TPAMI 2024 | ProCo: 无限contrastive pairs的长尾对比学习
一分耕耘,一分收获!既然打开了这篇文章《TPAMI 2024 | ProCo: 无限contrastive pairs的长尾对比学习》,就坚持看下去吧!文中内容包含等等知识点...希望你能在阅读本文后,能真真实实学到知识或者帮你解决心中的疑惑,也欢迎大佬或者新人朋友们多留言评论,多给建议!谢谢!

AIxiv专栏是本站发布学术、技术内容的栏目。过去数年,本站AIxiv专栏接收报道了2000多篇内容,覆盖全球各大高校与企业的顶级实验室,有效促进了学术交流与传播。如果您有优秀的工作想要分享,欢迎投稿或者联系报道。投稿邮箱:liyazhou@jiqizhixin.com;zhaoyunfeng@jiqizhixin.com
本论文第一作者杜超群是清华大学自动化系 2020 级直博生。导师为黄高副教授。此前于清华大学物理系获理学学士学位。研究兴趣为不同数据分布上的模型泛化和鲁棒性研究,如长尾学习,半监督学习,迁移学习等。在 TPAMI、ICML 等国际一流期刊、会议上发表多篇论文。
个人主页:https://andy-du20.github.io
本文介绍清华大学的一篇关于长尾视觉识别的论文: Probabilistic Contrastive Learning for Long-Tailed Visual Recognition. 该工作已被 TPAMI 2024 录用,代码已开源。
该研究主要关注对比学习在长尾视觉识别任务中的应用,提出了一种新的长尾对比学习方法 ProCo,通过对 contrastive loss 的改进实现了无限数量 contrastive pairs 的对比学习,有效解决了监督对比学习 (supervised contrastive learning)[1] 对 batch (memory bank) size 大小的固有依赖问题。除了长尾视觉分类任务,该方法还在长尾半监督学习、长尾目标检测和平衡数据集上进行了实验,取得了显著的性能提升。

论文链接: https://arxiv.org/pdf/2403.06726
项目链接: https://github.com/LeapLabTHU/ProCo
研究动机
对比学习在自监督学习中的成功表明了其在学习视觉特征表示方面的有效性。影响对比学习性能的核心因素是 contrastive pairs 的数量,这使得模型能够从更多的负样本中学习,体现在两个最具代表性的方法 SimCLR [2] 和 MoCo [3] 中分别为 batch size 和 memory bank 的大小。然而在长尾视觉识别任务中,由于类别不均衡,增加 contrastive pairs 的数量所带来的增益会产生严重的边际递减效应,这是由于大部分的 contrastive pairs 都是由头部类别的样本构成的,难以覆盖到尾部类别。
例如,在长尾 Imagenet 数据集中,若 batch size (memory bank) 大小设为常见的 4096 和 8192,那么每个 batch (memory bank) 中平均分别有 212 个和 89 个类别的样本数量不足一个。
因此,ProCo 方法的核心 idea 是:在长尾数据集上,通过对每类数据的分布进行建模、参数估计并从中采样以构建 contrastive pairs,保证能够覆盖到所有的类别。进一步,当采样数量趋于无穷时,可以从理论上严格推导出 contrastive loss 期望的解析解,从而直接以此作为优化目标,避免了对 contrastive pairs 的低效采样,实现无限数量 contrastive pairs 的对比学习。
然而,实现以上想法主要有以下几个难点:
如何对每类数据的分布进行建模。
如何高效地估计分布的参数,尤其是对于样本数量较少的尾部类别。
如何保证 contrastive loss 的期望的解析解存在且可计算。
事实上,以上问题可以通过一个统一的概率模型来解决,即选择一个简单有效的概率分布对特征分布进行建模,从而可以利用最大似然估计高效地估计分布的参数,并计算期望 contrastive loss 的解析解。
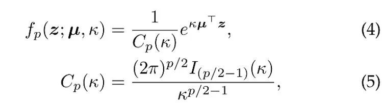
由于对比学习的特征是分布在单位超球面上的,因此一个可行的方案是选择球面上的 von Mises-Fisher (vMF) 分布作为特征的分布(该分布类似于球面上的正态分布)。vMF 分布参数的最大似然估计有近似解析解且仅依赖于特征的一阶矩统计量,因此可以高效地估计分布的参数,并且严格推导出 contrastive loss 的期望,从而实现无限数量 contrastive pairs 的对比学习。

