之间的相互作用,在各种生物过程中发挥着至关重要的作用。了解这些相互作用对于破译生物学过程背后的分子机制和开发新的治疗策略至关重要。 蛋白质是细胞中最重要的分子之一,它们在细胞内执行各种功能。药物通常通过与特定的蛋白质相互作用来调节生理过程。这些相互作用可以促进或抑制特定的分子信号传递途
当前的多尺度计算方法,常常过于依赖于单一尺度,而对其他尺度的拟合不足。这可能与多尺度学习的不平多尺度向性和固有的贪婪性有关。
为了缓解优化不平衡,中山大学和上海交通大学的研究人员提出了一种基于变量期望最大化的多尺度表示学习框架 MUSE,它可以有效地整合多尺度信息进行学习。该策略通过相互监督和迭代优化,有效融合原子结构和分子网络尺度之间的多尺度信息。这种方法可以提供更大程度的信息传递和学习。该策略通过相互监督和迭代优化,有效融合原子结构和分子网络尺度之间的多尺度信息。
MUSE+不仅在分子相互作用(蛋白质-蛋白质、药物-蛋白质和药物)任务方面优于当前最先进的模型,而且在原子结构尺度的蛋白质界面预测方面也优于当前最先进的模型。更重要的是,多尺度学习框架可扩展到其他尺度的计算药物发现。
该研究以「A variational expectation-maximization framework for balanced multi-scale learning of protein and drug interactions」为题,于 5 月 25 日发布在《Nature Communications》上。

生物分子间相互作用
蛋白质功能的特点是与蛋白质、药物和其他生物分子的相互作用。了解这些相互作用对于破译生物过程的分子机制和开发新的治疗策略至关重要。然而,与实验相互作用相关的需求和成本的大幅增长,需要计算工具来自动预测和理解生物分子之间的相互作用。 为了满足这些需求和成本的增长,需要计算工具来自动预测和理解生物分子之间的相互作用。
纯粹从结构预测这些相互作用是结构生物学中最重要的挑战之一。目前的计算方法大多基于分子网络或结构信息来预测相互作用,并没有将它们集成到统一的多尺度框架中。
虽然一些多视图学习方法致力于融合多尺度信息,学习多尺度表示的直观方法是将分子图与交互网络结合起来并共同优化它们。然而,由于多尺度学习的不平衡性和固有的贪婪性,这些模型通常集中依赖于单一尺度。无法有效地利用所有尺度相关的信息,并且泛化差。
此外,有效的多尺度框架不仅需要捕获不同尺度内的丰富信息,而且还需要很好地保留它们之间的潜在关系。
MUSE 用于学习蛋白质和药物多尺度信息
在此,中山大学研究团队提出了 MUSE,一种基于变量期望最大化(Expectation Maximization)的多尺度表示学习框架,它可以在多次迭代的交替过程中优化不同尺度。与严重依赖单尺度信息的现有方法相比,MUSE 通过相互监督和迭代优化,有效解决了多尺度学习中的优化不平衡问题。
MUSE 是一种多尺度学习方法,通过变分期望最大化(EM)框架,将分子结构建模和蛋白质与药物相互作用网络学习相结合。EM 框架在多次迭代的交替过程中优化两个模块,即期望步骤(E-step)和最大化步骤(M-step)。
在 E-step 期间,MUSE 利用每个生物分子的结构信息来学习有效的结构表示,以便在 M-step 中使用已知的相互作用和增强样本进行训练。它将蛋白质和药物对及其原子级结构信息作为输入,并通过 M-step 预测的相互作用进行增强。M-step 将分子级相互作用网络、结构嵌入和 E-step 的预测相互作用作为输入,并输出预测的相互作用。E-step 和 M-step 之间的迭代优化确保了分子结构和网络信息的交互捕获,并在两个尺度上具有不同的学习率。
相互监督确保每个尺度模型以适当的方式学习,从而能够利用不同尺度的有效信息。该框架将在蛋白质和药物之间相互作用的多个多尺度中得到证明。分析了 MUSE 减轻了多尺度学习中的不平衡特征,并有效地整合了来自不同尺度的分层和互补信息。

