这篇论文非常火!差分Transformer竟能消除注意力噪声,犹如降噪耳机
大家好,我们又见面了啊~本文《这篇论文非常火!差分Transformer竟能消除注意力噪声,犹如降噪耳机》的内容中将会涉及到等等。如果你正在学习科技周边相关知识,欢迎关注我,以后会给大家带来更多科技周边相关文章,希望我们能一起进步!下面就开始本文的正式内容~
Transformer 的强大实力已经在诸多大型语言模型(LLM)上得到了证明,但该架构远非完美,也有很多研究者致力于改进这一架构,比如本站曾报道过的 Reformer 和 Infini-Transformer。
今天我们又将介绍另一种新型 Transformer 架构:Differential Transformer(差分 Transformer,简称 Diff Transformer)。该架构来自微软研究院和清华大学,有四位共一作者:Tianzhu Ye、Li Dong、Yuqing Xia、Yutao Sun。

论文标题:Differential Transformer
论文地址:https://arxiv.org/pdf/2410.05258
在 Hacker News 及 Twitter 等社交网络上,该论文都反响热烈,有网友表示差分 Transformer 提出的改进简单又美丽,而带来的提升又非常显著。

甚至已有开发者做出了差分 Transformer 的轻量实现!

差分 Transformer 的轻量实现,https://github.com/Jaykef/ai-algorithms/blob/main/DIFF_Transformer.ipynb
那么差分 Transformer 弥补了原生 Transformer 的哪些问题呢?如下图所示,Transformer 往往会过度关注不相关的上下文,该团队将此称为注意力噪声(attention noise)。而差分 Transformer 则能放大对答案范围的注意力并消除噪音,从而增强上下文建模的能力。这就要用到该团队新提出的差分注意力机制(differential attention mechanism)了。

差分注意力机制可以消除注意力噪声,鼓励模型重点关注关键信息。该方法有些类似于电气工程中的降噪耳机和差分放大器。
下面我们就来详细了解一下差分 Transformer 的设计思路。
差分 Transformer
差分 Transformer 是一种用于序列建模的基础模型架构。为了方便说明,他们使用了仅解码器(decoder-only)模型作为示例来描述该架构。
该模型堆叠了 L 个 Diff Transformer 层。给定一个输入序列 x,将输入嵌入打包成 X^0。输入会被进一步上下文化来获得输出 X^L。每一层都由两个模块组成:一个差分注意力模块和之后的前向网络模块。
相比于 Transformer,差分 Transformer 的主要差别在于使用差分注意力替换了传统的 softmax 注意力,同时保持整体宏观布局不变。此外,他们也参考 LLaMA 采用了 pre-RMSNorm 和 SwiGLU 这两项改进措施。
差分注意力
差分注意力机制的作用是将查询、键和值向量映射成输出。这里使用查询和键向量来计算注意力分数,然后计算值向量的加权和。
此处的关键设计是使用一对 softmax 函数来消除注意力分数的噪声。具体来说,给定输入 X,首先将它们投射成查询、键和值 Q_1、Q_2、K_1、K_2、V。然后差分注意力算子 DiffAttn (・) 通过以下方式计算输出:

其中 W^Q、W^K 、W^V 是参数,λ 是可学习的标量。为了同步学习动态,将标量 λ 重新参数化为:

其中 λ_q1、λ_k1、λ_q2、λ_k2 是可学习的向量,λ_init ∈ (0, 1) 是用于初始化 λ 的常数。该团队通过经验发现,设置 λ_init = 0.8 − 0.6 × exp (−0.3・(l − 1)) 在实践中效果很好,其中 l ∈ [1, L] 表示层索引。它在实验中被用作默认策略。
他们也探索了另一种初始化策略:对所有层使用相同的 λ_init(例如 0.8)。如后面消融研究所示,使用不同的初始化策略时,性能相对稳健。
差分注意力利用两个 softmax 注意力函数之间的差来消除注意力噪声。这个想法类似于电气工程中提出的差分放大器,其中两个信号之间的差用作输出,这样就可以消除输入的共模噪声。此外,降噪耳机的设计也基于类似的想法。
多头差分注意力机制
该团队也为差分注意力使用了多头机制。令 h 表示注意力头的数量。他们对各个头使用不同的投影矩阵 W^Q_i 、W^K_i 、W^V_i ,i ∈ [1, h]。标量 λ 在同一层内的头之间共享。然后对头输出执行归一化,并投射成最终结果,如下所示:

