腾讯混元、北大发现Scaling law「浪涌现象」,解决学习率调参难题
目前golang学习网上已经有很多关于科技周边的文章了,自己在初次阅读这些文章中,也见识到了很多学习思路;那么本文《腾讯混元、北大发现Scaling law「浪涌现象」,解决学习率调参难题》,也希望能帮助到大家,如果阅读完后真的对你学习科技周边有帮助,欢迎动动手指,评论留言并分享~

AIxiv专栏是本站发布学术、技术内容的栏目。过去数年,本站AIxiv专栏接收报道了2000多篇内容,覆盖全球各大高校与企业的顶级实验室,有效促进了学术交流与传播。如果您有优秀的工作想要分享,欢迎投稿或者联系报道。投稿邮箱:liyazhou@jiqizhixin.com;zhaoyunfeng@jiqizhixin.com
在过去十年间,基于随机梯度下降(SGD)的深度学习模型在许多领域都取得了极大的成功。与此同时各种各样的 SGD 替代产品也如雨后春笋般涌现。在这些众多替代产品中,Adam 及其变种最受追捧。无论是 SGD,还是 Adam,亦或是其他优化器,最核心的超参数非 Learning rate 莫属。因此如何调整好 Leanring rate 是炼丹师们从一开始就必学的技能。
从直觉上讲,影响 Learning rate 取值的重要因素是 Batch size。不知你在学习炼丹术时,是否遇到或者思考过入如下问题:
我的 Batch size 增加一倍,Learning rate 该怎么调整?
网上有说 Batch size 和 Learning rate 是线性放缩,也有说是平方根放缩,到底该按照哪个调整?
为什么我按照网上说的经验关系调整之后效果反而变差了?
腾讯混元联合北京大学基于现有科研基础和实际业务需求,在进行了大量理论分析和实验验证后发布了关于 Batch size 和 Learning rate 放缩关系的调参指南。

论文:Surge Phenomenon in Optimal Learning Rate and Batch Size Scaling
论文地址:https://arxiv.org/pdf/2405.14578
1. 当使用 SGD 风格的优化器时,应当采用 OpenAI 2018 年给出的结论(https://arxiv.org/pdf/1812.06162):

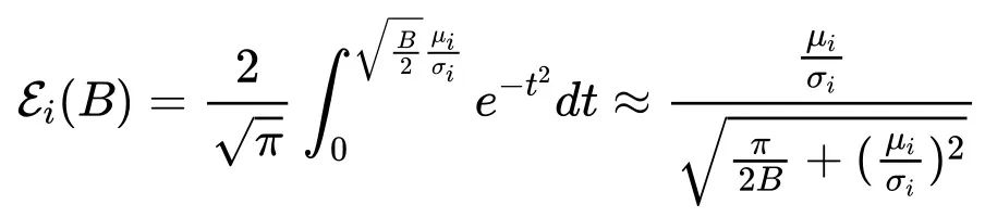
2. 但是当使用 Adam 风格的优化器时,需要按照如下放缩规律:

其中
和 B 分别代表 Learning rate 和 Batch size,而
与 OpenAI 2020 年 Scaling law 论文(https://arxiv.org/pdf/2001.08361)中的
对应。从上面结论不难发现,当
时,社区中广为流传的线性放缩和平方根放缩在一定范围内都是正确的,并且分别对应使用 SGD 风格和 Adam 风格优化器的情况。
一、居然要降低学习率?
如果仔细观察 Adam 风格优化器放缩规律的表达式子会发现,当 Batch size 超过
后,随着 Batch size 增加最优的 Learning rate 反而是下降的!这样的结论似乎有点反常,但是仔细思考之后又觉得是合理的。首先我们回顾一下 Adam 的更新形式,梯度的一阶动量除以二阶动量的平方根:

