ICML 2024高分论文 | 零阶优化器微调大模型,大幅降低内存
来源:机器之心
2024-07-11 10:54:37
0浏览
收藏
哈喽!大家好,很高兴又见面了,我是golang学习网的一名作者,今天由我给大家带来一篇《ICML 2024高分论文 | 零阶优化器微调大模型,大幅降低内存》,本文主要会讲到等等知识点,希望大家一起学习进步,也欢迎大家关注、点赞、收藏、转发! 下面就一起来看看吧!

AIxiv专栏是本站发布学术、技术内容的栏目。过去数年,本站AIxiv专栏接收报道了2000多篇内容,覆盖全球各大高校与企业的顶级实验室,有效促进了学术交流与传播。如果您有优秀的工作想要分享,欢迎投稿或者联系报道。投稿邮箱:liyazhou@jiqizhixin.com;zhaoyunfeng@jiqizhixin.com
本文共同第一作者简介:张逸骅:密歇根州立大学计算机系博士三年级学生,师从Sijia Liu教授,主要研究方向是大模型的安全、隐私和效率问题。李平治:本科毕业于中国科学技术大学,将于2024 Fall博士入学北卡罗来纳大学教堂山分校,师从陈天龙教授,主要研究兴趣集中在高效机器学习和AI4Science领域。洪骏远:德州大学奥斯汀分校博后,导师是Zhangyang Wang教授。博士毕业于密歇根州立大学,师从Jiayu Zhou教授,目前主要的研究方向是可信大语言模型和人工智能的医疗应用。李佳翔:明尼苏达大学博士后,目前在洪明毅教授和张树中教授指导下做数值优化理论、机器学习理论和大规模机器学习优化问题的研究。


论文地址:https://arxiv.org/abs/2402.11592 代码地址:https://github.com/ZO-Bench/ZO-LLM 零阶优化讲义地址 (AAAI 2024 Tutorial):https://sites.google.com/view/zo-tutorial-aaai-2024/

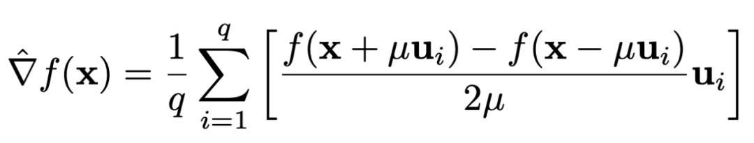
ZO-SGD:零阶随机梯度下降 [4] ZO-SGD-Sign:基于符号的(sign-based)零阶随机梯度下降 [5] ZO-SGD-MMT:带有动量(momentum)的零阶随机梯度下降 [6] ZO-SGD-Cons:保守(conservative)梯度更新的零阶随机梯度下降 [7] ZO-Adam:零阶 Adam 优化器 [8]
ZO-Adam 似乎是最有效的零阶优化器:在 8 个微调设置中的 4 个中表现最佳。 Forward-grad 是一种竞争力强但以前被忽视的方法,特别是在全模型微调 (full fine-tuning) 中。 ZO-SGD-Cons 和 ZO-SGD-MMT 也展示了强大的性能,而 ZO-SGD-Sign作为最简单的零阶优化器,往往是最弱的方法。

在更复杂的任务中,不同优化器的性能差异被进一步放大。 ZO-Adam 和 ZO-SGD-MMT 在各种实验下展示了非常好的稳定性,这可能归因于减少了方差的设计。 LoRA 微调对于零阶算法始终表现出强大的鲁棒性,在各种实验环境中稳定且可靠。






