快多个数量级,清华更高精度、更泛化的深度学习电子结构计算方法登Nature子刊
大家好,我们又见面了啊~本文《快多个数量级,清华更高精度、更泛化的深度学习电子结构计算方法登Nature子刊》的内容中将会涉及到等等。如果你正在学习科技周边相关知识,欢迎关注我,以后会给大家带来更多科技周边相关文章,希望我们能一起进步!下面就开始本文的正式内容~

编辑 | KX
两年前,清华大学物理系徐勇、段文晖研究组开发出高效精确的第一性原理电子结构深度学习方法 DeePH,可极大加速电子结构计算。
近日,该团队开发了一种准确而有效的实空间重构方法(real-space reconstruction),将 DeepH 方法从原先仅支持原子基组推广至适用于平面波基组,使得 DeepH 方法可与所有密度泛函理论(DFT)程序兼容。而且,该重构方法比传统的基于投影的方法快几个数量级。
这给深度学习电子结构计算方法带来了更高的精度和更好的泛化能力,并打通了其利用电子结构大数据作深度学习的通道。
相关研究以「Generalizing deep learning electronic structure calculation to the plane-wave basis」为题,于 10 月 3 日发布在《Nature Computational Science》上。

DeepH 成功与局限性
近年来,从头计算与 AI 相结合取得了显著进展。这大大扩展了理论和计算材料研究的范围,达到了前所未有的精度和效率。
深度学习方法 DeepH 取得了巨大的成功,在比传统 DFT 方法快多个数量级的速度下仍能保持亚毫电子伏的精度。
然而,此类方法只支持局域原子轨道 (AO) 基组下的 DFT 程序,而完全不兼容使用平面波 (PW)基组的 DFT 程序。事实上,平面波基组相对原子轨道基组有其独特的优势,如容易收敛、精度高、应用更广泛等,因此将 DeepH 方法推广至平面波基组对深度学习电子结构计算的未来发展具有重要的意义。
比传统方法快几个数量级
为了解决以上问题,清华研究团队提出了一种基于 PW DFT 结果的实空间重构方法来重构 AO 哈密顿量。该方法比直接投影 PW 哈密顿量或波函数的传统方法快几个数量级。
此外,研究表明,使用该方法生成的 AO 哈密顿量不仅可以很好地再现 PW 电子结构,而且非常容易被神经网络模型学习。因此,解决了 PW 基下的深度学习 DFT 哈密顿量的关键问题。新方法的高精度和高效性有利于构建更通用、更准确的深度学习电子结构计算方法,这不仅使它们能够为更广泛的科学界所使用,而且极大地提高了它们在一般应用中的适用性。

将 PW 汉密尔顿量转换为 AO 基组的三种方法
该方法的实际工作流程为:一组小型非扭曲结构的 PW DFT 结果用于在 AO 基下重构汉密尔顿量。然后可以推广在这些重构汉密尔顿量上训练的神经网络来预测大型扭曲结构的汉密尔顿量。
PW 汉密尔顿量和 AO 汉密尔顿量实际上是在不同基组下表达的相同物理量。原则上,一旦有了 PW 汉密尔顿量
,就可以通过改变基组来获得相应的 AO 汉密尔顿量
,然后当前的 AO 汉密尔顿量神经网络可以灵活地学习该 AO 汉密尔顿量。
在此,研究人员简要讨论了将 PW 汉密尔顿量转换为 AO 基组的三种方法。
投影(projectio)方法被广泛用于弥合 PW 和 AO 之间的差距。其最初是为了评估 AO 基组的质量而开发的,投影方法可以修改为直接将哈密顿量从 PW 基转换为 AO 基:

这里,PW 基在 Born–von Kármán (BvK) 超晶胞中被归一化:
,其中,k 是第一布里渊区中的波矢,G 是倒格矢,N 是形成 BvK 超晶胞的原始晶胞数,Ω 是原始晶胞的体积。AO 基函数 |ϕiα〉 以原子 i 为中心。可能有多个基函数(标记为 n)共享相同的角动量量子数 l 和磁量子数 m。指标 α 是 n、l、m 的缩写。
方程 (1) 被称为 Hk(G, G′) 投影法。
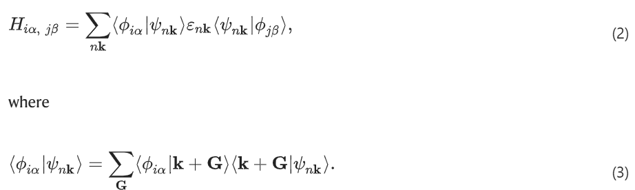
如果得到了 PW 哈密顿量的特征值 εnk 和波函数 |ψnk〉,则方程 (1) 可以进一步写成:

方程 (2) 被称为 ψnk(G) 投影法。
虽然方程 (1) 和 (2) 是将 PW 哈密顿量转换为 AO 基的直接方法,但它们的计算效率较低。此外,它们都相对于系统中的原子数量以立方比例缩放,这限制了它们的应用范围。
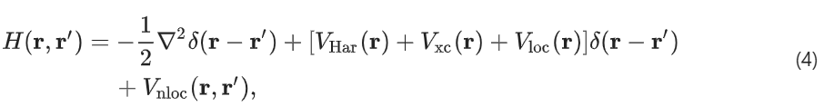
事实上,可以利用实空间中的局部性来大大加快计算速度。原子单位下的实空间中的哈密顿量为:

其中,各个项分别对应于动能、Hartree 势、交换关联势以及伪势的局部和非局部部分。本研究仅考虑交换和关联的半局部函数。方括号中的三个项称为总有效局部势:
,它在单位晶胞上是周期性的。一旦有了 H(r, r′),就可以直接在实空间中计算 AO 哈密顿量,如下所示:

该方法称为实空间重构方法。
尽管它们在理论上是等效的,并且在收敛时会产生相同的结果,但所提出的实空间重构方法比前两种基于投影的方法效率高得多。
两个研究案例
应用于扭曲双层石墨烯
深度学习 DFT 汉密尔顿量方法最显著的能力是神经网络模型可以在小结构上进行训练,并推广到预测更大结构的汉密尔顿量。
在双层石墨烯的研究中,训练集由 300 个 4 × 4 双层石墨烯超晶胞组成,这些超晶胞具有不同的堆叠和每个原子位置的随机扰动。研究人员在根据 PW DFT 结果重建的 AO 汉密尔顿量训练神经网络模型后,可以使用该模型系统地研究具有任意扭曲角度的莫尔扭曲超结构。
首先,在训练集的一个结构上对重建的哈密顿量进行基准测试,将其能带结构与使用 PW 计算的能带结构绘制在一起。如图 1c 所示,两个能带结构非常吻合。
在训练神经网络模型后,用它来研究众所周知的「魔角」扭曲双层石墨烯,θ = 1.08°,莫尔超晶胞中有 11,164 个原子。有了深度学习 DFT 哈密顿量方法,计算成本可以大大降低。如图 1d 所示,与 PW DFT 基准相比,在重建的 AO 哈密顿量上训练的神经网络能够给出非常准确的预测,误差仅为几毫电子伏。
此外,当使用从 PW DFT 输出重建的 AO 汉密尔顿量训练神经网络时,预测的能带结构(图 1d 中的 PW-NN)与 Lucignano 等人的 PW DFT 结果相比,与使用 AO DFT 计算的汉密尔顿量(图 1d 中的 AO-NN)训练神经网络的情况相比,具有更好的一致性。
这表明与 PW DFT 接口的深度学习汉密尔顿量确实可以给出更高精度的结果。这种高精度与 PW 方法的灵活性和广泛适用性相结合,将大大增强深度学习从头计算的能力,并将对未来的研究大有裨益。
应用于双层 MoS2
接下来,在双层 MoS2 系统研究中比较了三种方法。首先,研究人员在由六个原子组成的 AB 堆叠双层晶胞上测试了重构方法,从重构的 AO 哈密顿量获得的能带结构与 PW DFT 结果非常吻合。然后,绘制了三种不同方法给出的能带结构,它们几乎相同,只是 ψnk(G) 投影方法给出的能带结构与其他两种方法略有不同,因为在方程 (2) 时仅使用了有限数量的能带。

