时间序列分析的表示学习时代来了?
在科技周边实战开发的过程中,我们经常会遇到一些这样那样的问题,然后要卡好半天,等问题解决了才发现原来一些细节知识点还是没有掌握好。今天golang学习网就整理分享《时间序列分析的表示学习时代来了?》,聊聊,希望可以帮助到正在努力赚钱的你。
表示学习作为深度学习中的核心,近期越来越多的被应用到了时间序列领域中,时间序列分析的表示学习时代已经来了。本文为大家带来了2020年以来顶会的5篇时间序列表示学习相关的核心工作梳理。

1.Unsupervised Scalable Representation Learning for Multivariate Time Series(NIPS'20)
本文的时间序列表示学习方法思路来源于经典的词向量模型CBOW。CBOW中的假设是,一个单词的上下文表示应该和该单词的表示比较近,同时和其他随机采样的单词表示比较远。本文将这种思路应用到时间序列表示学习中,首先需要构造CBOW中的上下文(context)和随机负样本,构造方法如下图所示。首先选择一个时间序列xref,以及xref中的一个子序列xpos。,xref可以看成是xpos的context。同时,随机从其他时间序列,或者当前时间序列的其他时间片段中采样多个负样本xneg。这样就可以构造类似CBOW的损失函数了,让xref和xpos离得近,同时让xref和其他负样本xneg距离远。

在模型结构上,本文采用了多层空洞卷积的结构。这部分模型结构在之前的文章中有过详细介绍。

2.Unsupervised representation learning for time series with temporal neighborhood coding(ICLR'21)
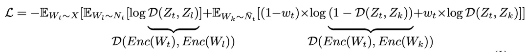
在本文提出的方法在正负样本本的选择上和损失函数的设计上相比上一篇文章有一定区别。首先是正负样本的选择,对于一个以时刻t为中心的时间序列,文中采用一个高斯分布来划定其正样本的范围。高斯分布以t为中心,用一个合适的标准差来确定正样本的宽度。高斯分布以t为中心,另一个参数是时间窗口的范围。对于时间窗口的选择,文中采用了ADF检验的方法选择最优的窗口跨度。如果时间窗口过长,会导致采样的正样本和负样本的正样本本和原样本本不相关的情况;如果时间窗口过小,会导致采样的正样本和负样本的正样本本和原样本本重叠部分太多。ADF检验可以检测出时间序列在保持稳定的时间窗口范围内的最长递增序列,以此选择最适合的采样范围。

在损失函数方面,文中主要解决的是伪负样本的问题。如果将上面选定的窗口外的样本都视为负样本,很有可能会出现伪负样本的情况,即本来是和原样本相关的,但因为距离原样本比较远而被误认为是负样本。例如时间序列是以年为周期的,时间窗口选择的是1个月,可能会把去年同期的序列认为是负样本。这会影响模型训练,使模型收敛困难。为了解决这个问题,本文将窗口外的样本不视为负样本,而是视为没有无label样本。在损失函数中,给每个样本设定一个权重,这个权重表示该样本为正样本的概率。这种方法也被称为Positive-Unlabeled (PU) learning。最终的损失函数可以表示为如下形式:

3. A transformer-based framework for multivariate time series representation learning(KDD'22)
这篇文章借鉴了预训练语言模型Transformer的思路,希望能够在多元时间序列上通过无监督的方法,借助Transformer模型结构,学习良好的多元时间序列表示。本文重点在于针对多元时间序列设计的无监督预训练任务。如下图右侧,对于输入的多元时间序列,会mask掉一定比例的子序列(不能太短),并且每个变量分别mask,而不是mask掉同一段时间的所有变量。预训练的优化目标为还原整个多元时间序列。通过这种方式,让模型在预测被mask掉的部分时,既能考虑前面、后面的序列,也能考虑同一时间段没有被mask的序列。

下图展示了无监督预训练时间序列模型对时间序列预测任务带来的效果提升。左侧的图表示,不同有label数据量下,是否使用无监督预训练的RMSE效果对比。可以看到,无论有label数据量有多少,增加无监督预训练都可以提升预测效果。右侧图表示使用的无监督预训练数据量越大,最终的时间序列预测拟合效果越好。

4. Time-series representation learning via temporal and contextual contrasting(IJCAI'21)
本文采用对比学习的方式进行时间序列表示学习。首先对于同一个时间序列,使用strong和weak两种数据增强方法生成原始序列的两个view。Strong Augmentation指的是将原始序列划分成多个片段后打乱顺序,再加入一些随机扰动;Weak Augmentation指的是对原始序列进行缩放或平移。

