修改图边权重
golang学习网今天将给大家带来《修改图边权重》,感兴趣的朋友请继续看下去吧!以下内容将会涉及到等等知识点,如果你是正在学习文章或者已经是大佬级别了,都非常欢迎也希望大家都能给我建议评论哈~希望能帮助到大家!
2699。修改图边权重
难度:难
主题:图、堆(优先级队列)、最短路径
给你一个无向加权连通图,其中包含标记为0到n - 1的n个节点,以及一个整数数组edges,其中edges[i] = [ai, b i, wi] 表示节点 ai 和 bi 之间有一条边,权重为 wi.
某些边的权重为 -1 (wi = -1),而其他边的权重为 正 (wi > 0)。
你的任务是修改所有边的权重为-1,方法是在[1, 2 * 109范围内分配正整数值 ] 使得节点源和目的地之间的最短距离变得等于整数目标。如果有多次修改使源和目的地之间的最短距离等于目标,则其中任何一个都将被视为正确。
如果可以使从源到目的地的最短距离等于目标,则返回以任意顺序包含所有边(甚至未修改的边)的数组,如果不可能,则返回空数组 .
注意:不允许修改初始为正权重的边的权重。
示例1:

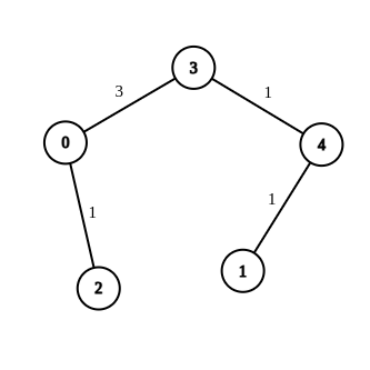
- 输入: n = 5,边 = [[4,1,-1],[2,0,-1],[0,3,-1],[4,3,-1] ],源 = 0,目的地 = 1,目标 = 5
- 输出: [[4,1,1],[2,0,1],[0,3,3],[4,3,1]]
- 解释:上图显示了对边缘的可能修改,使得从 0 到 1 的距离等于 5。
示例2:

- 输入: n = 3,边 = [[0,1,-1],[0,2,5]],源 = 0,目的地 = 2,目标 = 6
- 输出: []
- 解释: 上图包含初始边。通过修改权重-1的边是不可能使从0到2的距离等于6的。因此,返回一个空数组。
示例 3:

- 输入: n = 4,边 = [[1,0,4],[1,2,3],[2,3,5],[0,3,-1]],源= 0,目的地 = 2,目标 = 6
- 输出: [[1,0,4],[1,2,3],[2,3,5],[0,3,1]]
- 解释:上图显示了修改后的图,其中从 0 到 2 的最短距离为 6。
约束:
- 1 <=n <=100
- 1 <= edges.length <= n * (n - 1) / 2
- 边[i].length == 3
- 0 <= ai, bi < n
- wi = -1 或 1 <= wi <= 107
- ai != bi
- 0 <= 源,目标 < n
- 来源!=目的地
- 1 <= 目标 <= 109
- 图是连通的,不存在自环或重复边
提示:
- 首先,检查是否确实可以使从源到目的地的最短路径等于目标。
- 如果在没有修改边的情况下从源到目的地的最短路径小于目标,则这是不可能的。
- 如果从源到目的地的最短路径(包括要修改的边并为其分配临时权重 1)大于目标,那么它也是不可能的。
- 假设我们可以找到一条可修改的边 (u, v),使得从源到 u 的最短路径长度 (dis1) 加上从 v 到目的地的最短路径长度 (dis2) 小于目标 (dis1) + dis2 < target),那么我们可以将其权重更改为“target - dis1 - dis2”。
- 对于所有其他仍具有权重“-1”的边,将权重更改为足够大的数字(目标、目标 + 1 或 200000000 等)。
解决方案:
我们可以将方法分解如下:
方法:
-
对现有权重进行初步检查:
- 首先,我们仅使用权重为正的边计算从源到目的地的最短路径,忽略权重为 -1 的边。
- 如果这个距离已经大于目标,那么就不可能修改-1边来达到目标,所以我们返回一个空数组。
-
临时分配权重 1:
- 接下来,为所有权重为-1的边分配临时权重1,并重新计算最短路径。
- 如果这个最短路径仍然大于目标,那么就不可能达到目标,所以我们返回一个空数组。
-
修改特定边权重:
- 迭代权重为-1的边缘并识别可以调整以完全匹配目标距离的边缘。这是通过调整边缘的权重来完成的,这样往返于该边缘的路径的组合距离就可以得出准确的目标距离。
- 对于任何剩余的 -1 边,分配足够大的权重(例如 2 * 10^9)以确保它们不会影响最短路径。
-
返回修改后的边:
- 最后,返回修改后的边列表。
让我们用 php 实现这个解决方案:2699。修改图边权重
<?php
private $kMax = 2000000000;
/**
* @param $n
* @param $edges
* @param $source
* @param $destination
* @param $target
* @return array|mixed
*/
function modifiedGraphEdges($n, $edges, $source, $destination, $target) {
...
