从RLHF到DPO再到TDPO,大模型对齐算法已经是「token-level」
编程并不是一个机械性的工作,而是需要有思考,有创新的工作,语法是固定的,但解决问题的思路则是依靠人的思维,这就需要我们坚持学习和更新自己的知识。今天golang学习网就整理分享《从RLHF到DPO再到TDPO,大模型对齐算法已经是「token-level」》,文章讲解的知识点主要包括,如果你对科技周边方面的知识点感兴趣,就不要错过golang学习网,在这可以对大家的知识积累有所帮助,助力开发能力的提升。

AIxiv专栏是本站发布学术、技术内容的栏目。过去数年,本站AIxiv专栏接收报道了2000多篇内容,覆盖全球各大高校与企业的顶级实验室,有效促进了学术交流与传播。如果您有优秀的工作想要分享,欢迎投稿或者联系报道。投稿邮箱:liyazhou@jiqizhixin.com;zhaoyunfeng@jiqizhixin.com
在人工智能领域的发展过程中,对大语言模型(LLM)的控制与指导始终是核心挑战之一,旨在确保这些模型既强大又安全地服务于人类社会。早期的努力集中于通过人类反馈的强化学习方法(RLHF)来管理这些模型,成效显著,标志着向更加人性化 AI 迈出的关键一步。
尽管 RLHF 取得了巨大成功,但是在训练过程中 RLHF 非常消耗资源。因此,近段时间学者们在 RLHF 奠定的坚实基础上,继续探索更为简单且高效的策略优化路径,催生了直接偏好优化(DPO)的诞生。DPO 通过数学推理得到奖励函数与最优策略之间的直接映射,消除了奖励模型的训练过程,直接在偏好数据上优化策略模型,实现了从「反馈到策略」的直观飞跃。这不仅减少了复杂度,还增强了算法的稳健性,迅速成为业界的新宠。
然而,DPO 主要关注在逆 KL 散度约束下的策略优化。由于逆 KL 散度的 mode-seeking 特性,DPO 在提升对齐性能方面表现出色,但是这一特性也倾向于在生成过程中减少多样性,可能限制模型的能力。另一方面,尽管 DPO 从句子级的角度控制 KL 散度,模型的生成过程本质上是逐个 token 进行的。从句子级控制 KL 散度直观上表明 DPO 在细粒度控制上存在限制,对 KL 散度的调节能力较弱,可能是 DPO 训练过程中 LLM 的生成多样性迅速下降的关键因素之一。
为此,来自中科院和伦敦大学学院的汪军与张海峰团队提出了一种从 token-level 角度建模的大模型对齐算法:TDPO。

论文标题:Token-level Direct Preference Optimization
论文地址:https://arxiv.org/abs/2404.11999
代码地址:https://github.com/Vance0124/Token-level-Direct-Preference-Optimization
为了应对模型生成多样性显著下降的问题,TDPO 从 token-level 的角度重新定义了整个对齐流程的目标函数,并通过将 Bradley-Terry 模型转换为优势函数的形式,使得整个对齐流程能最终从 Token-level 层面进行分析和优化。相比于 DPO 而言,TDPO 的主要贡献如下:
Token-level 的建模方式:TDPO 从 Token-level 的角度对问题进行了建模,对 RLHF 进行了更精细的分析;
细粒度 KL 散度约束:在每个 token 处从理论上引入了前向 KL 散度约束,使方法能够更好地约束模型优化;
性能优势明显:相比于 DPO 而言,TDPO 能够实现更好的对齐性能和生成多样性的帕累托前沿。
DPO 与 TDPO 的主要区别如下图所示:

图 1:DPO 的对齐优化方式。DPO 从 sentence-level 的角度进行建模

图 2:TDPO 的对齐优化方式。TDPO 从 token-level 的角度进行建模,并在每个 token 处引入了额外的前向 KL 散度约束,如图中红色部分所示,控制模型偏移程度的同时,充当了模型对齐的 baseline
下面介绍两者方法的具体推导过程。
背景:直接偏好优化(DPO)
DPO 通过数学推导,得到了奖励函数与最优策略之间的直接映射,消除了 RLHF 过程中的奖励建模阶段:

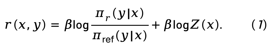
将公式 (1) 代入 Bradley-Terry (BT) 偏好模型中,得到直接策略优化(DPO)损失函数:

其中
是由来自偏好数据集 D 的 prompt、获胜响应和失败响应构成的偏好对。
TDPO
符号标注
为了建模语言模型顺序的、自回归的生成过程,TDPO 将生成回复表示成 T 个 token 组成的形式
,其中
,
表示字母表(词汇表)。
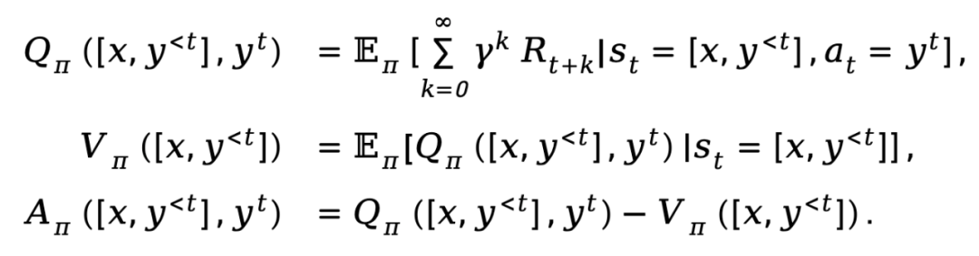
当将文本生成建模为马尔可夫决策过程时,状态 state 定义为 prompt 和到当前 step 为止已生成的 token 的组合,表示为
,而动作 action 则对应于下一个生成的 token,表示为
,token 级奖励定义为
。
基于以上提供的定义,TDPO 为策略
建立了状态 - 动作函数
、状态值函数
和优势函数
:

其中,
表示折扣因子。
Token-level 角度的人类反馈强化学习
TDPO 理论上修改了 RLHF 的奖励建模阶段和 RL 微调阶段,将它们扩展为了从 token-level 角度考虑的优化目标。
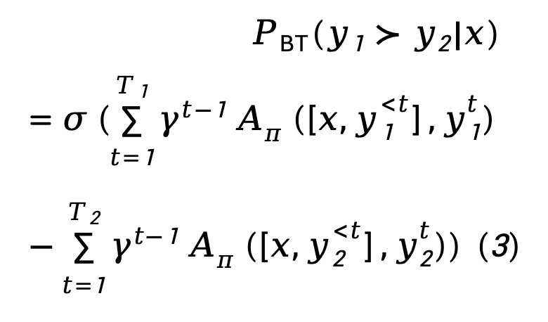
对于奖励建模阶段, TDPO 建立了 Bradley-Terry 模型和优势函数之间的相关性:

对于 RL 微调阶段,TDPO 定义了以下目标函数:

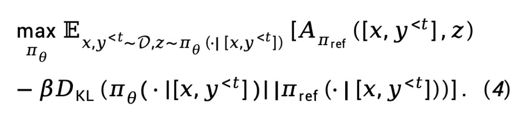
推导
从目标 (4) 出发,TDPO 在每个 token 上推导了最优策略
和状态 - 动作函数
之间的映射关系:

其中,
表示配分函数。
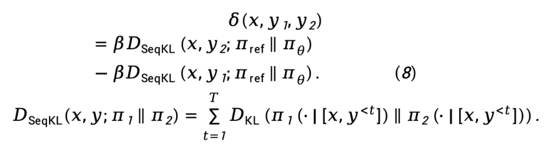
将方程 (5) 代入方程 (3),我们得到:

其中,
表示策略模型
和参考模型
表示的隐式奖励函数差异,表示为

而
则表示
和
的序列级前向 KL 散度差异,按
加权,表示为

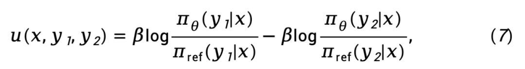
基于方程 (8),TDPO 最大似然损失函数可以建模为:

考虑到在实际中,
损失倾向于增加
,放大
和
之间的差异,TDPO 提出修改方程 (9) 为:

其中
是一个超参数,而

这里,
表示停止梯度传播运算符。
我们将 TDPO 和 DPO 的损失函数总结如下:

由此可见,TDPO 在每个 token 处引入了这种前向 KL 散度控制,使得在优化过程中能够更好地控制 KL 的变化,而不影响对齐性能,从而实现了更优的帕累托前沿。
实验设置
TDPO 在 IMDb,Anthropic/hh-rlhf、MT-Bench 上个数据集上进行了实验。
IMDb
在 IMDb 数据集上,该团队采用了 GPT-2 作为基模型,然后用 siebert/sentiment-roberta-large-english 作为奖励模型评估策略模型输出,实验结果如图 3 所示。

从图 3 (a) 中可以看出,TDPO (TDPO1,TDPO2) 能够达到比 DPO 更好的 reward-KL 的帕累托前沿,而从图 3 (b)-(d) 则可以看出,TDPO 在 KL 散度控制方面表现极为出色,远远优于 DPO 算法的 KL 散度控制能力。
Anthropic HH
而在 Anthropic/hh-rlhf 数据集上,该团队采用了 Pythia 2.8B 作为基模型,采用两种方式评估模型生成的好坏:1)使用已有的指标;2)使用 GPT-4 评测。
对于第一种评估方式,该团队评测了不同算法训练的模型在对齐性能 (Accuracy) 和生成多样性 (Entropy) 上的权衡,如表 1 所示。

可以看到 TDPO 算法不仅在对齐性能 (Accuracy) 上优于 DPO 和 f-DPO,在生成多样性 (Entropy) 上也占据优势,在这两个大模型生成回复的关键指标上达到了更好的权衡。
而对于第二种评估方式,该团队评测了不同算法训练的模型和人类偏好的吻合度,与数据集中的获胜响应作对比,如图 4 所示。

DPO、TDPO1 和 TDPO2 算法在温度系数为 0.75 的情况下均能够达到对获胜响应的胜率高于 50%,较好地符合人类偏好。
MT-Bench
在论文中的最后一个实验上,该团队采用了在 Anthropic HH 数据集上训练好的 Pythia 2.8B 模型直接用于 MT-Bench 数据集评测,结果如图 5 所示。

在 MT-Bench 上,TDPO 能够达到比其他算法更高的获胜概率,这充分说明了 TDPO 算法训练的模型生成的响应的质量更高。
此外,有相关研究对 DPO、TDPO、SimPO 算法进行了对比,可参考链接:https://www.zhihu.com/question/651021172/answer/3513696851
基于 eurus 提供的 eval 脚本,评测了基模型 qwen-4b、mistral-0.1、deepseek-math-base 基于不同的对齐算法 DPO、TDPO、SimPO 微调训练得到的性能,以下是实验的实验结果:

表格 2:DPO,TDPO,SimPO 算法性能对比
了解更多结果,请参考原论文。
本篇关于《从RLHF到DPO再到TDPO,大模型对齐算法已经是「token-level」》的介绍就到此结束啦,但是学无止境,想要了解学习更多关于科技周边的相关知识,请关注golang学习网公众号!
字节豆包全新图像Tokenizer:生成图像最低只需32个token,最高提速410倍
- 上一篇
- 字节豆包全新图像Tokenizer:生成图像最低只需32个token,最高提速410倍
- 下一篇
- 为什么都放弃了LangChain?
-
- 科技周边 · 人工智能 | 2分钟前 |
- AI图片放大工具推荐,免费实用有哪些?
- 320浏览 收藏
-
- 科技周边 · 人工智能 | 12分钟前 |
- 豆包AI朋友圈文案写作技巧
- 433浏览 收藏
-
- 科技周边 · 人工智能 | 17分钟前 | AI视频怎么制作
- VideoPadAI视频制作入门教程
- 479浏览 收藏
-
- 科技周边 · 人工智能 | 17分钟前 |
- 海螺AI人物生成教程与写真视频技巧
- 148浏览 收藏
-
- 科技周边 · 人工智能 | 18分钟前 | DeepSeek
- DeepSeek专业模式怎么切换
- 455浏览 收藏
-
- 科技周边 · 人工智能 | 20分钟前 |
- ClawdbotPro消息限制24小时解析
- 204浏览 收藏
-
- 科技周边 · 人工智能 | 22分钟前 |
- 蒸汽朋克机械风设计解析
- 343浏览 收藏
-
- 科技周边 · 人工智能 | 23分钟前 |
- Luma AI推出Uni-1统一图像模型
- 358浏览 收藏
-
- 科技周边 · 人工智能 | 28分钟前 |
- DeepSeekSCI写作模板2026更新版
- 444浏览 收藏
-
- 科技周边 · 人工智能 | 33分钟前 |
- ChatGPT风格模仿设置教程
- 212浏览 收藏
-
- 科技周边 · 人工智能 | 41分钟前 | 骡子快跑
- 骡子快跑支持Excel吗?表格分析功能详解
- 248浏览 收藏
-
- 科技周边 · 人工智能 | 47分钟前 |
- AI生成甘特图教程:项目管理使用指南
- 106浏览 收藏
-
- 前端进阶之JavaScript设计模式
- 设计模式是开发人员在软件开发过程中面临一般问题时的解决方案,代表了最佳的实践。本课程的主打内容包括JS常见设计模式以及具体应用场景,打造一站式知识长龙服务,适合有JS基础的同学学习。
- 543次学习
-
- GO语言核心编程课程
- 本课程采用真实案例,全面具体可落地,从理论到实践,一步一步将GO核心编程技术、编程思想、底层实现融会贯通,使学习者贴近时代脉搏,做IT互联网时代的弄潮儿。
- 516次学习
-
- 简单聊聊mysql8与网络通信
- 如有问题加微信:Le-studyg;在课程中,我们将首先介绍MySQL8的新特性,包括性能优化、安全增强、新数据类型等,帮助学生快速熟悉MySQL8的最新功能。接着,我们将深入解析MySQL的网络通信机制,包括协议、连接管理、数据传输等,让
- 500次学习
-
- JavaScript正则表达式基础与实战
- 在任何一门编程语言中,正则表达式,都是一项重要的知识,它提供了高效的字符串匹配与捕获机制,可以极大的简化程序设计。
- 487次学习
-
- 从零制作响应式网站—Grid布局
- 本系列教程将展示从零制作一个假想的网络科技公司官网,分为导航,轮播,关于我们,成功案例,服务流程,团队介绍,数据部分,公司动态,底部信息等内容区块。网站整体采用CSSGrid布局,支持响应式,有流畅过渡和展现动画。
- 485次学习
-
- ChatExcel酷表
- ChatExcel酷表是由北京大学团队打造的Excel聊天机器人,用自然语言操控表格,简化数据处理,告别繁琐操作,提升工作效率!适用于学生、上班族及政府人员。
- 4222次使用
-
- Any绘本
- 探索Any绘本(anypicturebook.com/zh),一款开源免费的AI绘本创作工具,基于Google Gemini与Flux AI模型,让您轻松创作个性化绘本。适用于家庭、教育、创作等多种场景,零门槛,高自由度,技术透明,本地可控。
- 4577次使用
-
- 可赞AI
- 可赞AI,AI驱动的办公可视化智能工具,助您轻松实现文本与可视化元素高效转化。无论是智能文档生成、多格式文本解析,还是一键生成专业图表、脑图、知识卡片,可赞AI都能让信息处理更清晰高效。覆盖数据汇报、会议纪要、内容营销等全场景,大幅提升办公效率,降低专业门槛,是您提升工作效率的得力助手。
- 4463次使用
-
- 星月写作
- 星月写作是国内首款聚焦中文网络小说创作的AI辅助工具,解决网文作者从构思到变现的全流程痛点。AI扫榜、专属模板、全链路适配,助力新人快速上手,资深作者效率倍增。
- 6110次使用
-
- MagicLight
- MagicLight.ai是全球首款叙事驱动型AI动画视频创作平台,专注于解决从故事想法到完整动画的全流程痛点。它通过自研AI模型,保障角色、风格、场景高度一致性,让零动画经验者也能高效产出专业级叙事内容。广泛适用于独立创作者、动画工作室、教育机构及企业营销,助您轻松实现创意落地与商业化。
- 4828次使用
-
- GPT-4王者加冕!读图做题性能炸天,凭自己就能考上斯坦福
- 2023-04-25 501浏览
-
- 单块V100训练模型提速72倍!尤洋团队新成果获AAAI 2023杰出论文奖
- 2023-04-24 501浏览
-
- ChatGPT 真的会接管世界吗?
- 2023-04-13 501浏览
-
- VR的终极形态是「假眼」?Neuralink前联合创始人掏出新产品:科学之眼!
- 2023-04-30 501浏览
-
- 实现实时制造可视性优势有哪些?
- 2023-04-15 501浏览