接下来,将strong和weak两个增强的序列输入到一个卷积时序网络中,得到每个序列在每个时刻的表示。文中使用了Temporal Contrasting和Contextual Contrasting两种对比学习方式。Temporal Contrasting指的是用一种view的context预测另一种view在未来时刻的表示,目标是让该表示和另一种view对应的真实表示更接近,这里使用了Transformer作为时序预测的主体模型,公式如下,其中c表示strong view的Transformer输出,Wk是一个映射函数,用于将c映射到对未来的预测,z是weak view未来时刻的表示:

Contextual Contrasting则是序列整体的对比学习,拉近相同序列生成的两个view的距离,让不同序列生成的view距离更远,公式如下,这里和图像对比学习的方式类似:

5. TS2Vec: Towards Universal Representation of Time Series(AAAI'22)
TS2Vec核心思路也是无监督表示学习,通过数据增强的方式构造正样本对,通过对比学习的优化目标让正样本对之间距离,负样本之间距离远。本文的核心点主要在两个方面,第一个是针对时间序列特点的正样本对构造和对比学习优化目标的设计,第二个是结合时间序列特点提出的层次对比学习。
对于正样本对构造方法,本文提出了适合时间序列的正样本对构造方法:Contextual Consistency。Contextual Consistency的核心思路是,两个不同增强视图的时间序列,在相同时间步的表示距离更接近。文中提出两种构造Contextual Consistency正样本对的方法。第一种是Timestamp Masking,在经过全连接后,随机mask一些时间步的向量表示,再通过CNN提取每个时间步的表示。第二种是Random Cropping,选取有公共部分的两个子序列互为正样本对。这两种方法都是让相同时间步的向量表示更近,如上图所示。

