LLama+Mistral+…+Yi=? 免训练异构大模型集成学习框架DeePEn来了
来源:机器之心
2024-07-19 16:54:38
0浏览
收藏
你在学习科技周边相关的知识吗?本文《LLama+Mistral+…+Yi=? 免训练异构大模型集成学习框架DeePEn来了》,主要介绍的内容就涉及到,如果你想提升自己的开发能力,就不要错过这篇文章,大家要知道编程理论基础和实战操作都是不可或缺的哦!

AIxiv专栏是本站发布学术、技术内容的栏目。过去数年,本站AIxiv专栏接收报道了2000多篇内容,覆盖全球各大高校与企业的顶级实验室,有效促进了学术交流与传播。如果您有优秀的工作想要分享,欢迎投稿或者联系报道。投稿邮箱:liyazhou@jiqizhixin.com;zhaoyunfeng@jiqizhixin.com


论文标题:Ensemble Learning for Heterogeneous LargeLanguage Models with Deep Parallel Collaboration 论文地址:https://arxiv.org/abs/2404.12715 代码地址:https://github.com/OrangeInSouth/DeePEn

,并从中抽取一个子集 A⊆C 或使用全部共享词作为锚点词集合 A=C。
,DeePEn 计算词表中每个 token 与锚点 token 的嵌入相似度,得到相对表示矩阵
。最后,为了克服离群词的相对表示退化问题,论文作者对相对表示矩阵进行行归一化,通过对矩阵的每一行进行 softmax 操作,得到归一化相对表示矩阵
。
输出概率分布
,DeePEn 使用归一化相对表示矩阵将
转换为相对表示
:
其中
是模型
的协作权重。作者尝试了两种确定协作权重值的方法:(1) DeePEn-Avg,对所有模型使用相同的权重;(2) DeePEn-Adapt,根据各个模型的验证集性能成比例地为每个模型设置权重。

表示模型
的绝对空间,
是衡量相对表示之间距离的损失函数(KL 散度)。
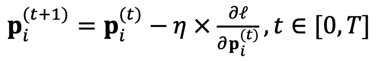
相对于绝对表示
的梯度来指导搜索过程,并迭代地进行搜索。具体来说,DeePEn 将搜索的起始点
初始化为主模型的原始绝对表示,并进行更新:
来确定下一步输出的 token。