其中 λ_init 是 (2) 式中的常数标量,W^O 是可学习的投影矩阵,LN (・) 是对每个头使用 RMSNorm,Concat (・) 的作用是沿通道维度将头连接在一起。这里使用一个固定乘数(1 − λ_init)作为 LN (・) 的缩放尺度,以使梯度与 Transformer 对齐。
逐头归一化
图 2 使用了 GroupNorm (・) 来强调 LN (・) 独立应用于每个 head。由于差分注意力往往具有更稀疏的模式,因此头之间的统计信息更加多样化。为了改进梯度的统计情况,LN (・) 算子会在连接操作之前对每个头进行归一化。

整体架构
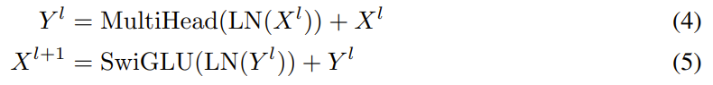
其整体架构会堆叠 L 层,其中每层包含一个多头差分注意力模块和一个前向网络模块。如此,便可将差分 Transformer 层描述为:

其中 LN (・) 是 RMSNorm,SwiGLU (X) = (swish (XW^G) ⊙ XW_1) W_2,且 W^G、W_1、W_2 是可学习的矩阵。
实验
该团队从以下角度评估了差分 Transformer 在 LLM 中的应用,包括对比评估、应用评估和消融研究。这里我们仅关注实验结果,更多实验过程请访问原论文。
语言建模评估
该团队评估了差分 Transformer 的语言建模能力。为此,他们使用 1T token 训练了一个 3B 大小的差分 Transformer 语言模型,并与之前的 Transformer 语言模型做了比较。
结果见表 1,其中报告的是在 LM Eval Harness 基准上的零样本结果。

可以看到,3B 规模下,差分 Transformer 语言模型的表现优于之前的 Transformer 语言模型。此外,实验也表明差分 Transformer 在多种任务上都胜过 Transformer,详见原论文附录。
与 Transformer 的可扩展性比较
该团队也比较了新旧 Transformer 的可扩展性。结果见图 3,其中 a 比较了模型规模方面的可扩展性,而 b 则是训练 token 数量方面的可扩展性。

可以看到,在这两个方面,差分 Transformer 的可扩展性均优于常规 Transformer:仅需后者 65% 左右的模型大小或训练 token 数量就能达到相媲美的性能。
长上下文评估
当 3B 模型上下文长度增长至 64K,模型的表现又如何呢?又使用另外 1.5B token 训练了 3B 版本的检查点模型之后,该团队发现随着上下文长度的增加,累积平均负对数似然(NLL)持续下降。差分 Transformer 得到的 NLL 值低于常规 Transformer。见图 4,这样的结果表明,差分 Transformer 可以有效地利用不断增加的上下文。

关键信息检索
为了检验差分 Transformer 检索关键信息的能力,该团队执行了 Needle-In-A-Haystack(草堆找针)测试。
表 2 给出了 4K 上下文长度的情况,其中 N 是针的数量,R 是查询引用的数量。可以看到,差分 Transformer 的多针检索准确度高于常规 Transformer,尤其是当针数量较多时,差分 Transformer 的优势会更加明显。

那么当上下文长度提升至 64K 时,又会如何呢?结果见图 5,这里使用的上下文长度在 8K 到 64K 之间,使用了 N = 8 和 R = 1 的设置。

可以看到,在不同的上下文长度下,差分 Transformer 能够保持相对稳定的性能。而当上下文长度越来越大时,常规 Transformer 的性能会逐渐下降。
另外,表 3 展示了分配给关键信息检索任务的答案范围和噪声上下文的注意力分数。该分数可代表模型保留有用信息、抵抗注意力噪声的能力。

