NeurIPS 2024 | 解锁大模型知识记忆编辑的新路径,浙大用「WISE」对抗幻觉
来源:机器之心
2024-11-02 14:18:39
0浏览
收藏
一分耕耘,一分收获!既然都打开这篇《NeurIPS 2024 | 解锁大模型知识记忆编辑的新路径,浙大用「WISE」对抗幻觉》,就坚持看下去,学下去吧!本文主要会给大家讲到等等知识点,如果大家对本文有好的建议或者看到有不足之处,非常欢迎大家积极提出!在后续文章我会继续更新科技周边相关的内容,希望对大家都有所帮助!

AIxiv专栏是本站发布学术、技术内容的栏目。过去数年,本站AIxiv专栏接收报道了2000多篇内容,覆盖全球各大高校与企业的顶级实验室,有效促进了学术交流与传播。如果您有优秀的工作想要分享,欢迎投稿或者联系报道。投稿邮箱:liyazhou@jiqizhixin.com;zhaoyunfeng@jiqizhixin.com

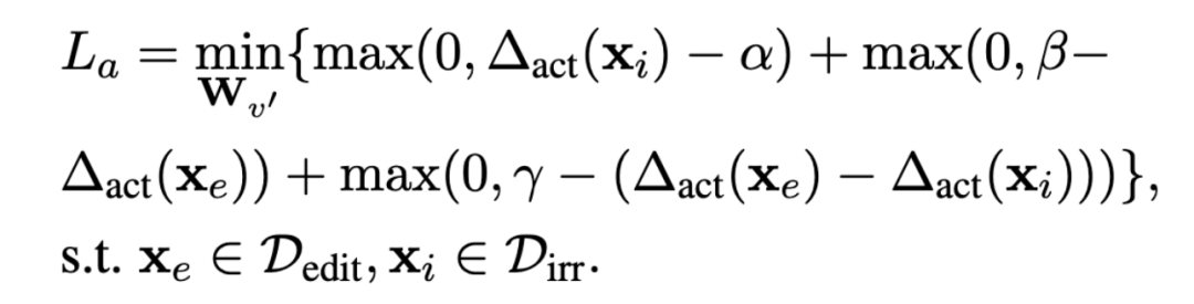
论文标题:WISE: Rethinking the Knowledge Memory for Lifelong Model Editing of Large Language Models
论文链接: https://arxiv.org/abs/2405.14768 代码链接: https://github.com/zjunlp/EasyEdit

来驱动 [3,16,17]。
可靠性(Reliability):模型能够在顺序编辑后记住当前和之前的编辑操作。
泛化能力(Generalization):模型不仅仅记住查询-目标对,而是能够理解并泛化到不同类型的查询。
局部性(Locality):模型编辑操作不会影响与编辑知识无关的预训练知识。
上预训练的模型
, 当模型需要纠正错误或注入新知识时会使用一个随时间变化的编辑数据集
来进行编辑操作。在第 T 个编辑步骤中,模型知识编辑器(Model Editor, ME)接收第 T 个编辑样例和 T-1 步的的模型
,并产生修正后的 LLM 模型
。遵循以下等式:
是当前编辑步骤的输入,
是期望输出;同时保留对过去编辑步骤中输入
的记忆,并维持对不相关数据
的处理能力。









