ICML 2024 Oral|外部引导的深度聚类新范式
来源:机器之心
2024-06-06 22:36:15
0浏览
收藏
编程并不是一个机械性的工作,而是需要有思考,有创新的工作,语法是固定的,但解决问题的思路则是依靠人的思维,这就需要我们坚持学习和更新自己的知识。今天golang学习网就整理分享《ICML 2024 Oral|外部引导的深度聚类新范式》,文章讲解的知识点主要包括,如果你对科技周边方面的知识点感兴趣,就不要错过golang学习网,在这可以对大家的知识积累有所帮助,助力开发能力的提升。

AIxiv专栏是本站发布学术、技术内容的栏目。过去数年,本站AIxiv专栏接收报道了2000多篇内容,覆盖全球各大高校与企业的顶级实验室,有效促进了学术交流与传播。如果您有优秀的工作想要分享,欢迎投稿或者联系报道。投稿邮箱:liyazhou@jiqizhixin.com;zhaoyunfeng@jiqizhixin.com

如果单从图像识别角度而言,两种犬类在外观上极为相似,拥有相近的色块像素,仅凭数据内部信恩息(如图像自身)可能难以对二者进行区分,但如果借助外部数据和知识,情况可能会大幅改观。

论文题目:Image Clustering with External Guidance 论文地址:https://arxiv.org/abs/2310.11989 代码地址:https://github.com/XLearning-SCU/2024-ICML-TAC

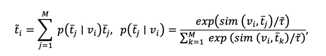
如何构建图像的文本表征; 如何协同图像和文本进行聚类。


当且仅当图像
属于第l个聚类,
表示第i张图像经过CLIP图像编码器后得到的表征。在得到图像语义中心后,为了选取具有代表性的名词集合,与常见的CLIP Zero-shot分类相反,本文将所有WordNet中的名词划分到k个图像语义中心,其中第i个名词属于第l和语义中心的概率为:
表示第i个名词经过预训练好的文本编码器后得到的表征。保留每个语义中心对应概率最高的名词,作为组成文本空间的候选词。
表示第i张图像对应的文本模态中的表征,
表示组成文本空间的第j个候选名词,
控制检索的平滑程度。
直接使用经典k-means聚类方法来实现图像聚类。
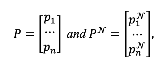
,并引入一个聚类网络f对每个图像表征做出聚类指派,在每次迭代中,计算所有图像和其邻居集合中随机的一个图像的聚类指派,记为:
其中
和
分别对应图像i及其邻居的聚类指派,P和
均为n*K的矩阵,其中K表示目标聚类个数。
,在每次迭代中,计算所有文本和其邻居集合中随机的一个文本的聚类指派,记为:
其中
和
分别对应文本i及其邻居的聚类指派,Q和Q^N同样均为n*K的矩阵。
分别表示聚类指派矩阵P,P^N,Q,Q^N的第i列,
为温度系数。该损失函数一方面能通过跨模态邻居之间的聚类指派一致性实现图文模态的协同,另一方面能扩大不同的类簇之间的差异性。
该损失函数在
和
均为独热(One-hot)编码时被最小化,因此能提升聚类指派的置信度。另外,为了防止模型将大量图像和文本都分配到个别类簇中,提出了以下损失函数:
和
分别表示图像和文本模态中整体的聚类分布。
其中
为权重参数。需要指出的是,上述损失函数只用来优化额外引入的聚类网络,并不修改CLIP预训练好的文本和图像编码器,因此其整体训练开销较小,实验表明所提出的方法在CIFAR-10的6万张图像上训练仅需使用1分钟。