可以看到,相比于常规 Transformer,差分 Transformer 能为答案范围分配更高的注意力分数,同时为注意力噪声分配更低的注意力分数。
上下文学习能力评估
该团队从两个角度评估模型的上下文学习能力,包括多样本分类和上下文学习的稳健性。
图 6 展示了新旧 Transformer 模型的多样本分类结果。结果表明,在不同的数据集和不同的演示样本数量上,差分 Transformer 均稳定地优于 Transformer。此外,差分 Transformer 的平均准确度优势也很明显,从 5.2% 到 21.6% 不等。

图 7 则展示了两种模型的上下文学习稳健性结果。该分析基于 TREC 数据集,并且采用了两种提示词格式:示例随机排列(图 7a)和按类别交替排列(图 7b)。

在这两种设置下,差分 Transformer 的性能方差要小得多。结果表明,新方法在上下文学习任务中更为稳健。相比之下,Transformer 容易受到顺序排列的影响,导致最佳结果与最差结果之间差距巨大。
上下文幻觉评估
该团队基于文本摘要和问答任务评估了模型的上下文幻觉现象。结果见表 4。

可以看到,相比于常规 Transformer,差分 Transformer 在摘要和问答任务上的上下文幻觉更低。该团队表示,原因可能是差分 Transformer 能更好地关注任务所需的基本信息,而不是无关上下文。
激活异常值分析
在 LLM 中,一部分激活值明显大于大多数激活值的现象被称为激活异常值(activation outliers)。异常值导致训练和推理过程中模型量化困难。实验表明差分 Transformer 可以降低激活异常值的幅度,从而可能实现更低的量化位宽。
表 5 展示了两个训练得到 Transformer 和差分 Transformer 模型的激活值统计情况。这里分析了两种类型的激活,包括注意力 logit(即 pre-softmax 激活)和隐藏状态(即层输出)。可以看到,尽管中位数相似,但与 Transformer 相比,差分 Transformer 的较大激活值要低得多。这表明新方法产生的激活异常值较少。

图 8 则展示了将注意力 logit 量化到更低位的情况。这里使用的方案是:使用 absmax 量化的动态后训练量化。其中,16 位配置表示未经量化的原始结果。模型逐步量化为 8 位、6 位和 4 位。这里报告的是在 HellaSwag 上的零样本准确度,但该团队也指出在其它数据集上也有类似表现。