TS2Vec的另一个核心点是层次对比学习。时间序列和图像、自然语言的一个重要差异在于,通过不同频率的聚合,可以得到不同粒度的时间序列。例如,天粒度的时间序列,按周聚合可以得到周粒度的序列,按照月聚合可以得到月粒度的序列。为了将时间序列这种层次性融入对比学习中,TS2Vec提出了层次对比学习,算法流程如下。对于两个互为正样本对的时间序列,最开始通过CNN生成每个时间步向量表示,然后循环使用maxpooling在时间维度上进行聚合,文中使用的聚合窗口为2。每次聚合后,都计算对应时间步聚合向量的距离,让相同时间步距离近。聚合的粒度不断变粗,最终聚合成整个时间序列粒度,逐渐实现instance-level的表示学习。
终于介绍完啦!小伙伴们,这篇关于《时间序列分析的表示学习时代来了?》的介绍应该让你收获多多了吧!欢迎大家收藏或分享给更多需要学习的朋友吧~golang学习网公众号也会发布科技周边相关知识,快来关注吧!
英伟达新研究:上下文长度虚标严重,32K性能合格的都不多
- 上一篇
- 英伟达新研究:上下文长度虚标严重,32K性能合格的都不多
- 下一篇
- ICML2024高分!魔改注意力,让小模型能打两倍大的模型
-
- 科技周边 · 人工智能 | 23分钟前 | Seedance 2.0
- Seedance2.0画质提升效果如何?
- 493浏览 收藏
-
- 科技周边 · 人工智能 | 40分钟前 | 哩布哩布AI
- 哩布哩布AI官网入口与网址汇总
- 475浏览 收藏
-
- 科技周边 · 人工智能 | 41分钟前 | Seedance2.0
- Seedance2.0视频制作:批量生成Facebook广告技巧
- 471浏览 收藏
-
- 科技周边 · 人工智能 | 43分钟前 |
- 用提示词分析数据,ChatGPT表格处理技巧
- 370浏览 收藏
-
- 科技周边 · 人工智能 | 50分钟前 |
- KimiChat最新功能全面解析
- 144浏览 收藏
-
- 科技周边 · 人工智能 | 9小时前 |
- AI时代卡皮巴拉就业影响与应对策略
- 168浏览 收藏
-
- 科技周边 · 人工智能 | 9小时前 | Hermes Agent HermesAgent
- HermesAgent社区在哪?用户交流论坛推荐
- 107浏览 收藏
-
- 科技周边 · 人工智能 | 9小时前 | Llama 3
- Llama3虚拟机PCIe直通失败解决方法
- 354浏览 收藏
-
- 科技周边 · 人工智能 | 9小时前 | KimiChat kimichat官网
- Kimichat官网入口及访问方式汇总
- 271浏览 收藏
-
- 科技周边 · 人工智能 | 10小时前 |
- Lumen5制作AI动画视频技巧解析
- 282浏览 收藏
-
- 科技周边 · 人工智能 | 10小时前 | CanvaAI Canva可画
- Canva转PPT教程:格式转换全攻略
- 152浏览 收藏
-
- 科技周边 · 人工智能 | 10小时前 | 夸克AI 夸克AI大模型
- 夸克AI如何找行业研报?实用搜索技巧分享
- 482浏览 收藏
-
- 前端进阶之JavaScript设计模式
- 设计模式是开发人员在软件开发过程中面临一般问题时的解决方案,代表了最佳的实践。本课程的主打内容包括JS常见设计模式以及具体应用场景,打造一站式知识长龙服务,适合有JS基础的同学学习。
- 543次学习
-
- GO语言核心编程课程
- 本课程采用真实案例,全面具体可落地,从理论到实践,一步一步将GO核心编程技术、编程思想、底层实现融会贯通,使学习者贴近时代脉搏,做IT互联网时代的弄潮儿。
- 516次学习
-
- 简单聊聊mysql8与网络通信
- 如有问题加微信:Le-studyg;在课程中,我们将首先介绍MySQL8的新特性,包括性能优化、安全增强、新数据类型等,帮助学生快速熟悉MySQL8的最新功能。接着,我们将深入解析MySQL的网络通信机制,包括协议、连接管理、数据传输等,让
- 500次学习
-
- JavaScript正则表达式基础与实战
- 在任何一门编程语言中,正则表达式,都是一项重要的知识,它提供了高效的字符串匹配与捕获机制,可以极大的简化程序设计。
- 487次学习
-
- 从零制作响应式网站—Grid布局
- 本系列教程将展示从零制作一个假想的网络科技公司官网,分为导航,轮播,关于我们,成功案例,服务流程,团队介绍,数据部分,公司动态,底部信息等内容区块。网站整体采用CSSGrid布局,支持响应式,有流畅过渡和展现动画。
- 485次学习
-
- ChatExcel酷表
- ChatExcel酷表是由北京大学团队打造的Excel聊天机器人,用自然语言操控表格,简化数据处理,告别繁琐操作,提升工作效率!适用于学生、上班族及政府人员。
- 4476次使用
-
- Any绘本
- 探索Any绘本(anypicturebook.com/zh),一款开源免费的AI绘本创作工具,基于Google Gemini与Flux AI模型,让您轻松创作个性化绘本。适用于家庭、教育、创作等多种场景,零门槛,高自由度,技术透明,本地可控。
- 4819次使用
-
- 可赞AI
- 可赞AI,AI驱动的办公可视化智能工具,助您轻松实现文本与可视化元素高效转化。无论是智能文档生成、多格式文本解析,还是一键生成专业图表、脑图、知识卡片,可赞AI都能让信息处理更清晰高效。覆盖数据汇报、会议纪要、内容营销等全场景,大幅提升办公效率,降低专业门槛,是您提升工作效率的得力助手。
- 4703次使用
-
- 星月写作
- 星月写作是国内首款聚焦中文网络小说创作的AI辅助工具,解决网文作者从构思到变现的全流程痛点。AI扫榜、专属模板、全链路适配,助力新人快速上手,资深作者效率倍增。
- 6494次使用
-
- MagicLight
- MagicLight.ai是全球首款叙事驱动型AI动画视频创作平台,专注于解决从故事想法到完整动画的全流程痛点。它通过自研AI模型,保障角色、风格、场景高度一致性,让零动画经验者也能高效产出专业级叙事内容。广泛适用于独立创作者、动画工作室、教育机构及企业营销,助您轻松实现创意落地与商业化。
- 5069次使用
-
- GPT-4王者加冕!读图做题性能炸天,凭自己就能考上斯坦福
- 2023-04-25 501浏览
-
- 单块V100训练模型提速72倍!尤洋团队新成果获AAAI 2023杰出论文奖
- 2023-04-24 501浏览
-
- ChatGPT 真的会接管世界吗?
- 2023-04-13 501浏览
-
- VR的终极形态是「假眼」?Neuralink前联合创始人掏出新产品:科学之眼!
- 2023-04-30 501浏览
-
- 实现实时制造可视性优势有哪些?
- 2023-04-15 501浏览