今天带大家了解了的相关知识,希望对你有所帮助;关于科技周边的技术知识我们会一点点深入介绍,欢迎大家关注golang学习网公众号,一起学习编程~
版本声明
本文转载于:机器之心 如有侵犯,请联系study_golang@163.com删除
使用Java框架进行并发编程的性能优化技巧有哪些?
- 上一篇
- 使用Java框架进行并发编程的性能优化技巧有哪些?
- 下一篇
- SIGGRAPH2024|上科大、影眸联合提出DressCode:从文本生成3D服装板片
查看更多
最新文章
-
- 科技周边 · 人工智能 | 6小时前 | 人工智能
- 节假日自动问候:OpenClaw微信节日营销文案定时群发教程
- 493浏览 收藏
-
- 科技周边 · 人工智能 | 6小时前 | Shutterstock
- Shutterstock图片怎么用于网站_Shutterstock网站配图下载与版权须知
- 147浏览 收藏
-
- 科技周边 · 人工智能 | 7小时前 |
- Pika怎么做动画视频 静态图转动态图参数多少【动画】
- 106浏览 收藏
-
- 科技周边 · 人工智能 | 7小时前 |
- 在 WorkBuddy 中禁用不常用的预置技能以节省资源
- 382浏览 收藏
-
- 科技周边 · 人工智能 | 7小时前 |
- Grok3怎么生成技术文档_Grok3编写规范技术文档教程
- 290浏览 收藏
-
- 科技周边 · 人工智能 | 7小时前 |
- 本地部署DeepSeek-R1推理版_7B模型实测
- 179浏览 收藏
-
- 科技周边 · 人工智能 | 7小时前 |
- DeepSeek V4怎么清洗销售线索_意向客户自动分级打标【线索】
- 292浏览 收藏
-
- 科技周边 · 人工智能 | 7小时前 |
- 医保AI监管系统!反诈骗技术服务,社保领域新刚需!
- 328浏览 收藏
-
- 科技周边 · 人工智能 | 7小时前 |
- DeepSeek V4系统提示词无效_system prompt位置与格式调整【系统】
- 241浏览 收藏
-
- 科技周边 · 人工智能 | 7小时前 |
- 龙虾机器人(clawdbot)官方网站访问入口 clawdbot网页端操作指南
- 122浏览 收藏
-
- 科技周边 · 人工智能 | 8小时前 | ChatGPT
- 2026年大模型硬件门槛_最低配置与推荐配置清单
- 306浏览 收藏
查看更多
课程推荐
-
- 前端进阶之JavaScript设计模式
- 设计模式是开发人员在软件开发过程中面临一般问题时的解决方案,代表了最佳的实践。本课程的主打内容包括JS常见设计模式以及具体应用场景,打造一站式知识长龙服务,适合有JS基础的同学学习。
- 543次学习
-
- GO语言核心编程课程
- 本课程采用真实案例,全面具体可落地,从理论到实践,一步一步将GO核心编程技术、编程思想、底层实现融会贯通,使学习者贴近时代脉搏,做IT互联网时代的弄潮儿。
- 516次学习
-
- 简单聊聊mysql8与网络通信
- 如有问题加微信:Le-studyg;在课程中,我们将首先介绍MySQL8的新特性,包括性能优化、安全增强、新数据类型等,帮助学生快速熟悉MySQL8的最新功能。接着,我们将深入解析MySQL的网络通信机制,包括协议、连接管理、数据传输等,让
- 500次学习
-
- JavaScript正则表达式基础与实战
- 在任何一门编程语言中,正则表达式,都是一项重要的知识,它提供了高效的字符串匹配与捕获机制,可以极大的简化程序设计。
- 487次学习
-
- 从零制作响应式网站—Grid布局
- 本系列教程将展示从零制作一个假想的网络科技公司官网,分为导航,轮播,关于我们,成功案例,服务流程,团队介绍,数据部分,公司动态,底部信息等内容区块。网站整体采用CSSGrid布局,支持响应式,有流畅过渡和展现动画。
- 485次学习
查看更多
AI推荐
-
- ChatExcel酷表
- ChatExcel酷表是由北京大学团队打造的Excel聊天机器人,用自然语言操控表格,简化数据处理,告别繁琐操作,提升工作效率!适用于学生、上班族及政府人员。
- 4465次使用
-
- Any绘本
- 探索Any绘本(anypicturebook.com/zh),一款开源免费的AI绘本创作工具,基于Google Gemini与Flux AI模型,让您轻松创作个性化绘本。适用于家庭、教育、创作等多种场景,零门槛,高自由度,技术透明,本地可控。
- 4810次使用
-
- 可赞AI
- 可赞AI,AI驱动的办公可视化智能工具,助您轻松实现文本与可视化元素高效转化。无论是智能文档生成、多格式文本解析,还是一键生成专业图表、脑图、知识卡片,可赞AI都能让信息处理更清晰高效。覆盖数据汇报、会议纪要、内容营销等全场景,大幅提升办公效率,降低专业门槛,是您提升工作效率的得力助手。
- 4690次使用
-
- 星月写作
- 星月写作是国内首款聚焦中文网络小说创作的AI辅助工具,解决网文作者从构思到变现的全流程痛点。AI扫榜、专属模板、全链路适配,助力新人快速上手,资深作者效率倍增。
- 6485次使用
-
- MagicLight
- MagicLight.ai是全球首款叙事驱动型AI动画视频创作平台,专注于解决从故事想法到完整动画的全流程痛点。它通过自研AI模型,保障角色、风格、场景高度一致性,让零动画经验者也能高效产出专业级叙事内容。广泛适用于独立创作者、动画工作室、教育机构及企业营销,助您轻松实现创意落地与商业化。
- 5061次使用
查看更多
相关文章
-
- GPT-4王者加冕!读图做题性能炸天,凭自己就能考上斯坦福
- 2023-04-25 501浏览
-
- 单块V100训练模型提速72倍!尤洋团队新成果获AAAI 2023杰出论文奖
- 2023-04-24 501浏览
-
- ChatGPT 真的会接管世界吗?
- 2023-04-13 501浏览
-
- VR的终极形态是「假眼」?Neuralink前联合创始人掏出新产品:科学之眼!
- 2023-04-30 501浏览
-
- 实现实时制造可视性优势有哪些?
- 2023-04-15 501浏览