然后,进一步比较了三种方法的计算时间。正如预期的那样,两种基于投影的方法显示出大致的立方缩放。它们甚至比完全自洽场计算更耗时。相反,由于 AO 基的局部性,实空间重建方法实现了线性缩放,并且可以比投影方法快几个数量级。
研究人员表示:「我们工作的一个直接影响是,使深度学习电子结构方法适用于那些已经熟悉 PW 方法但在 AO DFT 方面经验较少的人。另一个有前途的未来应用是,建立通用的深度学习模型,可以处理不同类型的材料并准确预测它们的电子结构。」
到这里,我们也就讲完了《快多个数量级,清华更高精度、更泛化的深度学习电子结构计算方法登Nature子刊》的内容了。个人认为,基础知识的学习和巩固,是为了更好的将其运用到项目中,欢迎关注golang学习网公众号,带你了解更多关于深度学习,理论,材料学,电子结构,DFT的知识点!
为什么 MySQL SQL 语句中会使用 1=1 ?
- 上一篇
- 为什么 MySQL SQL 语句中会使用 1=1 ?
- 下一篇
- 解决电脑故障的神奇一键修复工具
-
- 科技周边 · 人工智能 | 7小时前 |
- 本地大模型微调入门_LoRA低显存训练指南
- 117浏览 收藏
-
- 科技周边 · 人工智能 | 7小时前 | Hermes Agent HermesAgent
- Hermes Agent是开源的吗_Hermes Agent开源协议与代码说明【开源】
- 498浏览 收藏
-
- 科技周边 · 人工智能 | 7小时前 |
- 如何在Perplexity中切换GPT-4o模型_进入Settings页面手动选择AI模型
- 438浏览 收藏
-
- 科技周边 · 人工智能 | 7小时前 | openclaw
- OpenClawAI运行慢怎么优化_OpenClawAI提升大模型响应速度技巧【技巧】
- 425浏览 收藏
-
- 科技周边 · 人工智能 | 7小时前 |
- 如何提升代码运行效率并降低功耗 利用DeepSeek Coder优化算法时间复杂度
- 254浏览 收藏
-
- 科技周边 · 人工智能 | 8小时前 | CodeGeeX CodeGeeX生成Go代码保姆级教程
- CodeGeeX怎么写Go日志_CodeGeeX生成Zap日志代码【Go日志】
- 155浏览 收藏
-
- 科技周边 · 人工智能 | 8小时前 | AI工具 民间故事ai工具
- DALL-E怎么设计AI民间故事插图_DALL-E设计AI民间故事插图详细流程说明
- 122浏览 收藏
-
- 科技周边 · 人工智能 | 8小时前 |
- 文心一言怎么分析用户评论_文心一言情感分析与洞察方法
- 223浏览 收藏
-
- 科技周边 · 人工智能 | 8小时前 |
- Minimax如何利用提示词控制颜色 Minimax配色方案写法
- 310浏览 收藏
-
- 科技周边 · 人工智能 | 8小时前 |
- 豆包AI怎样用数据增强年终总结说服力_豆包AI增说服力法【策略】
- 493浏览 收藏
-
- 科技周边 · 人工智能 | 9小时前 | ChatGPT
- 搭建高可用AI服务_Nginx反向代理与负载均衡配置
- 491浏览 收藏
-
- 科技周边 · 人工智能 | 9小时前 |
- 豆包AI如何做Plog图文排版_豆包AI制作Plog排版技巧全解析
- 200浏览 收藏
-
- 前端进阶之JavaScript设计模式