今天关于《LLama+Mistral+…+Yi=? 免训练异构大模型集成学习框架DeePEn来了》的内容就介绍到这里了,是不是学起来一目了然!想要了解更多关于产业,DeePEn的内容请关注golang学习网公众号!
版本声明
本文转载于:机器之心 如有侵犯,请联系study_golang@163.com删除
使用 PHP 框架构建物联网应用的常见挑战及解决方案
- 上一篇
- 使用 PHP 框架构建物联网应用的常见挑战及解决方案
- 下一篇
- 完蛋,我被数字同事包围了!小冰AI数字员工再升级,零样本定制,即时上岗
查看更多
最新文章
-
- 科技周边 · 人工智能 | 20分钟前 |
- Kimi如何将网页内容一键转为Word文档_Kimi格式转换功能教学【工具】
- 274浏览 收藏
-
- 科技周边 · 人工智能 | 21分钟前 |
- Hermes Agent的API文档怎么生成 API文档自动化工具
- 313浏览 收藏
-
- 科技周边 · 人工智能 | 48分钟前 |
- WorkBuddy接入企业微信无法拉取部门列表为何_检查通讯录Secret权限
- 395浏览 收藏
-
- 科技周边 · 人工智能 | 1小时前 |
- AI写作软件哪个好 最好用的AI写作工具推荐
- 368浏览 收藏
-
- 科技周边 · 人工智能 | 1小时前 | 即梦AI
- 即梦AI如何生成儿童插画_即梦AI童趣风格教程【插画】
- 197浏览 收藏
-
- 科技周边 · 人工智能 | 1小时前 |
- 怎么在Perplexity中查找特定程序员的开源项目_搜索GitHub用户名
- 343浏览 收藏
-
- 科技周边 · 人工智能 | 1小时前 |
- Windows部署Core组策略_禁用自动更新防止服务中断
- 257浏览 收藏
-
- 科技周边 · 人工智能 | 1小时前 | Workbuddy
- WorkBuddy怎么写一封专业的离职信_WorkBuddy职场通用文案撰写攻略【模板】
- 176浏览 收藏
-
- 科技周边 · 人工智能 | 1小时前 |
- 为什么 Claude 在编写复杂正则表达式时不容易出错?
- 315浏览 收藏
-
- 科技周边 · 人工智能 | 1小时前 |
- 怎么让ChatGPT进行角色扮演 ChatGPT超强角色扮演指令玩法【分享】
- 264浏览 收藏
-
- 科技周边 · 人工智能 | 1小时前 | MuleRun
- MuleRun怎么启用通知_MuleRun任务完成提醒设置方法
- 220浏览 收藏
查看更多
课程推荐
-
- 前端进阶之JavaScript设计模式
- 设计模式是开发人员在软件开发过程中面临一般问题时的解决方案,代表了最佳的实践。本课程的主打内容包括JS常见设计模式以及具体应用场景,打造一站式知识长龙服务,适合有JS基础的同学学习。
- 543次学习
-
- GO语言核心编程课程
- 本课程采用真实案例,全面具体可落地,从理论到实践,一步一步将GO核心编程技术、编程思想、底层实现融会贯通,使学习者贴近时代脉搏,做IT互联网时代的弄潮儿。
- 516次学习
-
- 简单聊聊mysql8与网络通信
- 如有问题加微信:Le-studyg;在课程中,我们将首先介绍MySQL8的新特性,包括性能优化、安全增强、新数据类型等,帮助学生快速熟悉MySQL8的最新功能。接着,我们将深入解析MySQL的网络通信机制,包括协议、连接管理、数据传输等,让
- 500次学习
-
- JavaScript正则表达式基础与实战
- 在任何一门编程语言中,正则表达式,都是一项重要的知识,它提供了高效的字符串匹配与捕获机制,可以极大的简化程序设计。
- 487次学习
-
- 从零制作响应式网站—Grid布局
- 本系列教程将展示从零制作一个假想的网络科技公司官网,分为导航,轮播,关于我们,成功案例,服务流程,团队介绍,数据部分,公司动态,底部信息等内容区块。网站整体采用CSSGrid布局,支持响应式,有流畅过渡和展现动画。
- 485次学习
查看更多
AI推荐
-
- ChatExcel酷表
- ChatExcel酷表是由北京大学团队打造的Excel聊天机器人,用自然语言操控表格,简化数据处理,告别繁琐操作,提升工作效率!适用于学生、上班族及政府人员。
- 4462次使用
-
- Any绘本
- 探索Any绘本(anypicturebook.com/zh),一款开源免费的AI绘本创作工具,基于Google Gemini与Flux AI模型,让您轻松创作个性化绘本。适用于家庭、教育、创作等多种场景,零门槛,高自由度,技术透明,本地可控。
- 4810次使用
-
- 可赞AI
- 可赞AI,AI驱动的办公可视化智能工具,助您轻松实现文本与可视化元素高效转化。无论是智能文档生成、多格式文本解析,还是一键生成专业图表、脑图、知识卡片,可赞AI都能让信息处理更清晰高效。覆盖数据汇报、会议纪要、内容营销等全场景,大幅提升办公效率,降低专业门槛,是您提升工作效率的得力助手。
- 4690次使用
-
- 星月写作
- 星月写作是国内首款聚焦中文网络小说创作的AI辅助工具,解决网文作者从构思到变现的全流程痛点。AI扫榜、专属模板、全链路适配,助力新人快速上手,资深作者效率倍增。
- 6485次使用
-
- MagicLight
- MagicLight.ai是全球首款叙事驱动型AI动画视频创作平台,专注于解决从故事想法到完整动画的全流程痛点。它通过自研AI模型,保障角色、风格、场景高度一致性,让零动画经验者也能高效产出专业级叙事内容。广泛适用于独立创作者、动画工作室、教育机构及企业营销,助您轻松实现创意落地与商业化。
- 5060次使用
查看更多
相关文章
-
- GPT-4王者加冕!读图做题性能炸天,凭自己就能考上斯坦福
- 2023-04-25 501浏览
-
- 单块V100训练模型提速72倍!尤洋团队新成果获AAAI 2023杰出论文奖
- 2023-04-24 501浏览
-
- ChatGPT 真的会接管世界吗?
- 2023-04-13 501浏览
-
- VR的终极形态是「假眼」?Neuralink前联合创始人掏出新产品:科学之眼!
- 2023-04-30 501浏览
-
- 实现实时制造可视性优势有哪些?
- 2023-04-15 501浏览

