ICLR2024 | Harvard FairSeg: 第一个研究分割算法公平性的大型医疗分割数据集
有志者,事竟成!如果你在学习科技周边,那么本文《ICLR2024 | Harvard FairSeg: 第一个研究分割算法公平性的大型医疗分割数据集》,就很适合你!文章讲解的知识点主要包括,若是你对本文感兴趣,或者是想搞懂其中某个知识点,就请你继续往下看吧~

作者 | 田宇
近年来,人工智能模型的公平性问题受到了越来越多的关注,尤其是在医学领域,因为医学模型的公平性对人们的健康和生命至关重要。高质量的医学公平性数据集对促进公平学习研究非常必要。
现有的医学公平性数据集都是针对分类任务的,而没有可用于医学分割的公平性数据集,但是医学分割与分类一样都是非常重要的医学 AI 任务,在某些场景分割甚至优于分类,因为它能够提供待临床医生评估的器官异常的详细空间信息。
在最新的研究中,哈佛大学(Harvard University)的Harvard-Ophthalmology-AI-Lab 团队提出了第一个用于医学分割的公平性数据集,名为 Harvard-FairSeg,包含 10,000 个患者样本。此外,还提出了一种公平的误差界限缩放方法,通过使用最新的 Segment Anything Model(SAM),以每个身份组的上界误差为基础重新加权损失函数。
为了促进公平比较,该团队利用了一种新颖的评估公平性在分割任务的标准,叫做 equity-scaled segmentation performance。通过全面的实验,研究人员证明了他们的方法要么具有优越性,要么与最先进的公平学习模型在公平性能上相当。
在这里,哈佛大学的研究人员和大家分享一波 ICLR 2024 中稿的工作「Harvard FairSeg: A Large-Scale Medical Image Segmentation Dataset for Fairness Learning Using Segment Anything Model with Fair Error-Bound Scaling」。

代码地址: https://github.com/Harvard-Ophthalmology-AI-Lab/Harvard-FairSeg
数据集网站:https://ophai.hms.harvard.edu/datasets/harvard-fairseg10k/
数据集下载链接: https://drive.google.com/drive/u/1/folders/1tyhEhYHR88gFkVzLkJI4gE1BoOHoHdWZ
Harvard-Ophthalmology-AI-Lab 致力于提供高质量公平性数据集,更多数据集包含三种眼科疾病的公平性分类任务。
Harvard-Ophthalmology-AI-Lab 的数据集网页:https://ophai.hms.harvard.edu/datasets/
背景
随着人工智能在医学影像诊断中的应用日益增多,确保这些深度学习模型的公平性并深入探究在复杂的现实世界情境中可能出现的隐藏偏见变得至关重要。遗憾的是,机器学习模型可能无意中包含了与医学图像相关的敏感属性(如种族和性别),这可能影响模型区分异常的能力。这一挑战促使人们在机器学习和计算机视觉领域进行了大量的努力,以调查偏见、倡导公平性,并推出新的数据集。

截至目前,只有少数公共公平性数据集被提出用于研究公平性分类,主要的是,这些数据集中的大多数都只是表格数据,因此不适合开发需要影像数据的公平计算机视觉模型。对计算机视觉公平性的缺失尤其令人关注,特别是考虑到依赖此类数据的深度学习模型的影响力日益增强。在医学影像领域,只有少数数据集被用于公平学习。
这些数据集大多没有专门为公平性建模而设计(目前仅有的医疗图像数据集我们列在了table 1)。它们通常只包含有限范围的敏感属性,如年龄、性别和种族,因此限制了检查不同人群公平性的范围。此外,它们也缺乏全面的基准测试框架。更重要的是,尽管这些先前的数据集和方法为医学分类提供了解决方案,但它们忽视了医学分割这一更为关键的领域。
然而,为公平学习创建这样一个新的大型数据集面临着多重挑战。首先,缺乏大规模、高质量的医学数据以及手工像素级注释,这些都需要大量劳动力和时间来收集和标注。其次,现有提升公平性的方法主要是为医学分类设计的,当适应分割任务时,其性能仍然存疑。同样不确定的是,分割任务中存在的不公平是否可以通过算法有效地缓解。最后,评估医学分割模型公平性的评判标准 (evaluation metric)仍然难以捉摸。此外,将现有为分类设计的公平性指标适应到分割任务上也可能存在挑战。