在多尺度任务上优于当前最先进的模型
利用原子结构信息改进分子网络尺度的预测
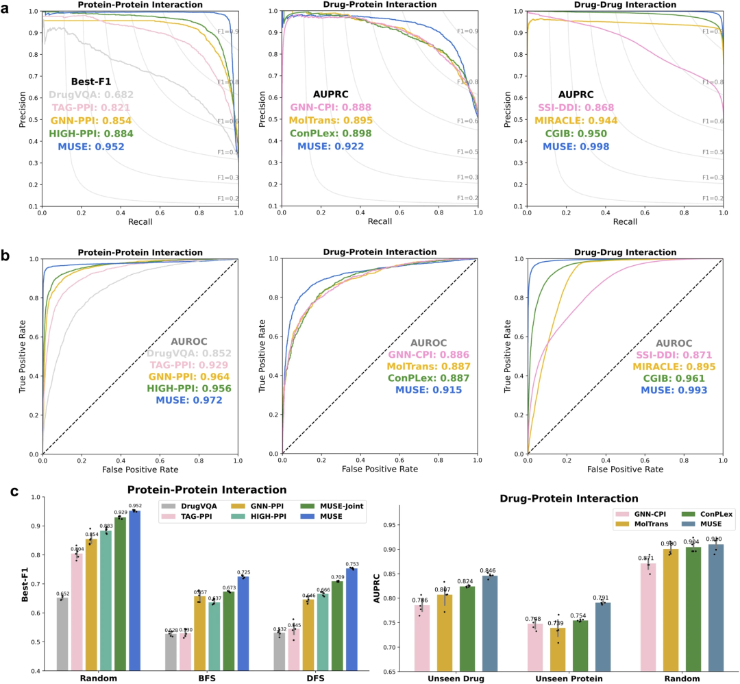
为了评估其方法,首先,研究人员利用 MUSE 整合原子结构信息来改进分子网络尺度(scale)预测。MUSE 在蛋白质-蛋白质相互作用(PPI)、药物-蛋白质相互作用(DPI)和药物-药物相互作用(DDI)这三个多尺度相互作用预测任务上取得了最先进的表现。

从分子网络尺度改进原子结构尺度的预测
除了利用原子结构信息改进分子网络尺度预测之外,研究人员还进一步研究了 MUSE 在原子结构尺度上学习和预测结构特性的能力,包括预测与 PPI 相关的界面接触和结合位点。
为了评估蛋白质链间接触的预测,将 MUSE 与 DIPS-Plus 基准测试中最先进的方法进行了比较。MUSE 始终优于所有其他方法,验证了其在原子结构预测中的有效性和适应性。

进一步评估 MUSE 以预测残基是否直接参与蛋白质-蛋白质相互作用。结果表明,MUSE 中分子网络规模的学习可以为原子结构尺度的预测提供有价值的见解。
通过迭代优化缓解多尺度学习的不平衡特性
为了探究为什么 MUSE 能够取得多尺度表示的优越性能,研究人员针对多尺度学习的不平衡特性分析了 MUSE 的学习能力。

结果表明,MUSE有效缓解了多尺度学习中的不平衡特性和贪婪学习,保证了训练过程中不同尺度信息的综合利用。此外,利用率(utilization rate)分析的实验使研究人员能够具体了解模型学到了什么,并证明使用 MUSE 来平衡模型在不同尺度上的学习可以增强泛化能力。
所学习的多尺度表征的可视化和解释
为了更好地理解学习到的多尺度表示,研究人员从不同的角度研究了 MUSE 学习到的多尺度表示,包括(1)MUSE 捕获 PPI 中涉及的原子结构信息(即结构基序和嵌入)的能力,以及(2)学习到的原子结构和分子网络表示之间的相互监督。

