ACL 2024论文盖棺定论:大语言模型≠世界模拟器,Yann LeCun:太对了
来源:机器之心
2024-06-16 22:21:30
0浏览
收藏
一分耕耘,一分收获!既然都打开这篇《ACL 2024论文盖棺定论:大语言模型≠世界模拟器,Yann LeCun:太对了》,就坚持看下去,学下去吧!本文主要会给大家讲到等等知识点,如果大家对本文有好的建议或者看到有不足之处,非常欢迎大家积极提出!在后续文章我会继续更新科技周边相关的内容,希望对大家都有所帮助!
如果 GPT-4 在模拟基于常识任务的状态变化时准确率都只有约 60%,那么我们还要考虑将大语言模型作为世界模拟器来使用吗?
x 地址:https://x.com/peterjansen_ai/status/1801687501557665841
X 地址:https://x.com/ylecun/status/1801978192950927511




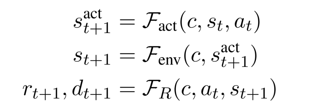
动作驱动转换模拟器:给定 c、s_t 和 a_t, F_act:C×S×A→S 预测 s^act_t+1,其中 s^act_t+1 表示动作引起的直接状态变化。 环境驱动转换模拟器:给定 c 和 s^act_t+1,F_env:C×S→S 预测 s_t+1,其中 s_t+1 是任何环境驱动转换后产生的状态。 游戏进度模拟器:给定 c、s_t+1 和 a_t, F_R:C×S×A→R×{0,1} 预测奖励 r_t+1 和游戏完成状态 d_t+1。
完整状态预测:LLM 输出完整状态。 状态差异预测:LLM 仅输出输入和输出状态之间的差异。

对象属性:游戏中所有对象、每个对象的属性(如温度、大小),以及与其他对象的关系(如在另一个对象内或之上)。 游戏进度:智能体相对于总体目标的状态,包括当前累积的奖励、游戏是否已终止以及总体目标是否已实现。




