无限生成视频,还能规划决策,扩散强制整合下一token预测与全序列扩散
来源:机器之心
2024-07-23 13:58:07
0浏览
收藏
珍惜时间,勤奋学习!今天给大家带来《无限生成视频,还能规划决策,扩散强制整合下一token预测与全序列扩散》,正文内容主要涉及到等等,如果你正在学习科技周边,或者是对科技周边有疑问,欢迎大家关注我!后面我会持续更新相关内容的,希望都能帮到正在学习的大家!
当前,采用下一 token 预测范式的自回归大型语言模型已经风靡全球,同时互联网上的大量合成图像和视频也早已让我们见识到了扩散模型的强大之处。
近日,MIT CSAIL 的一个研究团队(一作为 MIT 在读博士陈博远)成功地将全序列扩散模型与下一 token 模型的强大能力统合到了一起,提出了一种训练和采样范式:Diffusion Forcing(DF)。

论文标题:Diffusion Forcing:Next-token Prediction Meets Full-Sequence Diffusion
论文地址:https://arxiv.org/pdf/2407.01392
项目网站:https://boyuan.space/diffusion-forcing
代码地址:https://github.com/buoyancy99/diffusion-forcing
如下所示,扩散强制在一致性和稳定性方面都明显胜过全序列扩散和教师强制这两种方法。



添加噪声的过程)看作一种部分掩码(partial masking),这可被称为「沿噪声轴执行掩码)。
(大概)就是白噪声了,不再有任何有关原数据的信息。
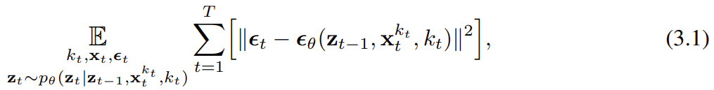
,其中的关键在于每个 token 的噪声水平 k_t 会随时间步骤而变化。
而演化。当获得输入噪声观察
时,就以马尔可夫方式更新该隐藏状态。

上优化证据下限(ELBO)的重新加权,其中期望值会在噪声水平上平均,而
是根据前向过程加噪。此外,在适当条件下,优化 (3.1) 式还可以同时最大化所有噪声水平序列的似然下限。
让自回归生成变得稳定 保持未来的不确定 长期引导能力
的预期累积奖励最大化。这里分配 token x_t = [a_t, r_t, o_{t+1}]。一条轨迹就是一个序列 x_{1:T},其长度可能是可变的;训练方式则如算法 1 所示。
,其中
包含预测的动作、奖励和观察。H 是一个前向观察窗口,类似于模型预测控制中的未来预测。在采用了规划的动作之后,环境会得到一个奖励和下一个观察,从而得到下一个 token。其中隐藏状态可以根据后验 p_θ(z_t|z_{t−1}, x_t, 0) 获得更新。具有灵活的规划范围 可实现灵活的奖励引导 能实现蒙特卡洛树引导(MCTG),从而实现未来不确定性