...
...
/**
* go to ./solution.php
*/
}
/**
* @param $graph
* @param $src
* @param $dst
* @return int|mixed
*/
function dijkstra($graph, $src, $dst) {
...
...
...
/**
* go to ./solution.php
*/
}
// Example usage:
// Example 1
$n = 5;
$edges = [[4,1,-1],[2,0,-1],[0,3,-1],[4,3,-1]];
$source = 0;
$destination = 1;
$target = 5;
print_r(modifyGraphEdgeWeights($n, $edges, $source, $destination, $target)); // Output: [[4,1,1],[2,0,1],[0,3,3],[4,3,1]]
// Example 2
$n = 3;
$edges = [[0,1,-1],[0,2,5]];
$source = 0;
$destination = 2;
$target = 6;
print_r(modifyGraphEdgeWeights($n, $edges, $source, $destination, $target)); // Output: []
// Example 3
$n = 4;
$edges = [[1,0,4],[1,2,3],[2,3,5],[0,3,-1]];
$source = 0;
$destination = 2;
$target = 6;
print_r(modifyGraphEdgeWeights($n, $edges, $source, $destination, $target)); // Output: [[1,0,4],[1,2,3],[2,3,5],[0,3,1]]
?>
解释:
- dijkstra 函数计算从源到所有其他节点的最短路径。
- 我们最初计算忽略 -1 条边的最短路径。
- 如果没有-1边的路径小于目标,函数返回一个空数组,表明无法调整权重以满足目标。
- 否则,我们暂时将所有 -1 边设置为 1,并检查最短路径是否超过目标。
- 如果是,则再次无法到达目标,我们返回一个空数组。
- 然后我们策略性地修改-1边的权重,以实现精确目标的最短路径。
这种方法可以有效地检查和调整边缘权重,确保尽可能满足目标距离。
联系链接
如果您发现本系列有帮助,请考虑在 github 上给存储库 一颗星,或在您最喜欢的社交网络上分享该帖子?。您的支持对我来说意义重大!
如果您想要更多类似的有用内容,请随时关注我:
- 领英
- github
理论要掌握,实操不能落!以上关于《修改图边权重》的详细介绍,大家都掌握了吧!如果想要继续提升自己的能力,那么就来关注golang学习网公众号吧!
golang框架如何处理数据库连接池?
- 上一篇
- golang框架如何处理数据库连接池?