图 1 ProCo 算法根据不同 batch 的特征来估计样本的分布,通过采样无限数量的样本,可以得到期望 contrastive loss 的解析解,有效地消除了监督对比学习对 batch size (memory bank) 大小的固有依赖。
方法详述
接下来将从分布假设、参数估计、优化目标和理论分析四个方面详细介绍 ProCo 方法。
分布假设
如前所述,对比学习中的特征被约束在单位超球面上。因此,可以假设这些特征服从的分布为 von Mises-Fisher (vMF) 分布,其概率密度函数为:
其中 z 是 p 维特征的单位向量,I 是第一类修正贝塞尔函数,

μ 是分布的均值方向,κ 是集中参数,控制分布的集中程度,当 κ 越大时,样本聚集在均值附近的程度越高;当 κ =0 时,vMF 分布退化为球面上的均匀分布。
参数估计
基于上述分布假设,数据特征的总体分布为混合 vMF 分布,其中每个类别对应一个 vMF 分布。

其中参数
表示每个类别的先验概率,对应于训练集中类别 y 的频率。特征分布的均值向量
和集中参数
通过最大似然估计来估计。
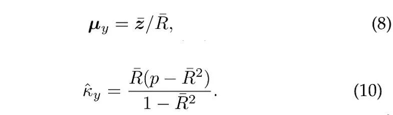
假设从类别 y 的 vMF 分布中采样 N 个独立的单位向量,则均值方向和集中参数的最大似然估计 (近似)[4] 满足以下方程:

其中
是样本均值,
是样本均值的模长。此外,为了利用历史上的样本,ProCo 采用了在线估计的方法,能够有效地对尾部类别的参数进行估计。
优化目标
基于估计的参数,一种直接的方法是从混合 vMF 分布中采样以构建 contrastive pairs . 然而在每次训练迭代中从 vMF 分布中采样大量的样本是低效的。因此,该研究在理论上将样本数量扩展到无穷大,并严格推导出期望对比损失函数的解析解直接作为优化目标。

通过在训练过程中引入一个额外的特征分支 (基于该优化目标进行 representation learning),该分支可以与分类分支一起训练,并且由于在推理过程中只需要分类分支,因此不会增加额外的计算成本。两个分支 loss 的加权和作为最终的优化目标,

在实验中均设置 α=1. 最终,ProCo 算法的整体流程如下:

理论分析
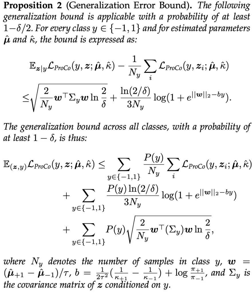
为了进一步从理论上验证 ProCo 方法的有效性,研究者们对其进行了泛化误差界和超额风险界的分析。为了简化分析,这里假设只有两个类别,即 y∈ {-1,+1}.

分析表明,泛化误差界主要由训练样本数量和数据分布的方差控制,这一发现与相关工作的理论分析 [6][7] 一致,保证了 ProCo loss 没有引入额外因素,也没有增大泛化误差界,从理论上保证了该方法的有效性。
此外,该方法依赖于关于特征分布和参数估计的某些假设。为了评估这些参数对模型性能的影响,研究者们还分析了 ProCo loss 的超额风险界,其衡量了使用估计参数的期望风险与贝叶斯最优风险之间的偏差,后者是在真实分布参数下的期望风险。

这表明 ProCo loss 的超额风险主要受参数估计误差的一阶项控制。
实验结果
作为核心 motivation 的验证,研究者们首先与不同对比学习方法在不同 batch size 下的性能进行了比较。Baseline 包括同样基于 SCL 在长尾识别任务上的改进方法 Balanced Contrastive Learning [5](BCL)。具体的实验 setting 遵循 Supervised Contrastive Learning (SCL) 的两阶段训练策略,即首先只用 contrastive loss 进行 representation learning 的训练,然后在 freeze backbone 的情况下训练一个 linear classifier 进行测试。
下图展示了在 CIFAR100-LT (IF100) 数据集上的实验结果,BCL 和 SupCon 的性能明显受限于 batch size,但 ProCo 通过引入每个类别的特征分布,有效消除了 SupCon 对 batch size 的依赖,从而在不同的 batch size 下都取得了最佳性能。

