Mysql InnoDB B+树索引目录项记录页管理
怎么入门数据库编程?需要学习哪些知识点?这是新手们刚接触编程时常见的问题;下面golang学习网就来给大家整理分享一些知识点,希望能够给初学者一些帮助。本篇文章就来介绍《Mysql InnoDB B+树索引目录项记录页管理》,涉及到MySQLInnoDB、B+树、目录索引,有需要的可以收藏一下
Mysql InnoDB B+树索引目录项记录管理
接上一篇内容,InnoDB 的作者想到一种更灵活的方式来管理所有目录项,是什么?
一、目录项记录页
其实这些用户目录项与用户记录很像,只是目录项中的两个列记录的是主键和页号而已,那么就可以复用之前存储用户记录的数据页来存储目录项。
为了区分用户记录和目录项,仍然使用 record_type 这个属性,当值为 1 时,表示目录项记录,再来复习一遍:
- 0:普通用户记录
- 1:目录项记录
- 2:Infimum 记录
- 3:Supremum 记录
现在把目录项放到一个新页中,就变成了这样:

- 目录项记录 record_type 值为 1,普通用户记录的 record_type 值是 0
- 目录项记录只有主键值和页的编号,两个列
如此一来,目录页跟数据页一样,都可以为主键值生成 Page Directory(页目录),从而在根据主键值查找记录时,使用二分法来加快查询速度。
还是以查找主键值为 20 的记录为例,大致就可以分为 2 步走:
- 先目录项页(页30)通过二分法快速找到对应的目录项记录。因为 12
- 到页 9中继续根据二分法快速找到主键为 20 的用户记录。
二、当目录项记录页也变多后
一个页大小是16KB,当数据多的时候,一个页用来存放页目录记录一定不够用。解决办法也很简单,就是整更多的页。
基于上图,假设一个目录项记录页最多只能存放 4 条目录项记录(实际可以存很多),现在继续插入一条主键值为 320 的普通用户记录,这时候就需要多分配一个新页。

现在因为存储目录项记录的页是多个,此时再根据主键值查找一条用户记录,大致需要 3 个步骤(继续查找主键值为 20 的记录):
确定存储目录项记录的页。上图中有2个,分别是页 30 和页 32。因为页 30 表示的目录项主键值在 [1, 320),页 32 的主键值则不小于 320,所以主键 20的记录应该在 页30。
通过存储目录项记录的页确定用户记录真正所在的页(见上文第一部分)
在真正存储用户记录的页找到主键 20 的记录(见上文第一部分)
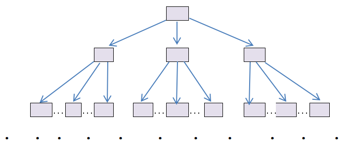
ok,解决了问题,又来了新的问题。当数据非常多,上面的2个目录项记录页也不够,又会有很多,那如何根据主键值快速定位一个存储目录项记录的页?
解决办法:目录项记录页不是多么?我再给这些页建个更高级的目录不就行了?可以想象一个多级目录,大目录里嵌套小目录,小目录里才是实际的数据。
基于上图,又会演变成这样:

- 生成了一个更高级的目录项记录的页 33
- 页中分别 2 条记录,代表页 30 和 页 32
- 如果用户记录的主键值在 [1, 320) 之间,则到页 30中继续查找
- 如果用户记录的主键值不小于 320,则到页 32 中继续查找
看出套路来了吧?随着表中记录的增加,这个目录的层级就会继续增加。
三、B+ 树
按照上面的套路,其实可以简化这个目录结构图:

其实这就是 B+ 树。
现在无论是存放用户记录的数据页,还是存放目录项记录的数据页,都存放到 B+ 树这种数据结构中。
- 所有的数据页都成为 B+ 树的节点。
- 真正存用户记录的数据页都在 B+树最底层的节点上,称为叶子节点或者叶节点。
- 而存放目录项记录的节点称为非叶子节点或者内节点。
- B+ 树最上面的节点称为根节点。
那如果说树的层级深了,找起来不也没那么快吗?
在之前的假设中规定了存放用户记录的页最多3条,存放目录项记录的最多4条,而实际上一个页存放的记录数量是非常大的。
现在继续假设,所有存放用户记录 的叶子节点的数据页可以存放 100 条用户记录,所有存放目录项记录的非叶子节点的数据页可以存放 1000 条目录项记录,那么:
- 如果 B+树只有 1 层,也就是说只有 1 个用于存放用户记录的节点,那么只能存 100 条用户记录。
- 如果 B+树有 2 层,则最多存放 1000*100= 100000 条用户记录。
- 如果 B+树有 3 层,则最多存放 1000*1000*100= 100000000 条用户记录。
- 如果 B+树有 4 层,则最多存放 1000*1000*1000*100= 100000000000 条用户记录。
也就是说,如果有 4 层的话最多存 1000亿 条记录,很显然表里不会有这么多数据。所以在一般情况下,我们用到的 B+树不超过 4 层。
基于此,通过主键值去查询某条记录,最多只需要进行 4 个页面内的查找(3个存储目录项的页,1个存储用户记录的页)。而在每个页面内有存在页目录 Page Directory,所以在页面内也可以通过二分法快速定位记录。
本文参考书籍: 《mysql是怎样运行的》
到这里,我们也就讲完了《Mysql InnoDB B+树索引目录项记录页管理》的内容了。个人认为,基础知识的学习和巩固,是为了更好的将其运用到项目中,欢迎关注golang学习网公众号,带你了解更多关于mysql的知识点!
MySQL如何建表及导出建表语句
- 上一篇
- MySQL如何建表及导出建表语句
- 下一篇
- Mysql将字符串按照指定字符分割的正确方法
-
- 数据库 · MySQL | 1星期前 |
- MySQL常用存储引擎及InnoDB与MyISAM对比分析
- 184浏览 收藏
-
- 数据库 · MySQL | 2星期前 |
- MySQL连接池配置与优化方法
- 147浏览 收藏
-
- 数据库 · MySQL | 2星期前 |
- MySQL内存优化技巧与参数设置解析
- 295浏览 收藏
-
- 数据库 · MySQL | 2星期前 |
- 主键外键关系解析与作用详解
- 413浏览 收藏
-
- 数据库 · MySQL | 2星期前 |
- MySQL数据库备份与安全方案详解
- 175浏览 收藏
-
- 数据库 · MySQL | 3星期前 |
- MySQL增删改查语法速查表大全
- 174浏览 收藏
-
- 数据库 · MySQL | 4星期前 |
- MySQLupdate语句使用详解
- 120浏览 收藏
-
- 数据库 · MySQL | 1个月前 |
- MySQL数据库创建与字符集设置教程
- 404浏览 收藏
-
- 数据库 · MySQL | 1个月前 |
- MySQL基础命令速查:增删改查全攻略
- 427浏览 收藏
-
- 数据库 · MySQL | 1个月前 |
- MySQL优化Join查询的技巧与策略解析
- 351浏览 收藏
-
- 数据库 · MySQL | 1个月前 |
- MySQL常用数据类型有哪些及如何选择
- 156浏览 收藏
-
- 数据库 · MySQL | 1个月前 |
- MySQL增删改查语法速查手册
- 405浏览 收藏
-
- 前端进阶之JavaScript设计模式
- 设计模式是开发人员在软件开发过程中面临一般问题时的解决方案,代表了最佳的实践。本课程的主打内容包括JS常见设计模式以及具体应用场景,打造一站式知识长龙服务,适合有JS基础的同学学习。
- 543次学习
-
- GO语言核心编程课程
- 本课程采用真实案例,全面具体可落地,从理论到实践,一步一步将GO核心编程技术、编程思想、底层实现融会贯通,使学习者贴近时代脉搏,做IT互联网时代的弄潮儿。
- 516次学习
-
- 简单聊聊mysql8与网络通信
- 如有问题加微信:Le-studyg;在课程中,我们将首先介绍MySQL8的新特性,包括性能优化、安全增强、新数据类型等,帮助学生快速熟悉MySQL8的最新功能。接着,我们将深入解析MySQL的网络通信机制,包括协议、连接管理、数据传输等,让
- 500次学习
-
- JavaScript正则表达式基础与实战
- 在任何一门编程语言中,正则表达式,都是一项重要的知识,它提供了高效的字符串匹配与捕获机制,可以极大的简化程序设计。
- 487次学习
-
- 从零制作响应式网站—Grid布局
- 本系列教程将展示从零制作一个假想的网络科技公司官网,分为导航,轮播,关于我们,成功案例,服务流程,团队介绍,数据部分,公司动态,底部信息等内容区块。网站整体采用CSSGrid布局,支持响应式,有流畅过渡和展现动画。
- 485次学习
-
- ChatExcel酷表
- ChatExcel酷表是由北京大学团队打造的Excel聊天机器人,用自然语言操控表格,简化数据处理,告别繁琐操作,提升工作效率!适用于学生、上班族及政府人员。
- 4215次使用
-
- Any绘本
- 探索Any绘本(anypicturebook.com/zh),一款开源免费的AI绘本创作工具,基于Google Gemini与Flux AI模型,让您轻松创作个性化绘本。适用于家庭、教育、创作等多种场景,零门槛,高自由度,技术透明,本地可控。
- 4573次使用
-
- 可赞AI
- 可赞AI,AI驱动的办公可视化智能工具,助您轻松实现文本与可视化元素高效转化。无论是智能文档生成、多格式文本解析,还是一键生成专业图表、脑图、知识卡片,可赞AI都能让信息处理更清晰高效。覆盖数据汇报、会议纪要、内容营销等全场景,大幅提升办公效率,降低专业门槛,是您提升工作效率的得力助手。
- 4454次使用
-
- 星月写作
- 星月写作是国内首款聚焦中文网络小说创作的AI辅助工具,解决网文作者从构思到变现的全流程痛点。AI扫榜、专属模板、全链路适配,助力新人快速上手,资深作者效率倍增。
- 6102次使用
-
- MagicLight
- MagicLight.ai是全球首款叙事驱动型AI动画视频创作平台,专注于解决从故事想法到完整动画的全流程痛点。它通过自研AI模型,保障角色、风格、场景高度一致性,让零动画经验者也能高效产出专业级叙事内容。广泛适用于独立创作者、动画工作室、教育机构及企业营销,助您轻松实现创意落地与商业化。
- 4820次使用
-
- MySQL InnoDB 存储引擎的底层逻辑架构
- 2023-01-01 242浏览
-
- Mysql InnoDB引擎中的数据页结构详解
- 2022-12-29 206浏览
-
- Mysql InnoDB 的内存结构详情
- 2022-12-29 269浏览
-
- Mysql中的innoDB如何解决幻读
- 2022-12-30 246浏览
-
- 一文了解mysql索引的数据结构为什么要用B+树
- 2022-12-31 196浏览

