300多篇相关研究,复旦、南洋理工最新多模态图像编辑综述论文
来源:机器之心
2024-06-28 22:45:44
0浏览
收藏
小伙伴们对科技周边编程感兴趣吗?是否正在学习相关知识点?如果是,那么本文《300多篇相关研究,复旦、南洋理工最新多模态图像编辑综述论文》,就很适合你,本篇文章讲解的知识点主要包括。在之后的文章中也会多多分享相关知识点,希望对大家的知识积累有所帮助!

AIxiv专栏是本站发布学术、技术内容的栏目。过去数年,本站AIxiv专栏接收报道了2000多篇内容,覆盖全球各大高校与企业的顶级实验室,有效促进了学术交流与传播。如果您有优秀的工作想要分享,欢迎投稿或者联系报道。投稿邮箱:liyazhou@jiqizhixin.com;zhaoyunfeng@jiqizhixin.com
该文章的第一作者帅欣成,目前在复旦大学FVL实验室攻读博士学位,本科毕业于上海交通大学。他的主要研究方向包括图像和视频编辑以及多模态学习。

论文题目:A Survey of Multimodal-Guided Image Editing with Text-to-Image Diffusion Models 发表单位:复旦大学 FVL 实验室,南洋理工大学 论文地址:https://arxiv.org/abs/2406.14555 项目地址:https://github.com/xinchengshuai/Awesome-Image-Editing


和 Editing 算法
。
将源图像集合
编码到特定的特征或参数空间,得到对应的表征
(inversion clue),并用对应的源文本描述
作为源图像的标识符。包括 tuning-based
和 forward-based
两种类型的 inversion 算法。其可以被形式化为:
Tuning-based inversion
通过原有的 diffusion 训练过程将源图像集合植入到扩散模型的生成分布中。形式化过程为:

为引入的可学习的参数,且
。
用于在扩散模型的反向过程中(
)还原某一条前向路径中的噪声(
)。形式化过程为:
为方法中引入的参数,用于最小化
,其中,
。
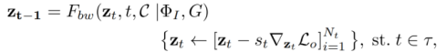
根据
和多模态引导集合
来生成最终的编辑结果
。包含 attention-based
,blending-based
,score-based
以及 optimization-based
的 editing 算法。其可以被形式化为:
进行了如下操作:
中的操作表示编辑算法对于扩散模型采样过程
的干预,用于保证编辑后的图像
与源图像集合
的一致性,并反应出
中引导条件所指明的视觉变换。
。其形式化为:
的形式化过程:
的形式化过程:
的形式化过程:
的形式化过程:



的算法组合的应用
的算法组合的应用
的算法组合的应用
的算法组合的应用



文中关于工程的知识介绍,希望对你的学习有所帮助!若是受益匪浅,那就动动鼠标收藏这篇《300多篇相关研究,复旦、南洋理工最新多模态图像编辑综述论文》文章吧,也可关注golang学习网公众号了解相关技术文章。
版本声明
本文转载于:机器之心 如有侵犯,请联系study_golang@163.com删除
Bengio团队提出多模态新基准,直指Claude 3.5和GPT-4o弱点
- 上一篇
- Bengio团队提出多模态新基准,直指Claude 3.5和GPT-4o弱点
- 下一篇
- 击败Gemini-1.5-Pro、GPT-4V,从容大模型多模态能力跻身全球前三
查看更多
最新文章
-
- 科技周边 · 人工智能 | 5小时前 | 夸克AI 夸克AI大模型
- 夸克AI如何识别乐器?音乐知识解析
- 295浏览 收藏
-
- 科技周边 · 人工智能 | 5小时前 |
- Perplexity对比云服务价格表格制作教程
- 291浏览 收藏
-
- 科技周边 · 人工智能 | 6小时前 | Sora sora使用
- Sora生成复杂场景视频教程
- 166浏览 收藏
-
- 科技周边 · 人工智能 | 6小时前 | CanvaAI Canva可画
- Canva可画官网入口及使用教程
- 484浏览 收藏
-
- 科技周边 · 人工智能 | 6小时前 |
- 豆包AI冷知识!热点神图制作技巧
- 436浏览 收藏
-
- 科技周边 · 人工智能 | 6小时前 |
- 可灵AI制作婚礼视频,照片变浪漫请柬
- 372浏览 收藏
-
- 科技周边 · 人工智能 | 6小时前 |
- AIUI设计与网页原型进阶教程
- 420浏览 收藏
-
- 科技周边 · 人工智能 | 6小时前 | 文心一言 百度AI文心一言
- 文心一言4.5API费用及使用指南
- 468浏览 收藏
-
- 科技周边 · 人工智能 | 6小时前 |
- 硅谷银行家换豪宅,只收Anthropic股份
- 479浏览 收藏
-
- 科技周边 · 人工智能 | 7小时前 |
- DeepSeekV4微信机器人被封解决方法
- 363浏览 收藏
-
- 科技周边 · 人工智能 | 7小时前 |
- AI作词工具推荐:一键生成原创歌词
- 127浏览 收藏
-
- 科技周边 · 人工智能 | 7小时前 |
- 星火创作儿童故事技巧全解析
- 105浏览 收藏
查看更多
课程推荐
-
- 前端进阶之JavaScript设计模式
- 设计模式是开发人员在软件开发过程中面临一般问题时的解决方案,代表了最佳的实践。本课程的主打内容包括JS常见设计模式以及具体应用场景,打造一站式知识长龙服务,适合有JS基础的同学学习。
- 543次学习
-
- GO语言核心编程课程
- 本课程采用真实案例,全面具体可落地,从理论到实践,一步一步将GO核心编程技术、编程思想、底层实现融会贯通,使学习者贴近时代脉搏,做IT互联网时代的弄潮儿。
- 516次学习
-
- 简单聊聊mysql8与网络通信
- 如有问题加微信:Le-studyg;在课程中,我们将首先介绍MySQL8的新特性,包括性能优化、安全增强、新数据类型等,帮助学生快速熟悉MySQL8的最新功能。接着,我们将深入解析MySQL的网络通信机制,包括协议、连接管理、数据传输等,让
- 500次学习
-
- JavaScript正则表达式基础与实战
- 在任何一门编程语言中,正则表达式,都是一项重要的知识,它提供了高效的字符串匹配与捕获机制,可以极大的简化程序设计。
- 487次学习
-
- 从零制作响应式网站—Grid布局
- 本系列教程将展示从零制作一个假想的网络科技公司官网,分为导航,轮播,关于我们,成功案例,服务流程,团队介绍,数据部分,公司动态,底部信息等内容区块。网站整体采用CSSGrid布局,支持响应式,有流畅过渡和展现动画。
- 485次学习
查看更多
AI推荐
-
- ChatExcel酷表
- ChatExcel酷表是由北京大学团队打造的Excel聊天机器人,用自然语言操控表格,简化数据处理,告别繁琐操作,提升工作效率!适用于学生、上班族及政府人员。
- 4480次使用
-
- Any绘本
- 探索Any绘本(anypicturebook.com/zh),一款开源免费的AI绘本创作工具,基于Google Gemini与Flux AI模型,让您轻松创作个性化绘本。适用于家庭、教育、创作等多种场景,零门槛,高自由度,技术透明,本地可控。
- 4823次使用
-
- 可赞AI
- 可赞AI,AI驱动的办公可视化智能工具,助您轻松实现文本与可视化元素高效转化。无论是智能文档生成、多格式文本解析,还是一键生成专业图表、脑图、知识卡片,可赞AI都能让信息处理更清晰高效。覆盖数据汇报、会议纪要、内容营销等全场景,大幅提升办公效率,降低专业门槛,是您提升工作效率的得力助手。
- 4706次使用
-
- 星月写作
- 星月写作是国内首款聚焦中文网络小说创作的AI辅助工具,解决网文作者从构思到变现的全流程痛点。AI扫榜、专属模板、全链路适配,助力新人快速上手,资深作者效率倍增。
- 6499次使用
-
- MagicLight
- MagicLight.ai是全球首款叙事驱动型AI动画视频创作平台,专注于解决从故事想法到完整动画的全流程痛点。它通过自研AI模型,保障角色、风格、场景高度一致性,让零动画经验者也能高效产出专业级叙事内容。广泛适用于独立创作者、动画工作室、教育机构及企业营销,助您轻松实现创意落地与商业化。
- 5076次使用
查看更多
相关文章
-
- GPT-4王者加冕!读图做题性能炸天,凭自己就能考上斯坦福
- 2023-04-25 501浏览
-
- 单块V100训练模型提速72倍!尤洋团队新成果获AAAI 2023杰出论文奖
- 2023-04-24 501浏览
-
- ChatGPT 真的会接管世界吗?
- 2023-04-13 501浏览
-
- VR的终极形态是「假眼」?Neuralink前联合创始人掏出新产品:科学之眼!
- 2023-04-30 501浏览
-
- 实现实时制造可视性优势有哪些?
- 2023-04-15 501浏览