- 设计模式是开发人员在软件开发过程中面临一般问题时的解决方案,代表了最佳的实践。本课程的主打内容包括JS常见设计模式以及具体应用场景,打造一站式知识长龙服务,适合有JS基础的同学学习。
- 543次学习
-
- GO语言核心编程课程
- 本课程采用真实案例,全面具体可落地,从理论到实践,一步一步将GO核心编程技术、编程思想、底层实现融会贯通,使学习者贴近时代脉搏,做IT互联网时代的弄潮儿。
- 516次学习
-
- 简单聊聊mysql8与网络通信
- 如有问题加微信:Le-studyg;在课程中,我们将首先介绍MySQL8的新特性,包括性能优化、安全增强、新数据类型等,帮助学生快速熟悉MySQL8的最新功能。接着,我们将深入解析MySQL的网络通信机制,包括协议、连接管理、数据传输等,让
- 500次学习
-
- JavaScript正则表达式基础与实战
- 在任何一门编程语言中,正则表达式,都是一项重要的知识,它提供了高效的字符串匹配与捕获机制,可以极大的简化程序设计。
- 487次学习
-
- 从零制作响应式网站—Grid布局
- 本系列教程将展示从零制作一个假想的网络科技公司官网,分为导航,轮播,关于我们,成功案例,服务流程,团队介绍,数据部分,公司动态,底部信息等内容区块。网站整体采用CSSGrid布局,支持响应式,有流畅过渡和展现动画。
- 485次学习
-
- ChatExcel酷表
- ChatExcel酷表是由北京大学团队打造的Excel聊天机器人,用自然语言操控表格,简化数据处理,告别繁琐操作,提升工作效率!适用于学生、上班族及政府人员。
- 4472次使用
-
- Any绘本
- 探索Any绘本(anypicturebook.com/zh),一款开源免费的AI绘本创作工具,基于Google Gemini与Flux AI模型,让您轻松创作个性化绘本。适用于家庭、教育、创作等多种场景,零门槛,高自由度,技术透明,本地可控。
- 4817次使用
-
- 可赞AI
- 可赞AI,AI驱动的办公可视化智能工具,助您轻松实现文本与可视化元素高效转化。无论是智能文档生成、多格式文本解析,还是一键生成专业图表、脑图、知识卡片,可赞AI都能让信息处理更清晰高效。覆盖数据汇报、会议纪要、内容营销等全场景,大幅提升办公效率,降低专业门槛,是您提升工作效率的得力助手。
- 4702次使用
-
- 星月写作
- 星月写作是国内首款聚焦中文网络小说创作的AI辅助工具,解决网文作者从构思到变现的全流程痛点。AI扫榜、专属模板、全链路适配,助力新人快速上手,资深作者效率倍增。
- 6492次使用
-
- MagicLight
- MagicLight.ai是全球首款叙事驱动型AI动画视频创作平台,专注于解决从故事想法到完整动画的全流程痛点。它通过自研AI模型,保障角色、风格、场景高度一致性,让零动画经验者也能高效产出专业级叙事内容。广泛适用于独立创作者、动画工作室、教育机构及企业营销,助您轻松实现创意落地与商业化。
- 5067次使用
-
- GPT-4王者加冕!读图做题性能炸天,凭自己就能考上斯坦福
- 2023-04-25 501浏览
-
- 单块V100训练模型提速72倍!尤洋团队新成果获AAAI 2023杰出论文奖
- 2023-04-24 501浏览
-
- ChatGPT 真的会接管世界吗?
- 2023-04-13 501浏览
-
- VR的终极形态是「假眼」?Neuralink前联合创始人掏出新产品:科学之眼!
- 2023-04-30 501浏览
-
- 实现实时制造可视性优势有哪些?
- 2023-04-15 501浏览