此外,研究者们还在长尾识别任务,长尾半监督学习,长尾目标检测和平衡数据集上进行了实验。这里主要展示了在大规模长尾数据集 Imagenet-LT 和 iNaturalist2018 上的实验结果。首先在 90 epochs 的训练 schedule 下,相比于同类改进对比学习的方法,ProCo 在两个数据集和两个 backbone 上都有至少 1% 的性能提升。

下面的结果进一步表明了 ProCo 也能够从更长的训练 schedule 中受益,在 400 epochs schedule 下,ProCo 在 iNaturalist2018 数据集上取得了 SOTA 的性能,并且还验证了其能够与其它非对比学习方法相结合,包括 distillation (NCL) 等方法。

P. Khosla, et al. “Supervised contrastive learning,” in NeurIPS, 2020.
Chen, Ting, et al. "A simple framework for contrastive learning of visual representations." International conference on machine learning. PMLR, 2020.
He, Kaiming, et al. "Momentum contrast for unsupervised visual representation learning." Proceedings of the IEEE/CVF conference on computer vision and pattern recognition. 2020.
S. Sra, “A short note on parameter approximation for von mises-fisher distributions: and a fast implementation of is (x),” Computational Statistics, 2012.
J. Zhu, et al. “Balanced contrastive learning for long-tailed visual recognition,” in CVPR, 2022.
W. Jitkrittum, et al. “ELM: Embedding and logit margins for long-tail learning,” arXiv preprint, 2022.
A. K. Menon, et al. “Long-tail learning via logit adjustment,” in ICLR, 2021.
以上就是本文的全部内容了,是否有顺利帮助你解决问题?若是能给你带来学习上的帮助,请大家多多支持golang学习网!更多关于科技周边的相关知识,也可关注golang学习网公众号。
字节大模型同传智能体,一出手就是媲美人类的同声传译水平
- 上一篇
- 字节大模型同传智能体,一出手就是媲美人类的同声传译水平
- 下一篇
- 美图公司预计 2024 上半年净利润同比增长不低于 80%
-
- 科技周边 · 人工智能 | 4小时前 |
- 本地大模型微调入门_LoRA低显存训练指南
- 117浏览 收藏
-
- 科技周边 · 人工智能 | 4小时前 | Hermes Agent HermesAgent
- Hermes Agent是开源的吗_Hermes Agent开源协议与代码说明【开源】
- 498浏览 收藏
-
- 科技周边 · 人工智能 | 5小时前 |
- 如何在Perplexity中切换GPT-4o模型_进入Settings页面手动选择AI模型
- 438浏览 收藏
-
- 科技周边 · 人工智能 | 5小时前 | openclaw
- OpenClawAI运行慢怎么优化_OpenClawAI提升大模型响应速度技巧【技巧】
- 425浏览 收藏
-
- 科技周边 · 人工智能 | 5小时前 |
- 如何提升代码运行效率并降低功耗 利用DeepSeek Coder优化算法时间复杂度
- 254浏览 收藏
-
- 科技周边 · 人工智能 | 5小时前 | CodeGeeX CodeGeeX生成Go代码保姆级教程
- CodeGeeX怎么写Go日志_CodeGeeX生成Zap日志代码【Go日志】
- 155浏览 收藏
-
- 科技周边 · 人工智能 | 6小时前 | AI工具 民间故事ai工具