如何选择合适的外部知识; 如何有效的整合外部知识以辅助聚类。
今天带大家了解了的相关知识,希望对你有所帮助;关于科技周边的技术知识我们会一点点深入介绍,欢迎大家关注golang学习网公众号,一起学习编程~
版本声明
本文转载于:机器之心 如有侵犯,请联系study_golang@163.com删除
辅导作业这么费劲的事,还是交给这个大模型吧
- 上一篇
- 辅导作业这么费劲的事,还是交给这个大模型吧
- 下一篇
- Stability AI开源47秒音频生成模型,虫鸣鸟叫、摇滚、鼓点都能生成
查看更多
最新文章
-
- 科技周边 · 人工智能 | 24分钟前 | CodeGeeX CodeGeeX生成Go代码保姆级教程
- CodeGeeX如何写Go命令行_CodeGeeX生成Cobra指令【Go命令】
- 433浏览 收藏
-
- 科技周边 · 人工智能 | 24分钟前 |
- WorkBuddy远程连接时键盘连按怎么办_调整网络延迟补偿参数
- 194浏览 收藏
-
- 科技周边 · 人工智能 | 31分钟前 | Hermes Agent HermesAgent
- Hermes Agent怎么实现无人值守_Hermes Agent全自动运行配置指南【全自动】
- 253浏览 收藏
-
- 科技周边 · 人工智能 | 35分钟前 |
- DeepSeek API的成本控制与优化技巧
- 124浏览 收藏
-
- 科技周边 · 人工智能 | 39分钟前 | Seedance2.0
- Seedance2.0全能参考模式详解:如何用图片/视频控制生成结果
- 475浏览 收藏
-
- 科技周边 · 人工智能 | 53分钟前 |
- 个人健康助手_本地部署医疗知识库问答
- 285浏览 收藏
-
- 科技周边 · 人工智能 | 1小时前 |
- NotionAI怎么整理学习资料_NotionAI知识管理方法说明【说明】
- 197浏览 收藏
-
- 科技周边 · 人工智能 | 1小时前 | DeepSeek
- DeepSeek账号被封了?常见违规操作与申诉解封流程【账号安全】
- 289浏览 收藏
-
- 科技周边 · 人工智能 | 1小时前 |
- mufy怎么生成歌词_mufy创作流行歌曲词作教程
- 201浏览 收藏
-
- 科技周边 · 人工智能 | 1小时前 | CodeGeeX
- CodeGeeX实现图片读取、修改与滤镜效果【图像处理】
- 430浏览 收藏
-
- 科技周边 · 人工智能 | 1小时前 | Hermes Agent HermesAgent
- Pytorch集成HermesAgent:本地模型推理加速
- 120浏览 收藏
-
- 科技周边 · 人工智能 | 1小时前 |
- workbuddy基础知识汇总_workbuddy入门知识详解【详解】
- 162浏览 收藏
查看更多
课程推荐
-
- 前端进阶之JavaScript设计模式
- 设计模式是开发人员在软件开发过程中面临一般问题时的解决方案,代表了最佳的实践。本课程的主打内容包括JS常见设计模式以及具体应用场景,打造一站式知识长龙服务,适合有JS基础的同学学习。
- 543次学习
-
- GO语言核心编程课程
- 本课程采用真实案例,全面具体可落地,从理论到实践,一步一步将GO核心编程技术、编程思想、底层实现融会贯通,使学习者贴近时代脉搏,做IT互联网时代的弄潮儿。
- 516次学习
-
- 简单聊聊mysql8与网络通信
- 如有问题加微信:Le-studyg;在课程中,我们将首先介绍MySQL8的新特性,包括性能优化、安全增强、新数据类型等,帮助学生快速熟悉MySQL8的最新功能。接着,我们将深入解析MySQL的网络通信机制,包括协议、连接管理、数据传输等,让
- 500次学习
-
- JavaScript正则表达式基础与实战
- 在任何一门编程语言中,正则表达式,都是一项重要的知识,它提供了高效的字符串匹配与捕获机制,可以极大的简化程序设计。
- 487次学习
-
- 从零制作响应式网站—Grid布局
- 本系列教程将展示从零制作一个假想的网络科技公司官网,分为导航,轮播,关于我们,成功案例,服务流程,团队介绍,数据部分,公司动态,底部信息等内容区块。网站整体采用CSSGrid布局,支持响应式,有流畅过渡和展现动画。
- 485次学习
查看更多
AI推荐
-
- ChatExcel酷表
- ChatExcel酷表是由北京大学团队打造的Excel聊天机器人,用自然语言操控表格,简化数据处理,告别繁琐操作,提升工作效率!适用于学生、上班族及政府人员。
- 4461次使用
-
- Any绘本
- 探索Any绘本(anypicturebook.com/zh),一款开源免费的AI绘本创作工具,基于Google Gemini与Flux AI模型,让您轻松创作个性化绘本。适用于家庭、教育、创作等多种场景,零门槛,高自由度,技术透明,本地可控。
- 4808次使用
-
- 可赞AI
- 可赞AI,AI驱动的办公可视化智能工具,助您轻松实现文本与可视化元素高效转化。无论是智能文档生成、多格式文本解析,还是一键生成专业图表、脑图、知识卡片,可赞AI都能让信息处理更清晰高效。覆盖数据汇报、会议纪要、内容营销等全场景,大幅提升办公效率,降低专业门槛,是您提升工作效率的得力助手。
- 4688次使用
-
- 星月写作
- 星月写作是国内首款聚焦中文网络小说创作的AI辅助工具,解决网文作者从构思到变现的全流程痛点。AI扫榜、专属模板、全链路适配,助力新人快速上手,资深作者效率倍增。
- 6483次使用
-
- MagicLight
- MagicLight.ai是全球首款叙事驱动型AI动画视频创作平台,专注于解决从故事想法到完整动画的全流程痛点。它通过自研AI模型,保障角色、风格、场景高度一致性,让零动画经验者也能高效产出专业级叙事内容。广泛适用于独立创作者、动画工作室、教育机构及企业营销,助您轻松实现创意落地与商业化。
- 5059次使用
查看更多
相关文章
-
- GPT-4王者加冕!读图做题性能炸天,凭自己就能考上斯坦福
- 2023-04-25 501浏览
-
- 单块V100训练模型提速72倍!尤洋团队新成果获AAAI 2023杰出论文奖
- 2023-04-24 501浏览
-
- ChatGPT 真的会接管世界吗?
- 2023-04-13 501浏览
-
- VR的终极形态是「假眼」?Neuralink前联合创始人掏出新产品:科学之眼!
- 2023-04-30 501浏览
-
- 实现实时制造可视性优势有哪些?
- 2023-04-15 501浏览