理论要掌握,实操不能落!以上关于《ACL 2024论文盖棺定论:大语言模型≠世界模拟器,Yann LeCun:太对了》的详细介绍,大家都掌握了吧!如果想要继续提升自己的能力,那么就来关注golang学习网公众号吧!
版本声明
本文转载于:机器之心 如有侵犯,请联系study_golang@163.com删除
golang框架中数据库访问的最佳实践有哪些?
- 上一篇
- golang框架中数据库访问的最佳实践有哪些?
- 下一篇
- “世界级跨海集群工程”深中通道历经 7 年建设今日通过交工验收,本月底开通运营
查看更多
最新文章
-
- 科技周边 · 人工智能 | 19分钟前 | Hermes Agent HermesAgent
- HermesAgent数据聚类:异常检测实战教程
- 300浏览 收藏
-
- 科技周边 · 人工智能 | 28分钟前 | 夸克AI 夸克AI大模型
- 夸克AI办公入口及使用教程
- 240浏览 收藏
-
- 科技周边 · 人工智能 | 41分钟前 |
- InvokeAI图层合并教程详解
- 341浏览 收藏
-
- 科技周边 · 人工智能 | 1小时前 |
- DeepSeekV4周报生成实战教程
- 175浏览 收藏
-
- 科技周边 · 人工智能 | 1小时前 |
- AI智能相册整理技巧与使用方法
- 371浏览 收藏
-
- 科技周边 · 人工智能 | 1小时前 |
- 豆包如何识别图片?图像理解教程详解
- 118浏览 收藏
-
- 科技周边 · 人工智能 | 1小时前 | CanvaAI Canva可画
- Canva手机网页版快速打开技巧
- 143浏览 收藏
-
- 科技周边 · 人工智能 | 1小时前 |
- Perplexity链接跳转失败原因分析
- 382浏览 收藏
-
- 科技周边 · 人工智能 | 2小时前 |
- Perplexity告别Node.js回调地狱
- 389浏览 收藏
-
- 科技周边 · 人工智能 | 2小时前 |
- WorkBuddy对比传统搜索,效率再升级
- 251浏览 收藏
-
- 科技周边 · 人工智能 | 2小时前 | Midjourney
- Midjourney警察刑侦氛围生成技巧
- 161浏览 收藏
-
- 科技周边 · 人工智能 | 2小时前 |
- DeepSeekV4微信机器人白名单设置方法
- 200浏览 收藏
查看更多
课程推荐
-
- 前端进阶之JavaScript设计模式
- 设计模式是开发人员在软件开发过程中面临一般问题时的解决方案,代表了最佳的实践。本课程的主打内容包括JS常见设计模式以及具体应用场景,打造一站式知识长龙服务,适合有JS基础的同学学习。
- 543次学习
-
- GO语言核心编程课程
- 本课程采用真实案例,全面具体可落地,从理论到实践,一步一步将GO核心编程技术、编程思想、底层实现融会贯通,使学习者贴近时代脉搏,做IT互联网时代的弄潮儿。
- 516次学习
-
- 简单聊聊mysql8与网络通信
- 如有问题加微信:Le-studyg;在课程中,我们将首先介绍MySQL8的新特性,包括性能优化、安全增强、新数据类型等,帮助学生快速熟悉MySQL8的最新功能。接着,我们将深入解析MySQL的网络通信机制,包括协议、连接管理、数据传输等,让
- 500次学习
-
- JavaScript正则表达式基础与实战
- 在任何一门编程语言中,正则表达式,都是一项重要的知识,它提供了高效的字符串匹配与捕获机制,可以极大的简化程序设计。
- 487次学习
-
- 从零制作响应式网站—Grid布局
- 本系列教程将展示从零制作一个假想的网络科技公司官网,分为导航,轮播,关于我们,成功案例,服务流程,团队介绍,数据部分,公司动态,底部信息等内容区块。网站整体采用CSSGrid布局,支持响应式,有流畅过渡和展现动画。
- 485次学习
查看更多
AI推荐
-
- ChatExcel酷表
- ChatExcel酷表是由北京大学团队打造的Excel聊天机器人,用自然语言操控表格,简化数据处理,告别繁琐操作,提升工作效率!适用于学生、上班族及政府人员。
- 4486次使用
-
- Any绘本
- 探索Any绘本(anypicturebook.com/zh),一款开源免费的AI绘本创作工具,基于Google Gemini与Flux AI模型,让您轻松创作个性化绘本。适用于家庭、教育、创作等多种场景,零门槛,高自由度,技术透明,本地可控。
- 4827次使用
-
- 可赞AI
- 可赞AI,AI驱动的办公可视化智能工具,助您轻松实现文本与可视化元素高效转化。无论是智能文档生成、多格式文本解析,还是一键生成专业图表、脑图、知识卡片,可赞AI都能让信息处理更清晰高效。覆盖数据汇报、会议纪要、内容营销等全场景,大幅提升办公效率,降低专业门槛,是您提升工作效率的得力助手。
- 4713次使用
-
- 星月写作
- 星月写作是国内首款聚焦中文网络小说创作的AI辅助工具,解决网文作者从构思到变现的全流程痛点。AI扫榜、专属模板、全链路适配,助力新人快速上手,资深作者效率倍增。
- 6527次使用
-
- MagicLight
- MagicLight.ai是全球首款叙事驱动型AI动画视频创作平台,专注于解决从故事想法到完整动画的全流程痛点。它通过自研AI模型,保障角色、风格、场景高度一致性,让零动画经验者也能高效产出专业级叙事内容。广泛适用于独立创作者、动画工作室、教育机构及企业营销,助您轻松实现创意落地与商业化。
- 5080次使用
查看更多
相关文章
-
- GPT-4王者加冕!读图做题性能炸天,凭自己就能考上斯坦福
- 2023-04-25 501浏览
-
- 单块V100训练模型提速72倍!尤洋团队新成果获AAAI 2023杰出论文奖
- 2023-04-24 501浏览
-
- ChatGPT 真的会接管世界吗?
- 2023-04-13 501浏览
-
- VR的终极形态是「假眼」?Neuralink前联合创始人掏出新产品:科学之眼!
- 2023-04-30 501浏览
-
- 实现实时制造可视性优势有哪些?
- 2023-04-15 501浏览