作为结合位点预测的示例(PDB id:3CQQ-A),MUSE 可以准确识别属于结合位点的残基,准确率为 97.7%。这表明 MUSE 中的相互监督有助于原子结构尺度模型学习与相互作用相关的关键子结构。
最后,研究人员还进行了消融研究,来研究原子结构尺度预测的伪标签对分子网络尺度的影响。
虽然 MUSE 在基准测试中展示了最先进的性能,但仍有可能提高其处理噪声和不完整的多尺度下游任务的能力。这可以通过知识图和可解释的 AI 技术将先验知识结合起来。另一方面,该概念性多尺度框架也可扩展到其他尺度的计算药物发现。
今天带大家了解了的相关知识,希望对你有所帮助;关于科技周边的技术知识我们会一点点深入介绍,欢迎大家关注golang学习网公众号,一起学习编程~
比亚迪新能源汽车大批量抵达巴西,创苏阿佩港新纪录
- 上一篇
- 比亚迪新能源汽车大批量抵达巴西,创苏阿佩港新纪录
- 下一篇
- 超越Devin,姚班带队OpenCSG创造大模型编程新世界纪录
-
- 科技周边 · 人工智能 | 1分钟前 |
- 大语言模型LLM是什么?一篇文章讲透AI大脑
- 394浏览 收藏
-
- 科技周边 · 人工智能 | 29分钟前 |
- Minimax视频多场景转换提示词技巧
- 126浏览 收藏
-
- 科技周边 · 人工智能 | 36分钟前 |
- SWOT进阶用法:TOWS矩阵策略生成指南
- 215浏览 收藏
-
- 科技周边 · 人工智能 | 48分钟前 |
- AIGC查重官网入口及知网检测链接
- 352浏览 收藏
-
- 科技周边 · 人工智能 | 52分钟前 |
- PVEso特效制作教程:一键添加动态滤镜
- 102浏览 收藏
-
- 科技周边 · 人工智能 | 1小时前 |
- Notion AI任务清单怎么设置及操作方法
- 114浏览 收藏
-
- 科技周边 · 人工智能 | 1小时前 |
- 骡子快跑批量私信方法及脚本使用教程
- 268浏览 收藏
-
- 科技周边 · 人工智能 | 1小时前 |
- AI画板大小怎么调?详细步骤教程
- 185浏览 收藏
-
- 科技周边 · 人工智能 | 1小时前 |
- DeepSeek提示无法加载思维链图形,如何解决?
- 174浏览 收藏
-
- 科技周边 · 人工智能 | 1小时前 |
- DeepSeek Chat官网及网页版体验分享
- 135浏览 收藏
-
- 科技周边 · 人工智能 | 1小时前 |
- 千问AI视频生成器使用教程详解
- 374浏览 收藏
-
- 科技周边 · 人工智能 | 2小时前 | 人工智能 AI工具
- 2025图片转PPT AI工具Top10榜单
- 490浏览 收藏
-
- 前端进阶之JavaScript设计模式
- 设计模式是开发人员在软件开发过程中面临一般问题时的解决方案,代表了最佳的实践。本课程的主打内容包括JS常见设计模式以及具体应用场景,打造一站式知识长龙服务,适合有JS基础的同学学习。
- 543次学习
-
- GO语言核心编程课程
- 本课程采用真实案例,全面具体可落地,从理论到实践,一步一步将GO核心编程技术、编程思想、底层实现融会贯通,使学习者贴近时代脉搏,做IT互联网时代的弄潮儿。
- 516次学习
-
- 简单聊聊mysql8与网络通信
- 如有问题加微信:Le-studyg;在课程中,我们将首先介绍MySQL8的新特性,包括性能优化、安全增强、新数据类型等,帮助学生快速熟悉MySQL8的最新功能。接着,我们将深入解析MySQL的网络通信机制,包括协议、连接管理、数据传输等,让
- 500次学习
-
- JavaScript正则表达式基础与实战
- 在任何一门编程语言中,正则表达式,都是一项重要的知识,它提供了高效的字符串匹配与捕获机制,可以极大的简化程序设计。
- 487次学习
-
- 从零制作响应式网站—Grid布局
- 本系列教程将展示从零制作一个假想的网络科技公司官网,分为导航,轮播,关于我们,成功案例,服务流程,团队介绍,数据部分,公司动态,底部信息等内容区块。网站整体采用CSSGrid布局,支持响应式,有流畅过渡和展现动画。
- 485次学习
-
- ChatExcel酷表
- ChatExcel酷表是由北京大学团队打造的Excel聊天机器人,用自然语言操控表格,简化数据处理,告别繁琐操作,提升工作效率!适用于学生、上班族及政府人员。
- 4224次使用
-
- Any绘本
- 探索Any绘本(anypicturebook.com/zh),一款开源免费的AI绘本创作工具,基于Google Gemini与Flux AI模型,让您轻松创作个性化绘本。适用于家庭、教育、创作等多种场景,零门槛,高自由度,技术透明,本地可控。
- 4582次使用
-
- 可赞AI
- 可赞AI,AI驱动的办公可视化智能工具,助您轻松实现文本与可视化元素高效转化。无论是智能文档生成、多格式文本解析,还是一键生成专业图表、脑图、知识卡片,可赞AI都能让信息处理更清晰高效。覆盖数据汇报、会议纪要、内容营销等全场景,大幅提升办公效率,降低专业门槛,是您提升工作效率的得力助手。
- 4463次使用
-
- 星月写作
- 星月写作是国内首款聚焦中文网络小说创作的AI辅助工具,解决网文作者从构思到变现的全流程痛点。AI扫榜、专属模板、全链路适配,助力新人快速上手,资深作者效率倍增。
- 6119次使用
-
- MagicLight
- MagicLight.ai是全球首款叙事驱动型AI动画视频创作平台,专注于解决从故事想法到完整动画的全流程痛点。它通过自研AI模型,保障角色、风格、场景高度一致性,让零动画经验者也能高效产出专业级叙事内容。广泛适用于独立创作者、动画工作室、教育机构及企业营销,助您轻松实现创意落地与商业化。
- 4836次使用
-
- GPT-4王者加冕!读图做题性能炸天,凭自己就能考上斯坦福
- 2023-04-25 501浏览
-
- 单块V100训练模型提速72倍!尤洋团队新成果获AAAI 2023杰出论文奖
- 2023-04-24 501浏览
-
- ChatGPT 真的会接管世界吗?
- 2023-04-13 501浏览
-
- VR的终极形态是「假眼」?Neuralink前联合创始人掏出新产品:科学之眼!
- 2023-04-30 501浏览
-
- 实现实时制造可视性优势有哪些?
- 2023-04-15 501浏览

