神经网络可能不再需要激活函数?Layer Normalization也具有非线性表达!
来源:机器之心
2024-07-02 19:54:50
0浏览
收藏
怎么入门科技周边编程?需要学习哪些知识点?这是新手们刚接触编程时常见的问题;下面golang学习网就来给大家整理分享一些知识点,希望能够给初学者一些帮助。本篇文章就来介绍《神经网络可能不再需要激活函数?Layer Normalization也具有非线性表达!》,涉及到,有需要的可以收藏一下

AIxiv专栏是本站发布学术、技术内容的栏目。过去数年,本站AIxiv专栏接收报道了2000多篇内容,覆盖全球各大高校与企业的顶级实验室,有效促进了学术交流与传播。如果您有优秀的工作想要分享,欢迎投稿或者联系报道。投稿邮箱:liyazhou@jiqizhixin.com;zhaoyunfeng@jiqizhixin.com
本文作者均来自北京航空航天大学人工智能学院和复杂关键软件环境全国重点实验室黄雷副教授团队。一作倪云昊为研一学生,二作郭宇芯为大三学生,三作贾俊龙为研二学生,通讯作者为黄雷副教授(主页:https://huangleibuaa.github.io/)
然而,最近由北京航空航天大学人工智能学院黄雷老师团队发表在ICML2024上的论文《On the Nonlinearity of Layer Normalization》指出,层标准化(Layer Normlization,LN)以及其计算退化版本RMSNorm具有非线性表达能力,并详细讨论了LN的万能近似分类能力。

论文地址:https://arxiv.org/abs/2406.01255
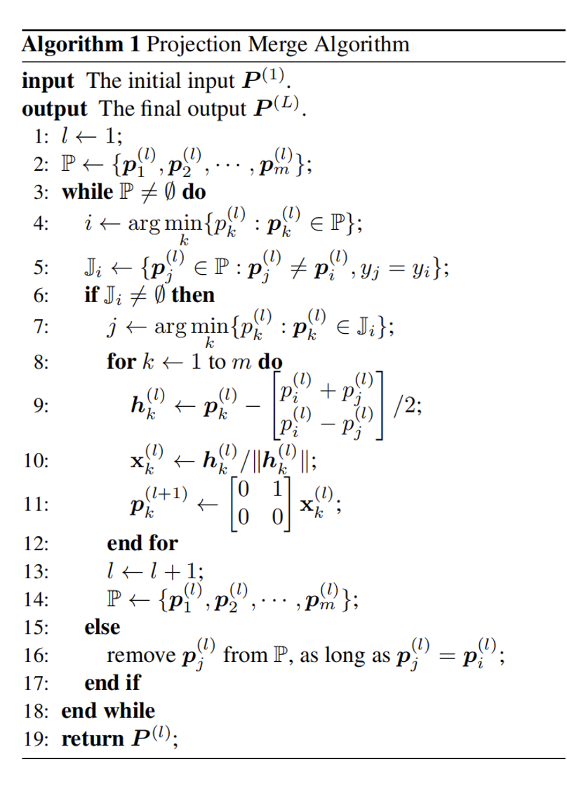
为了进一步研究,作者将LN拆分为两个步骤:中心化(centering)和尺度缩放(scaling)。中心化从数学上是一个线性变换,因此LN的非线性主要存在于尺度缩放操作当中(文章中也称之为球面投影,是RMSNorm执行的操作)。作者以最为简单的线性不可分的异或数据为例,通过线性变换和球面投影将这四个点进行了正确分类。