为了解决这些挑战,我们提出了第一个大规模医学分割领域的公平性数据集,Harvard-FairSeg。该数据集旨在用于研究公平性的cup-disc segmentation,从 SLO 眼底图像中诊断青光眼,如图 1 所示。
青光眼是全球不可逆盲目的主要原因之一,在 40-80 岁年龄段的患病率为 3.54%,大约影响了 8000 万人。早期青光眼通常无症状,这强调了及时进行专业检查的必要性。对 cup-disc 的准确分割对于医疗专业人员早期诊断青光眼至关重要。
值得注意的是,与其他群体相比,黑人患青光眼的风险加倍,然而这一人群的分割准确率通常最低。这激励我们整理一个数据集,以研究分割公平性问题我们提出的 Harvard-FairSeg 数据集的亮点如下:
(1)医学分割领域第一个公平性学习数据集。该数据集提供了 SLO 眼底成像数据的 cup-disc 分割;(2)该数据集配备了从现实医院临床情景中收集的六种敏感属性,用于研究公平性学习问题;(3)我们在我们提出的新数据集上评估了多个 SOTA 公平性学习算法,并使用包括 Dice 和 IoU 在内的多种分割性能指标进行了评估。
如何获得大量的高质量分割标注
本研究中测试的对象来自于一家大型学术眼科医院,时间跨度为 2010 年至 2021 年。本研究将发布三种类型的数据:(1)SLO 眼底扫描图像;(2)患者人口统计信息 包含了六种不同的属性;(3)由 OCT 机器自动标注以及由专业医疗从业者手工评级的像素级标注如何获得大量高质量分割标注一直是医疗分割的很重要分体。
我们新颖的通过把 cup 和 disc 区域的像素标注首先从 OCT 机器获得,其中 disc 边界在 3D OCT 中被分割为 Bruch’s 膜开口,由 OCT 制造商软件实现, cup 边界被检测为内限膜(ILM)与导致最小表面积的平面之间的交叉点和 disc 边界在平面上的交叉点。大致上,cup 边界可以被认为是 ILM 上最靠近视盘边界的位置,即被定义为 Bruch’s 膜开口。
由于 Bruch’s 膜开口和内限膜与背景之间的高对比度,它们很容易被分割。因此因为 OCT 制造商软件利用了 3D 信息,利用 oct 机器对 cup 和 disc 的分割通常是可靠的。
相比之下,眼底照片上的 2Dcup 和 disc 分割可能因包括衰减的成像信号和血管阻塞等各种因素而具有挑战性。然而,由于 OCT 机器相当昂贵且在初级保健中较少见,因此我们提议将这些注释从 3D OCT 迁移到 2D SLO 眼底图片,以在初级保健领域的早期青光眼筛查中产生更广泛的影响。
具体来说,我们首先使用 NiftyReg 工具将 SLO 眼底图像与 OCT 衍生的眼底图像(OCT 眼底)对齐随后,将 NiftyReg 的仿射度量应用于 OCT 眼底图像的 cup-disc 掩码,使其与 SLO 眼底图像对齐。这一过程有效地产生了大量高质量的SLO眼底掩码注释,避免了劳动密集型的手工像素标注过程。
值得注意的是,这种 medical registration 的操作在现实世界场景中展示了相当高的精确度,我们的经验观察表明,medical registration 成功率大约为 80%。在这一自动化过程之后,生成的掩码经过严格审查,并由五名医学专业人员小组手动评级,以确保 cup-disc 区域的精确标注,并排除位置错误的 cup 或 disc 掩码和 registration 失败的情况。
数据特征:我们的 Harvard-FairSeg 数据集包含来自 10,000 名受试者的 10,000 个样本。我们将数据分为包含 8,000 个样本的训练集和包含 2,000 个样本的测试集。数据集的平均年龄为 60.3±16.5 岁。在该数据集中,包含了六个敏感属性,用于深入的公平性学习研究,这些属性包括年龄、性别、种族、民族、首选语言和婚姻状况。
在种族人口统计学上,数据集包括来自三个主要群体的样本:亚洲人,有919个样本;黑人,有 1,473 个样本;白人,有 7,608 个样本。在性别方面,女性占受试者的 58.5%,其余为男性。民族分布以90.6% 的非西班牙裔,3.7% 的西班牙裔和 5.7% 的未说明。在首选语言方面,92.4% 的受试者首选英语,1.5% 首选西班牙语,1%首选其他语言,5.1% 未确定。从婚姻状况的角度来看,57.7%的人已婚或有伴侣,27.1% 是单身,6.8% 经历过离婚,0.8%法律上分居,5.2%是丧偶,2.4% 未说明。
我们的提升公平性的方法 Fair Error-Bound Scaling
我们假设获得较小整体 Dice 损失的样本组意味着模型对该特定组的样本学习得更好,因此,这些样本组需要较小的权重。相反,整体 Dice 损失较大的样本组(即难处理的案例)可能导致更差的泛化能力并引起更多的算法偏差,这需要为这些样本组分配较大的学习权重。
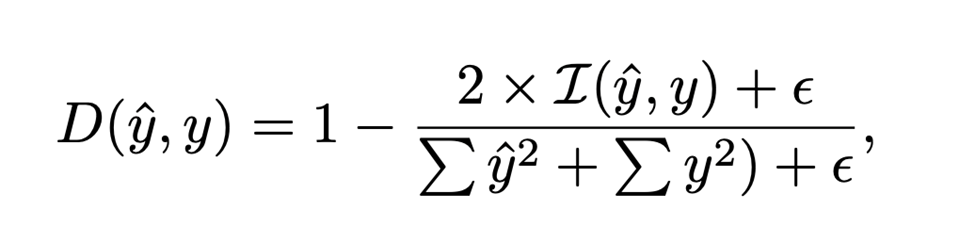
因此,我们提出了一种新的公平误差界限缩放方法,用于在训练过程中缩放不同人群组之间的 Dice 损失。我们首先定义预测像素得分和真实目标之间的标准 Dice 损失表示为:

为了确保在不同属性组之间的公平性,我们使用一种新颖的公平误差界限缩放机制来增强上述Dice损失。损失函数:


通过用这些属性权重调节预测像素得分,这种损失确保不同属性组在模型训练过程中平衡地贡献于损失函数,从而促进公平性。
用于评估公平分割准确性的 metric:传统的分割度量如 Dice 和 IoU 提供了对分割性能的洞察,但可能无法有效捕捉不同群体间的公平性。考虑到这一点,我们的目标是提出一种新的 metric,既包括分割的准确性,也包括在不同群体间的公平性。这就产生了一个全面的视角,确保模型既准确又公平。
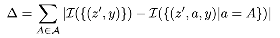
为了纳入群体公平性,我们需要单独评估群体的准确性。我们首先定义一个分割度量准确率差异 ∆,如下所示:

这里,∆ 度量了每个群体的准确性与总体准确性的总体偏差。当所有群体达到类似的分割准确性时,它接近零。
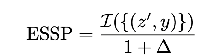
当我们考虑不同群体间的公平性时,我们需要计算总体分割准确性与每个人口统计群体内的准确性之间的相对差异。基于这个,我们定义了Equity-Scaled Segmentation Performance(ESSP)度量,如下所定义:

这种公式确保 ESSP 始终小于或等于 I。随着 ∆ 减小(表示群体间的分割性能平等),ESSP 趋于传统分割 metric。相反,较高的 ∆ 表示群体间分割性能的更大差异,导致较低的 ESSP 得分。
这种方法允许我们评估分割模型不仅在准确性(通过 Dice、IoU 等 metric)上,而且在不同群体间的公平性上。这使得 ESSP 评分函数成为确保医学成像任务中分割准确性和公平性的关键指标。这种 metric 可以和传统的 dice IoU 拼到一起 成为 ES-Dice 和 ES-IoU。
实验
我们选择了两个分割网络作为 backbone。其中,我们选择了最近推出的分割大模型 Segment Anything Model (SAM) 来实验 SOTA 的分割准确性,另一个 backbone 我们选择了 TransUNet。




我们也利用了其他分割的 metric 例如 HD95 ASD 和 NSD 进行测试,下面是在种族上的结果:

今天关于《ICLR2024 | Harvard FairSeg: 第一个研究分割算法公平性的大型医疗分割数据集》的内容就介绍到这里了,是不是学起来一目了然!想要了解更多关于产业的内容请关注golang学习网公众号!
使用 Vercel AI SDK 实现多个并行 AI 流
- 上一篇
- 使用 Vercel AI SDK 实现多个并行 AI 流
- 下一篇
- 使用Python高效读取数百万行SQL数据
-
- 科技周边 · 人工智能 | 1小时前 |
- 本地大模型微调入门_LoRA低显存训练指南
- 117浏览 收藏
-
- 科技周边 · 人工智能 | 1小时前 | Hermes Agent HermesAgent
- Hermes Agent是开源的吗_Hermes Agent开源协议与代码说明【开源】
- 498浏览 收藏
-
- 科技周边 · 人工智能 | 2小时前 |
- 如何在Perplexity中切换GPT-4o模型_进入Settings页面手动选择AI模型
- 438浏览 收藏
-
- 科技周边 · 人工智能 | 2小时前 | openclaw
- OpenClawAI运行慢怎么优化_OpenClawAI提升大模型响应速度技巧【技巧】
- 425浏览 收藏
-
- 科技周边 · 人工智能 | 2小时前 |
- 如何提升代码运行效率并降低功耗 利用DeepSeek Coder优化算法时间复杂度
- 254浏览 收藏
-
- 科技周边 · 人工智能 | 2小时前 | CodeGeeX CodeGeeX生成Go代码保姆级教程
- CodeGeeX怎么写Go日志_CodeGeeX生成Zap日志代码【Go日志】
- 155浏览 收藏
-
- 科技周边 · 人工智能 | 3小时前 | AI工具 民间故事ai工具
- DALL-E怎么设计AI民间故事插图_DALL-E设计AI民间故事插图详细流程说明
- 122浏览 收藏
-
- 科技周边 · 人工智能 | 3小时前 |
- 文心一言怎么分析用户评论_文心一言情感分析与洞察方法
- 223浏览 收藏
-
- 科技周边 · 人工智能 | 3小时前 |
- Minimax如何利用提示词控制颜色 Minimax配色方案写法
- 310浏览 收藏
-
- 科技周边 · 人工智能 | 3小时前 |
- 豆包AI怎样用数据增强年终总结说服力_豆包AI增说服力法【策略】
- 493浏览 收藏
-
- 科技周边 · 人工智能 | 3小时前 | ChatGPT
- 搭建高可用AI服务_Nginx反向代理与负载均衡配置
- 491浏览 收藏
-
- 科技周边 · 人工智能 | 3小时前 |
- 豆包AI如何做Plog图文排版_豆包AI制作Plog排版技巧全解析
- 200浏览 收藏
-
- 前端进阶之JavaScript设计模式
- 设计模式是开发人员在软件开发过程中面临一般问题时的解决方案,代表了最佳的实践。本课程的主打内容包括JS常见设计模式以及具体应用场景,打造一站式知识长龙服务,适合有JS基础的同学学习。
- 543次学习
-
- GO语言核心编程课程
- 本课程采用真实案例,全面具体可落地,从理论到实践,一步一步将GO核心编程技术、编程思想、底层实现融会贯通,使学习者贴近时代脉搏,做IT互联网时代的弄潮儿。
- 516次学习
-
- 简单聊聊mysql8与网络通信
- 如有问题加微信:Le-studyg;在课程中,我们将首先介绍MySQL8的新特性,包括性能优化、安全增强、新数据类型等,帮助学生快速熟悉MySQL8的最新功能。接着,我们将深入解析MySQL的网络通信机制,包括协议、连接管理、数据传输等,让
- 500次学习
-
- JavaScript正则表达式基础与实战
- 在任何一门编程语言中,正则表达式,都是一项重要的知识,它提供了高效的字符串匹配与捕获机制,可以极大的简化程序设计。
- 487次学习
-
- 从零制作响应式网站—Grid布局
- 本系列教程将展示从零制作一个假想的网络科技公司官网,分为导航,轮播,关于我们,成功案例,服务流程,团队介绍,数据部分,公司动态,底部信息等内容区块。网站整体采用CSSGrid布局,支持响应式,有流畅过渡和展现动画。
- 485次学习
-
- ChatExcel酷表
- ChatExcel酷表是由北京大学团队打造的Excel聊天机器人,用自然语言操控表格,简化数据处理,告别繁琐操作,提升工作效率!适用于学生、上班族及政府人员。
- 4467次使用
-
- Any绘本
- 探索Any绘本(anypicturebook.com/zh),一款开源免费的AI绘本创作工具,基于Google Gemini与Flux AI模型,让您轻松创作个性化绘本。适用于家庭、教育、创作等多种场景,零门槛,高自由度,技术透明,本地可控。
- 4812次使用
-
- 可赞AI
- 可赞AI,AI驱动的办公可视化智能工具,助您轻松实现文本与可视化元素高效转化。无论是智能文档生成、多格式文本解析,还是一键生成专业图表、脑图、知识卡片,可赞AI都能让信息处理更清晰高效。覆盖数据汇报、会议纪要、内容营销等全场景,大幅提升办公效率,降低专业门槛,是您提升工作效率的得力助手。
- 4696次使用
-
- 星月写作
- 星月写作是国内首款聚焦中文网络小说创作的AI辅助工具,解决网文作者从构思到变现的全流程痛点。AI扫榜、专属模板、全链路适配,助力新人快速上手,资深作者效率倍增。
- 6486次使用
-
- MagicLight
- MagicLight.ai是全球首款叙事驱动型AI动画视频创作平台,专注于解决从故事想法到完整动画的全流程痛点。它通过自研AI模型,保障角色、风格、场景高度一致性,让零动画经验者也能高效产出专业级叙事内容。广泛适用于独立创作者、动画工作室、教育机构及企业营销,助您轻松实现创意落地与商业化。
- 5063次使用
-
- GPT-4王者加冕!读图做题性能炸天,凭自己就能考上斯坦福
- 2023-04-25 501浏览
-
- 单块V100训练模型提速72倍!尤洋团队新成果获AAAI 2023杰出论文奖
- 2023-04-24 501浏览
-
- ChatGPT 真的会接管世界吗?
- 2023-04-13 501浏览
-
- VR的终极形态是「假眼」?Neuralink前联合创始人掏出新产品:科学之眼!
- 2023-04-30 501浏览
-
- 实现实时制造可视性优势有哪些?
- 2023-04-15 501浏览