- DALL-E怎么设计AI民间故事插图_DALL-E设计AI民间故事插图详细流程说明
- 122浏览 收藏
-
- 科技周边 · 人工智能 | 6小时前 |
- 文心一言怎么分析用户评论_文心一言情感分析与洞察方法
- 223浏览 收藏
-
- 科技周边 · 人工智能 | 6小时前 |
- Minimax如何利用提示词控制颜色 Minimax配色方案写法
- 310浏览 收藏
-
- 科技周边 · 人工智能 | 6小时前 |
- 豆包AI怎样用数据增强年终总结说服力_豆包AI增说服力法【策略】
- 493浏览 收藏
-
- 科技周边 · 人工智能 | 6小时前 | ChatGPT
- 搭建高可用AI服务_Nginx反向代理与负载均衡配置
- 491浏览 收藏
-
- 科技周边 · 人工智能 | 6小时前 |
- 豆包AI如何做Plog图文排版_豆包AI制作Plog排版技巧全解析
- 200浏览 收藏
-
- 前端进阶之JavaScript设计模式
- 设计模式是开发人员在软件开发过程中面临一般问题时的解决方案,代表了最佳的实践。本课程的主打内容包括JS常见设计模式以及具体应用场景,打造一站式知识长龙服务,适合有JS基础的同学学习。
- 543次学习
-
- GO语言核心编程课程
- 本课程采用真实案例,全面具体可落地,从理论到实践,一步一步将GO核心编程技术、编程思想、底层实现融会贯通,使学习者贴近时代脉搏,做IT互联网时代的弄潮儿。
- 516次学习
-
- 简单聊聊mysql8与网络通信
- 如有问题加微信:Le-studyg;在课程中,我们将首先介绍MySQL8的新特性,包括性能优化、安全增强、新数据类型等,帮助学生快速熟悉MySQL8的最新功能。接着,我们将深入解析MySQL的网络通信机制,包括协议、连接管理、数据传输等,让
- 500次学习
-
- JavaScript正则表达式基础与实战
- 在任何一门编程语言中,正则表达式,都是一项重要的知识,它提供了高效的字符串匹配与捕获机制,可以极大的简化程序设计。
- 487次学习
-
- 从零制作响应式网站—Grid布局
- 本系列教程将展示从零制作一个假想的网络科技公司官网,分为导航,轮播,关于我们,成功案例,服务流程,团队介绍,数据部分,公司动态,底部信息等内容区块。网站整体采用CSSGrid布局,支持响应式,有流畅过渡和展现动画。
- 485次学习
-
- ChatExcel酷表
- ChatExcel酷表是由北京大学团队打造的Excel聊天机器人,用自然语言操控表格,简化数据处理,告别繁琐操作,提升工作效率!适用于学生、上班族及政府人员。
- 4469次使用
-
- Any绘本
- 探索Any绘本(anypicturebook.com/zh),一款开源免费的AI绘本创作工具,基于Google Gemini与Flux AI模型,让您轻松创作个性化绘本。适用于家庭、教育、创作等多种场景,零门槛,高自由度,技术透明,本地可控。
- 4814次使用
-
- 可赞AI
- 可赞AI,AI驱动的办公可视化智能工具,助您轻松实现文本与可视化元素高效转化。无论是智能文档生成、多格式文本解析,还是一键生成专业图表、脑图、知识卡片,可赞AI都能让信息处理更清晰高效。覆盖数据汇报、会议纪要、内容营销等全场景,大幅提升办公效率,降低专业门槛,是您提升工作效率的得力助手。
- 4698次使用
-
- 星月写作
- 星月写作是国内首款聚焦中文网络小说创作的AI辅助工具,解决网文作者从构思到变现的全流程痛点。AI扫榜、专属模板、全链路适配,助力新人快速上手,资深作者效率倍增。
- 6489次使用
-
- MagicLight
- MagicLight.ai是全球首款叙事驱动型AI动画视频创作平台,专注于解决从故事想法到完整动画的全流程痛点。它通过自研AI模型,保障角色、风格、场景高度一致性,让零动画经验者也能高效产出专业级叙事内容。广泛适用于独立创作者、动画工作室、教育机构及企业营销,助您轻松实现创意落地与商业化。
- 5064次使用
-
- GPT-4王者加冕!读图做题性能炸天,凭自己就能考上斯坦福
- 2023-04-25 501浏览
-
- 单块V100训练模型提速72倍!尤洋团队新成果获AAAI 2023杰出论文奖
- 2023-04-24 501浏览
-
- ChatGPT 真的会接管世界吗?
- 2023-04-13 501浏览
-
- VR的终极形态是「假眼」?Neuralink前联合创始人掏出新产品:科学之眼!
- 2023-04-30 501浏览
-
- 实现实时制造可视性优势有哪些?
- 2023-04-15 501浏览