终于介绍完啦!小伙伴们,这篇关于《神经网络可能不再需要激活函数?Layer Normalization也具有非线性表达!》的介绍应该让你收获多多了吧!欢迎大家收藏或分享给更多需要学习的朋友吧~golang学习网公众号也会发布科技周边相关知识,快来关注吧!
版本声明
本文转载于:机器之心 如有侵犯,请联系study_golang@163.com删除
使用 Golang 框架开发微服务的注意事项是什么?
- 上一篇
- 使用 Golang 框架开发微服务的注意事项是什么?
- 下一篇
- 2.15 英寸、2527 PPI,日本 JDI 开发全球最高分辨率的 VR 用玻璃基 IPS LCD 屏幕
查看更多
最新文章
-
- 科技周边 · 人工智能 | 13秒前 |
- InVideoAI如何修改视频内容及编辑技巧
- 128浏览 收藏
-
- 科技周边 · 人工智能 | 5分钟前 |
- TOFAI素材库分类技巧与收藏夹使用教程
- 319浏览 收藏
-
- 科技周边 · 人工智能 | 15分钟前 |
- MiniMax平台收费吗?版本费用对比详解
- 167浏览 收藏
-
- 科技周边 · 人工智能 | 33分钟前 |
- Minimax语音输入使用技巧分享
- 466浏览 收藏
-
- 科技周边 · 人工智能 | 42分钟前 |
- GeminiAI植物动物识别教学指南
- 164浏览 收藏
-
- 科技周边 · 人工智能 | 44分钟前 |
- 豆包AI多语种翻译技巧解析
- 356浏览 收藏
-
- 科技周边 · 人工智能 | 48分钟前 |
- Workbuddy版本推荐与更新汇总
- 142浏览 收藏
-
- 科技周边 · 人工智能 | 54分钟前 | AI员工 零基础动手
- 深圳养虾大会:30分钟AI员工轻松上手
- 469浏览 收藏
-
- 科技周边 · 人工智能 | 1小时前 |
- VeedAI视频编辑流畅吗_在线教程步骤详解
- 330浏览 收藏
-
- 科技周边 · 人工智能 | 1小时前 |
- Workbuddy苹果版安装教程与使用方法
- 467浏览 收藏
-
- 科技周边 · 人工智能 | 1小时前 | 智谱清言
- 智谱清言官网入口与平台链接
- 250浏览 收藏
-
- 科技周边 · 人工智能 | 1小时前 | 骡子快跑
- 骡子快跑温度设置教程详解
- 132浏览 收藏
查看更多
课程推荐
-
- 前端进阶之JavaScript设计模式
- 设计模式是开发人员在软件开发过程中面临一般问题时的解决方案,代表了最佳的实践。本课程的主打内容包括JS常见设计模式以及具体应用场景,打造一站式知识长龙服务,适合有JS基础的同学学习。
- 543次学习
-
- GO语言核心编程课程
- 本课程采用真实案例,全面具体可落地,从理论到实践,一步一步将GO核心编程技术、编程思想、底层实现融会贯通,使学习者贴近时代脉搏,做IT互联网时代的弄潮儿。
- 516次学习
-
- 简单聊聊mysql8与网络通信
- 如有问题加微信:Le-studyg;在课程中,我们将首先介绍MySQL8的新特性,包括性能优化、安全增强、新数据类型等,帮助学生快速熟悉MySQL8的最新功能。接着,我们将深入解析MySQL的网络通信机制,包括协议、连接管理、数据传输等,让
- 500次学习
-
- JavaScript正则表达式基础与实战
- 在任何一门编程语言中,正则表达式,都是一项重要的知识,它提供了高效的字符串匹配与捕获机制,可以极大的简化程序设计。
- 487次学习
-
- 从零制作响应式网站—Grid布局
- 本系列教程将展示从零制作一个假想的网络科技公司官网,分为导航,轮播,关于我们,成功案例,服务流程,团队介绍,数据部分,公司动态,底部信息等内容区块。网站整体采用CSSGrid布局,支持响应式,有流畅过渡和展现动画。
- 485次学习
查看更多
AI推荐
-
- ChatExcel酷表
- ChatExcel酷表是由北京大学团队打造的Excel聊天机器人,用自然语言操控表格,简化数据处理,告别繁琐操作,提升工作效率!适用于学生、上班族及政府人员。
- 4217次使用
-
- Any绘本
- 探索Any绘本(anypicturebook.com/zh),一款开源免费的AI绘本创作工具,基于Google Gemini与Flux AI模型,让您轻松创作个性化绘本。适用于家庭、教育、创作等多种场景,零门槛,高自由度,技术透明,本地可控。
- 4576次使用
-
- 可赞AI
- 可赞AI,AI驱动的办公可视化智能工具,助您轻松实现文本与可视化元素高效转化。无论是智能文档生成、多格式文本解析,还是一键生成专业图表、脑图、知识卡片,可赞AI都能让信息处理更清晰高效。覆盖数据汇报、会议纪要、内容营销等全场景,大幅提升办公效率,降低专业门槛,是您提升工作效率的得力助手。
- 4459次使用
-
- 星月写作
- 星月写作是国内首款聚焦中文网络小说创作的AI辅助工具,解决网文作者从构思到变现的全流程痛点。AI扫榜、专属模板、全链路适配,助力新人快速上手,资深作者效率倍增。
- 6108次使用
-
- MagicLight
- MagicLight.ai是全球首款叙事驱动型AI动画视频创作平台,专注于解决从故事想法到完整动画的全流程痛点。它通过自研AI模型,保障角色、风格、场景高度一致性,让零动画经验者也能高效产出专业级叙事内容。广泛适用于独立创作者、动画工作室、教育机构及企业营销,助您轻松实现创意落地与商业化。
- 4826次使用
查看更多
相关文章
-
- GPT-4王者加冕!读图做题性能炸天,凭自己就能考上斯坦福
- 2023-04-25 501浏览
-
- 单块V100训练模型提速72倍!尤洋团队新成果获AAAI 2023杰出论文奖
- 2023-04-24 501浏览
-
- ChatGPT 真的会接管世界吗?
- 2023-04-13 501浏览
-
- VR的终极形态是「假眼」?Neuralink前联合创始人掏出新产品:科学之眼!
- 2023-04-30 501浏览
-
- 实现实时制造可视性优势有哪些?
- 2023-04-15 501浏览