从图中可知,即使降低位宽,差分 Transformer 也能保持较高性能。相较之下,常规 Transformer 的准确度在 6 位和 4 位量化时会显著下降。这一结果表明,差分 Transformer 本身就能缓解注意力分数中的激活异常值问题,从而可为低位 FlashAttention 的实现提供新机会。
最后,该团队也进行了消融实验,证明了各个新设计的有效性。
以上就是本文的全部内容了,是否有顺利帮助你解决问题?若是能给你带来学习上的帮助,请大家多多支持golang学习网!更多关于科技周边的相关知识,也可关注golang学习网公众号。
理解 Django 的架构:MTV 模式
- 上一篇
- 理解 Django 的架构:MTV 模式
- 下一篇
- 纬创遭受网络攻击:网站已恢复正常,运营无重大影响
-
- 科技周边 · 人工智能 | 5小时前 |
- 美图WinkStudio AI绘画功能详解
- 428浏览 收藏
-
- 科技周边 · 人工智能 | 5小时前 |
- AI生成PPT如何导出为PPTX文件
- 160浏览 收藏
-
- 科技周边 · 人工智能 | 5小时前 |
- DeepSeek秒出文案,2026最快指令模板
- 118浏览 收藏
-
- 科技周边 · 人工智能 | 5小时前 |
- Minimax能做视频?多模态生成潜力解析
- 193浏览 收藏
-
- 科技周边 · 人工智能 | 5小时前 |
- AI如何快速做市场调研?3步生成行业问卷
- 356浏览 收藏
-
- 科技周边 · 人工智能 | 5小时前 |
- 提升PPT交互体验,AI设计互动幻灯片技巧
- 182浏览 收藏
-
- 科技周边 · 人工智能 | 6小时前 |
- AI姓氏印章怎么赚钱\_AI绘画图章定制教程
- 209浏览 收藏
-
- 科技周边 · 人工智能 | 6小时前 | 骡子快跑
- 骡子快跑企业版部署指南
- 396浏览 收藏
-
- 科技周边 · 人工智能 | 7小时前 |
- AI视频生成本地部署教程
- 235浏览 收藏
-
- 科技周边 · 人工智能 | 7小时前 |
- AI生成真实产品图技巧:电商背景替换实操教程
- 406浏览 收藏
-
- 科技周边 · 人工智能 | 7小时前 |
- DeepSeek API集成React/Vue,打造AI前端应用教程
- 235浏览 收藏
-
- 科技周边 · 人工智能 | 7小时前 | Perplexity
- Perplexity切换Focus模式方法解析
- 229浏览 收藏
-
- 前端进阶之JavaScript设计模式
- 设计模式是开发人员在软件开发过程中面临一般问题时的解决方案,代表了最佳的实践。本课程的主打内容包括JS常见设计模式以及具体应用场景,打造一站式知识长龙服务,适合有JS基础的同学学习。
- 543次学习
-
- GO语言核心编程课程
- 本课程采用真实案例,全面具体可落地,从理论到实践,一步一步将GO核心编程技术、编程思想、底层实现融会贯通,使学习者贴近时代脉搏,做IT互联网时代的弄潮儿。
- 516次学习
-
- 简单聊聊mysql8与网络通信
- 如有问题加微信:Le-studyg;在课程中,我们将首先介绍MySQL8的新特性,包括性能优化、安全增强、新数据类型等,帮助学生快速熟悉MySQL8的最新功能。接着,我们将深入解析MySQL的网络通信机制,包括协议、连接管理、数据传输等,让
- 500次学习
-
- JavaScript正则表达式基础与实战
- 在任何一门编程语言中,正则表达式,都是一项重要的知识,它提供了高效的字符串匹配与捕获机制,可以极大的简化程序设计。
- 487次学习
-
- 从零制作响应式网站—Grid布局
- 本系列教程将展示从零制作一个假想的网络科技公司官网,分为导航,轮播,关于我们,成功案例,服务流程,团队介绍,数据部分,公司动态,底部信息等内容区块。网站整体采用CSSGrid布局,支持响应式,有流畅过渡和展现动画。
- 485次学习
-
- ChatExcel酷表
- ChatExcel酷表是由北京大学团队打造的Excel聊天机器人,用自然语言操控表格,简化数据处理,告别繁琐操作,提升工作效率!适用于学生、上班族及政府人员。
- 4224次使用
-
- Any绘本
- 探索Any绘本(anypicturebook.com/zh),一款开源免费的AI绘本创作工具,基于Google Gemini与Flux AI模型,让您轻松创作个性化绘本。适用于家庭、教育、创作等多种场景,零门槛,高自由度,技术透明,本地可控。
- 4580次使用
-
- 可赞AI
- 可赞AI,AI驱动的办公可视化智能工具,助您轻松实现文本与可视化元素高效转化。无论是智能文档生成、多格式文本解析,还是一键生成专业图表、脑图、知识卡片,可赞AI都能让信息处理更清晰高效。覆盖数据汇报、会议纪要、内容营销等全场景,大幅提升办公效率,降低专业门槛,是您提升工作效率的得力助手。
- 4463次使用
-
- 星月写作
- 星月写作是国内首款聚焦中文网络小说创作的AI辅助工具,解决网文作者从构思到变现的全流程痛点。AI扫榜、专属模板、全链路适配,助力新人快速上手,资深作者效率倍增。
- 6115次使用
-
- MagicLight
- MagicLight.ai是全球首款叙事驱动型AI动画视频创作平台,专注于解决从故事想法到完整动画的全流程痛点。它通过自研AI模型,保障角色、风格、场景高度一致性,让零动画经验者也能高效产出专业级叙事内容。广泛适用于独立创作者、动画工作室、教育机构及企业营销,助您轻松实现创意落地与商业化。
- 4832次使用
-
- GPT-4王者加冕!读图做题性能炸天,凭自己就能考上斯坦福
- 2023-04-25 501浏览
-
- 单块V100训练模型提速72倍!尤洋团队新成果获AAAI 2023杰出论文奖
- 2023-04-24 501浏览
-
- ChatGPT 真的会接管世界吗?
- 2023-04-13 501浏览
-
- VR的终极形态是「假眼」?Neuralink前联合创始人掏出新产品:科学之眼!
- 2023-04-30 501浏览
-
- 实现实时制造可视性优势有哪些?
- 2023-04-15 501浏览