到这里,我们也就讲完了《无限生成视频,还能规划决策,扩散强制整合下一token预测与全序列扩散》的内容了。个人认为,基础知识的学习和巩固,是为了更好的将其运用到项目中,欢迎关注golang学习网公众号,带你了解更多关于工程的知识点!
版本声明
本文转载于:机器之心 如有侵犯,请联系study_golang@163.com删除
神经网络也有空间意识!学会在Minecraft创建地图,登上Nature子刊
- 上一篇
- 神经网络也有空间意识!学会在Minecraft创建地图,登上Nature子刊
- 下一篇
- ECCV 2024|盲视频去闪烁通用方法BlazeBVD来了,美图&国科大联合提出
查看更多
最新文章
-
- 科技周边 · 人工智能 | 9分钟前 |
- DeepSeek生成Matplotlib代码教学指南
- 303浏览 收藏
-
- 科技周边 · 人工智能 | 23分钟前 |
- 本地大模型硬件升级攻略
- 254浏览 收藏
-
- 科技周边 · 人工智能 | 26分钟前 |
- Token发展史:从凭证到AI计价原子
- 234浏览 收藏
-
- 科技周边 · 人工智能 | 41分钟前 | 爱奇艺纳豆pro
- 爱奇艺纳豆Pro支持语音识别吗?
- 122浏览 收藏
-
- 科技周边 · 人工智能 | 52分钟前 | Hermes Agent HermesAgent
- HermesAgent开机自启设置教程
- 291浏览 收藏
-
- 科技周边 · 人工智能 | 1小时前 |
- WorkBuddy重构方案为何失效?业务约束详解
- 128浏览 收藏
-
- 科技周边 · 人工智能 | 1小时前 | ChatGPT ChatGPT5
- ChatGPT5.5推荐本地美食攻略
- 201浏览 收藏
-
- 科技周边 · 人工智能 | 1小时前 | CanvaAI Canva可画
- CanvaAI抠图教程:精准去背演示
- 288浏览 收藏
-
- 科技周边 · 人工智能 | 2小时前 |
- PerplexityvsWiki:实时交互优势对比
- 429浏览 收藏
-
- 科技周边 · 人工智能 | 2小时前 | HermesAgent
- HermesAgent接入Discord,玩家AI配置教程
- 163浏览 收藏
-
- 科技周边 · 人工智能 | 2小时前 |
- 猫箱网页版免登录入口直达
- 128浏览 收藏
查看更多
课程推荐
-
- 前端进阶之JavaScript设计模式
- 设计模式是开发人员在软件开发过程中面临一般问题时的解决方案,代表了最佳的实践。本课程的主打内容包括JS常见设计模式以及具体应用场景,打造一站式知识长龙服务,适合有JS基础的同学学习。
- 543次学习
-
- GO语言核心编程课程
- 本课程采用真实案例,全面具体可落地,从理论到实践,一步一步将GO核心编程技术、编程思想、底层实现融会贯通,使学习者贴近时代脉搏,做IT互联网时代的弄潮儿。
- 516次学习
-
- 简单聊聊mysql8与网络通信
- 如有问题加微信:Le-studyg;在课程中,我们将首先介绍MySQL8的新特性,包括性能优化、安全增强、新数据类型等,帮助学生快速熟悉MySQL8的最新功能。接着,我们将深入解析MySQL的网络通信机制,包括协议、连接管理、数据传输等,让
- 500次学习
-
- JavaScript正则表达式基础与实战
- 在任何一门编程语言中,正则表达式,都是一项重要的知识,它提供了高效的字符串匹配与捕获机制,可以极大的简化程序设计。
- 487次学习
-
- 从零制作响应式网站—Grid布局
- 本系列教程将展示从零制作一个假想的网络科技公司官网,分为导航,轮播,关于我们,成功案例,服务流程,团队介绍,数据部分,公司动态,底部信息等内容区块。网站整体采用CSSGrid布局,支持响应式,有流畅过渡和展现动画。
- 485次学习
查看更多
AI推荐
-
- ChatExcel酷表
- ChatExcel酷表是由北京大学团队打造的Excel聊天机器人,用自然语言操控表格,简化数据处理,告别繁琐操作,提升工作效率!适用于学生、上班族及政府人员。
- 4500次使用
-
- Any绘本
- 探索Any绘本(anypicturebook.com/zh),一款开源免费的AI绘本创作工具,基于Google Gemini与Flux AI模型,让您轻松创作个性化绘本。适用于家庭、教育、创作等多种场景,零门槛,高自由度,技术透明,本地可控。
- 4852次使用
-
- 可赞AI
- 可赞AI,AI驱动的办公可视化智能工具,助您轻松实现文本与可视化元素高效转化。无论是智能文档生成、多格式文本解析,还是一键生成专业图表、脑图、知识卡片,可赞AI都能让信息处理更清晰高效。覆盖数据汇报、会议纪要、内容营销等全场景,大幅提升办公效率,降低专业门槛,是您提升工作效率的得力助手。
- 4728次使用
-
- 星月写作
- 星月写作是国内首款聚焦中文网络小说创作的AI辅助工具,解决网文作者从构思到变现的全流程痛点。AI扫榜、专属模板、全链路适配,助力新人快速上手,资深作者效率倍增。
- 6567次使用
-
- MagicLight
- MagicLight.ai是全球首款叙事驱动型AI动画视频创作平台,专注于解决从故事想法到完整动画的全流程痛点。它通过自研AI模型,保障角色、风格、场景高度一致性,让零动画经验者也能高效产出专业级叙事内容。广泛适用于独立创作者、动画工作室、教育机构及企业营销,助您轻松实现创意落地与商业化。
- 5093次使用
查看更多
相关文章
-
- GPT-4王者加冕!读图做题性能炸天,凭自己就能考上斯坦福
- 2023-04-25 501浏览
-
- 单块V100训练模型提速72倍!尤洋团队新成果获AAAI 2023杰出论文奖
- 2023-04-24 501浏览
-
- ChatGPT 真的会接管世界吗?
- 2023-04-13 501浏览
-
- VR的终极形态是「假眼」?Neuralink前联合创始人掏出新产品:科学之眼!
- 2023-04-30 501浏览
-
- 实现实时制造可视性优势有哪些?
- 2023-04-15 501浏览