- 下一篇
- 蟒蛇基础
-
- 文章 · php教程 | 5分钟前 |
- PHP参数太多?建造者模式轻松优化
- 455浏览 收藏
-
- 文章 · php教程 | 11分钟前 |
- Laravel事务文件与数据库同步处理方法
- 459浏览 收藏
-
- 文章 · php教程 | 27分钟前 |
- PHP8.1配置Protobuf扩展指南
- 261浏览 收藏
-
- 文章 · php教程 | 28分钟前 | php常用编辑工具怎么用
- PhpStorm同步FTP文件教程详解
- 466浏览 收藏
-
- 文章 · php教程 | 29分钟前 |
- PHP合并关联数组data键技巧
- 162浏览 收藏
-
- 文章 · php教程 | 38分钟前 | XAMPP
- XAMPPApache日志路径修改教程
- 175浏览 收藏
-
- 文章 · php教程 | 59分钟前 | phpenv
- phpEnv MySQL临时表清理与优化方案
- 325浏览 收藏
-
- 文章 · php教程 | 1小时前 | phpenv
- PHPEnv移动端适配设置详解
- 424浏览 收藏
-
- 文章 · php教程 | 1小时前 |
- PHP8Nullsafe运算符简化空对象处理
- 449浏览 收藏
-
- 文章 · php教程 | 1小时前 | Xdebug
- Linux下开启Xdebug性能分析教程
- 386浏览 收藏
-
- 文章 · php教程 | 1小时前 | PHP源码
- PHP源码部署WAMP详细步骤
- 452浏览 收藏
-
- 文章 · php教程 | 1小时前 | phpenv
- PHPEnvMySQL表分区技巧与运维优化
- 136浏览 收藏
-
- 前端进阶之JavaScript设计模式
- 设计模式是开发人员在软件开发过程中面临一般问题时的解决方案,代表了最佳的实践。本课程的主打内容包括JS常见设计模式以及具体应用场景,打造一站式知识长龙服务,适合有JS基础的同学学习。
- 543次学习
-
- GO语言核心编程课程
- 本课程采用真实案例,全面具体可落地,从理论到实践,一步一步将GO核心编程技术、编程思想、底层实现融会贯通,使学习者贴近时代脉搏,做IT互联网时代的弄潮儿。
- 516次学习
-
- 简单聊聊mysql8与网络通信
- 如有问题加微信:Le-studyg;在课程中,我们将首先介绍MySQL8的新特性,包括性能优化、安全增强、新数据类型等,帮助学生快速熟悉MySQL8的最新功能。接着,我们将深入解析MySQL的网络通信机制,包括协议、连接管理、数据传输等,让
- 500次学习
-
- JavaScript正则表达式基础与实战
- 在任何一门编程语言中,正则表达式,都是一项重要的知识,它提供了高效的字符串匹配与捕获机制,可以极大的简化程序设计。
- 487次学习
-
- 从零制作响应式网站—Grid布局
- 本系列教程将展示从零制作一个假想的网络科技公司官网,分为导航,轮播,关于我们,成功案例,服务流程,团队介绍,数据部分,公司动态,底部信息等内容区块。网站整体采用CSSGrid布局,支持响应式,有流畅过渡和展现动画。
- 485次学习
-
- ChatExcel酷表
- ChatExcel酷表是由北京大学团队打造的Excel聊天机器人,用自然语言操控表格,简化数据处理,告别繁琐操作,提升工作效率!适用于学生、上班族及政府人员。
- 4472次使用
-
- Any绘本
- 探索Any绘本(anypicturebook.com/zh),一款开源免费的AI绘本创作工具,基于Google Gemini与Flux AI模型,让您轻松创作个性化绘本。适用于家庭、教育、创作等多种场景,零门槛,高自由度,技术透明,本地可控。
- 4818次使用
-
- 可赞AI
- 可赞AI,AI驱动的办公可视化智能工具,助您轻松实现文本与可视化元素高效转化。无论是智能文档生成、多格式文本解析,还是一键生成专业图表、脑图、知识卡片,可赞AI都能让信息处理更清晰高效。覆盖数据汇报、会议纪要、内容营销等全场景,大幅提升办公效率,降低专业门槛,是您提升工作效率的得力助手。
- 4702次使用
-
- 星月写作
- 星月写作是国内首款聚焦中文网络小说创作的AI辅助工具,解决网文作者从构思到变现的全流程痛点。AI扫榜、专属模板、全链路适配,助力新人快速上手,资深作者效率倍增。
- 6492次使用
-
- MagicLight
- MagicLight.ai是全球首款叙事驱动型AI动画视频创作平台,专注于解决从故事想法到完整动画的全流程痛点。它通过自研AI模型,保障角色、风格、场景高度一致性,让零动画经验者也能高效产出专业级叙事内容。广泛适用于独立创作者、动画工作室、教育机构及企业营销,助您轻松实现创意落地与商业化。
- 5068次使用
-
- PHP技术的高薪回报与发展前景
- 2023-10-08 501浏览
-
- 基于 PHP 的商场优惠券系统开发中的常见问题解决方案
- 2023-10-05 501浏览
-
- 如何使用PHP开发简单的在线支付功能
- 2023-09-27 501浏览
-
- PHP消息队列开发指南:实现分布式缓存刷新器
- 2023-09-30 501浏览
-
- 如何在PHP微服务中实现分布式任务分配和调度
- 2023-10-04 501浏览