(更详细的讨论参考原文中的附录 A)。与 SGD 直接采用 G 进行参数更新相比,
将更快的进入饱和区间,例如,假设 G 的均值是正实数,随着 Batch size 增加
估计为正数时,再增加估计的准确度对
的结果也毫无影响了。因此当 Batch size 超过
时,增加的信息不足以抵消
带来的噪声影响,从而导致此次的更新不再那么确信,以至于需要降低学习率。
二、观察到的下降区间
为了检验理论的正确性,需要从实验中观察到最优学习率的 “下降区间”。既然从上一节的分析中发现,使用 Adam 优化器时 Batch size 超过
就会导致最优学习率下降,那么只要确定出
取值,然后在通过网格搜索打点观察就可以了。虽然从形式上
计算很困难,但是幸运的是基于 OpenAI 关算于训练时间和样本效率的定量结论中我们可以估算出
的取值(更详细的讨论参考原文中的附录 G)。

上面展示了 CNN 在 FashionMNIST 上的学习率 “下降区间”。左图为通过 OpenAI 定量公式估算的
(左图直线斜率的负数,右图红色竖直虚线),右图中黄色五角星代表不同 Batch size 下的最优 Learning rate 取值,青色实线为我们的理论预估曲线。


以及 Resnet18 在 TinyImagenet,和 DistilGPT2 在 Eli5Category 上也观察到了类似现象。
三、浪涌现象
前面我们从理论和实验上都发现了,在使用 Adam 风格优化器时最优学习率曲线就像一朵 “浪花” 一样随着 Batch size 增加会先升高后下降。同时结合 OpenAI scaling law 的结论,随着训练进行
会逐渐变大。我们理论预测并实验证明了随着训练进行 “浪花” 逐渐向着大 Batch size 方向涌动:

四、理论发现
前面讨论过 Adam 风格的优化器在进行参数更新时采用类似
的形式。虽然此形式看起来很简单,但是由于推导过程涉及到对更新量均值和方差的考量,所以我们在处理的时候做了一个假设和一个近似:
1. 假设每个样本的参数 i 的梯度服从均值为
,方差为
的高斯分布
2. 通过 sigmoid-style 函数对高斯误差函数进行数值近似
当
时,完整的 Scaling law 形式近似为:

其中
,H 为海森矩阵。
当
时:

表明,Batch size 无限大时最优学习率趋于一个饱和值。
五、应用
我们在腾讯 Angel 大模型训练框架中集成了上述理论成果,并在腾讯混元大模型训练任务中对理论进行进一步验证,未来将服务于各种大模型训练场景。
感谢阅读,更多详细内容,请参考原文。
今天关于《腾讯混元、北大发现Scaling law「浪涌现象」,解决学习率调参难题》的内容就介绍到这里了,是不是学起来一目了然!想要了解更多关于工程,腾讯的内容请关注golang学习网公众号!
java中用于通信的框架有哪些?
- 上一篇
- java中用于通信的框架有哪些?
- 下一篇
- 如何评估PHP框架的性能和可靠性?
-
- 科技周边 · 人工智能 | 10分钟前 | 哩布哩布AI
- 哩布哩布AI官网入口与网址汇总
- 475浏览 收藏
-
- 科技周边 · 人工智能 | 11分钟前 | Seedance2.0
- Seedance2.0视频制作:批量生成Facebook广告技巧
- 471浏览 收藏
-
- 科技周边 · 人工智能 | 13分钟前 |
- 用提示词分析数据,ChatGPT表格处理技巧
- 370浏览 收藏
-
- 科技周边 · 人工智能 | 20分钟前 |
- KimiChat最新功能全面解析
- 144浏览 收藏
-
- 科技周边 · 人工智能 | 8小时前 |
- AI时代卡皮巴拉就业影响与应对策略
- 168浏览 收藏
-
- 科技周边 · 人工智能 | 8小时前 | Hermes Agent HermesAgent
- HermesAgent社区在哪?用户交流论坛推荐
- 107浏览 收藏
-
- 科技周边 · 人工智能 | 9小时前 | Llama 3
- Llama3虚拟机PCIe直通失败解决方法
- 354浏览 收藏
-
- 科技周边 · 人工智能 | 9小时前 | KimiChat kimichat官网
- Kimichat官网入口及访问方式汇总
- 271浏览 收藏
-
- 科技周边 · 人工智能 | 9小时前 |
- Lumen5制作AI动画视频技巧解析
- 282浏览 收藏
-
- 科技周边 · 人工智能 | 9小时前 | CanvaAI Canva可画
- Canva转PPT教程:格式转换全攻略
- 152浏览 收藏
-
- 科技周边 · 人工智能 | 9小时前 | 夸克AI 夸克AI大模型
- 夸克AI如何找行业研报?实用搜索技巧分享
- 482浏览 收藏
-
- 科技周边 · 人工智能 | 9小时前 | openclaw
- OpenClaw终极版:打造全能个人系统
- 182浏览 收藏
-
- 前端进阶之JavaScript设计模式
- 设计模式是开发人员在软件开发过程中面临一般问题时的解决方案,代表了最佳的实践。本课程的主打内容包括JS常见设计模式以及具体应用场景,打造一站式知识长龙服务,适合有JS基础的同学学习。
- 543次学习
-
- GO语言核心编程课程
- 本课程采用真实案例,全面具体可落地,从理论到实践,一步一步将GO核心编程技术、编程思想、底层实现融会贯通,使学习者贴近时代脉搏,做IT互联网时代的弄潮儿。
- 516次学习
-
- 简单聊聊mysql8与网络通信
- 如有问题加微信:Le-studyg;在课程中,我们将首先介绍MySQL8的新特性,包括性能优化、安全增强、新数据类型等,帮助学生快速熟悉MySQL8的最新功能。接着,我们将深入解析MySQL的网络通信机制,包括协议、连接管理、数据传输等,让
- 500次学习
-
- JavaScript正则表达式基础与实战
- 在任何一门编程语言中,正则表达式,都是一项重要的知识,它提供了高效的字符串匹配与捕获机制,可以极大的简化程序设计。
- 487次学习
-
- 从零制作响应式网站—Grid布局
- 本系列教程将展示从零制作一个假想的网络科技公司官网,分为导航,轮播,关于我们,成功案例,服务流程,团队介绍,数据部分,公司动态,底部信息等内容区块。网站整体采用CSSGrid布局,支持响应式,有流畅过渡和展现动画。
- 485次学习
-
- ChatExcel酷表
- ChatExcel酷表是由北京大学团队打造的Excel聊天机器人,用自然语言操控表格,简化数据处理,告别繁琐操作,提升工作效率!适用于学生、上班族及政府人员。
- 4476次使用
-
- Any绘本
- 探索Any绘本(anypicturebook.com/zh),一款开源免费的AI绘本创作工具,基于Google Gemini与Flux AI模型,让您轻松创作个性化绘本。适用于家庭、教育、创作等多种场景,零门槛,高自由度,技术透明,本地可控。
- 4819次使用
-
- 可赞AI
- 可赞AI,AI驱动的办公可视化智能工具,助您轻松实现文本与可视化元素高效转化。无论是智能文档生成、多格式文本解析,还是一键生成专业图表、脑图、知识卡片,可赞AI都能让信息处理更清晰高效。覆盖数据汇报、会议纪要、内容营销等全场景,大幅提升办公效率,降低专业门槛,是您提升工作效率的得力助手。
- 4703次使用
-
- 星月写作
- 星月写作是国内首款聚焦中文网络小说创作的AI辅助工具,解决网文作者从构思到变现的全流程痛点。AI扫榜、专属模板、全链路适配,助力新人快速上手,资深作者效率倍增。
- 6494次使用
-
- MagicLight
- MagicLight.ai是全球首款叙事驱动型AI动画视频创作平台,专注于解决从故事想法到完整动画的全流程痛点。它通过自研AI模型,保障角色、风格、场景高度一致性,让零动画经验者也能高效产出专业级叙事内容。广泛适用于独立创作者、动画工作室、教育机构及企业营销,助您轻松实现创意落地与商业化。
- 5069次使用
-
- GPT-4王者加冕!读图做题性能炸天,凭自己就能考上斯坦福
- 2023-04-25 501浏览
-
- 单块V100训练模型提速72倍!尤洋团队新成果获AAAI 2023杰出论文奖
- 2023-04-24 501浏览
-
- ChatGPT 真的会接管世界吗?
- 2023-04-13 501浏览
-
- VR的终极形态是「假眼」?Neuralink前联合创始人掏出新产品:科学之眼!
- 2023-04-30 501浏览
-
- 实现实时制造可视性优势有哪些?
- 2023-04-15 501浏览