到这里,我们也就讲完了《NeurIPS 2024 | 解锁大模型知识记忆编辑的新路径,浙大用「WISE」对抗幻觉》的内容了。个人认为,基础知识的学习和巩固,是为了更好的将其运用到项目中,欢迎关注golang学习网公众号,带你了解更多关于工程,wise的知识点!
版本声明
本文转载于:机器之心 如有侵犯,请联系study_golang@163.com删除
如何使用SQL匹配字符串中包含特定字符串组的任意一项?
- 上一篇
- 如何使用SQL匹配字符串中包含特定字符串组的任意一项?
- 下一篇
- Golang 中的接口是什么?为什么它对于构建大型系统很重要?
查看更多
最新文章
-
- 科技周边 · 人工智能 | 6分钟前 |
- Apple Intelligence是什么?iPhone上的AI功能详细解析
- 176浏览 收藏
-
- 科技周边 · 人工智能 | 13分钟前 | ToClawI
- 自动浏览网页:ToClaw解放双手的冲浪体验
- 143浏览 收藏
-
- 科技周边 · 人工智能 | 26分钟前 |
- DeepSeek在法律文件分析中的精准度实测
- 353浏览 收藏
-
- 科技周边 · 人工智能 | 29分钟前 |
- 即梦如何上传参考图进行创作_即梦参考图上传使用教程
- 126浏览 收藏
-
- 科技周边 · 人工智能 | 34分钟前 | ShareGPT
- ShareGPT数据集在Few-Shot学习研究中的应用:小样本场景下的数据选择方法
- 212浏览 收藏
-
- 科技周边 · 人工智能 | 37分钟前 | QClaw
- QClaw测试版和稳定版怎么选_QClaw版本选择建议【说明】
- 455浏览 收藏
-
- 科技周边 · 人工智能 | 41分钟前 |
- AI一键生成电商直播带货脚本 AI直播营销工具
- 151浏览 收藏
-
- 科技周边 · 人工智能 | 47分钟前 |
- 即梦AI怎么快速制作企业年会暖场视频?商务活动模板一键套用
- 242浏览 收藏
-
- 科技周边 · 人工智能 | 47分钟前 |
- 海螺AI怎么让它帮忙把中文内容翻译成地道的英文?
- 386浏览 收藏
-
- 科技周边 · 人工智能 | 53分钟前 |
- ChatGPT角色扮演高级玩法教程 ChatGPT创意互动技巧
- 186浏览 收藏
-
- 科技周边 · 人工智能 | 1小时前 |
- 如何用AI自动分析竞争对手 AI市场竞品分析报告生成【教程】
- 254浏览 收藏
-
- 科技周边 · 人工智能 | 1小时前 |
- Trae怎么用AI帮忙生成mock数据方便前端开发调试?
- 136浏览 收藏
查看更多
课程推荐
-
- 前端进阶之JavaScript设计模式
- 设计模式是开发人员在软件开发过程中面临一般问题时的解决方案,代表了最佳的实践。本课程的主打内容包括JS常见设计模式以及具体应用场景,打造一站式知识长龙服务,适合有JS基础的同学学习。
- 543次学习
-
- GO语言核心编程课程
- 本课程采用真实案例,全面具体可落地,从理论到实践,一步一步将GO核心编程技术、编程思想、底层实现融会贯通,使学习者贴近时代脉搏,做IT互联网时代的弄潮儿。
- 516次学习
-
- 简单聊聊mysql8与网络通信
- 如有问题加微信:Le-studyg;在课程中,我们将首先介绍MySQL8的新特性,包括性能优化、安全增强、新数据类型等,帮助学生快速熟悉MySQL8的最新功能。接着,我们将深入解析MySQL的网络通信机制,包括协议、连接管理、数据传输等,让
- 500次学习
-
- JavaScript正则表达式基础与实战
- 在任何一门编程语言中,正则表达式,都是一项重要的知识,它提供了高效的字符串匹配与捕获机制,可以极大的简化程序设计。
- 487次学习
-
- 从零制作响应式网站—Grid布局
- 本系列教程将展示从零制作一个假想的网络科技公司官网,分为导航,轮播,关于我们,成功案例,服务流程,团队介绍,数据部分,公司动态,底部信息等内容区块。网站整体采用CSSGrid布局,支持响应式,有流畅过渡和展现动画。
- 485次学习
查看更多
AI推荐
-
- ChatExcel酷表
- ChatExcel酷表是由北京大学团队打造的Excel聊天机器人,用自然语言操控表格,简化数据处理,告别繁琐操作,提升工作效率!适用于学生、上班族及政府人员。
- 4976次使用
-
- Any绘本
- 探索Any绘本(anypicturebook.com/zh),一款开源免费的AI绘本创作工具,基于Google Gemini与Flux AI模型,让您轻松创作个性化绘本。适用于家庭、教育、创作等多种场景,零门槛,高自由度,技术透明,本地可控。
- 5346次使用
-
- 可赞AI
- 可赞AI,AI驱动的办公可视化智能工具,助您轻松实现文本与可视化元素高效转化。无论是智能文档生成、多格式文本解析,还是一键生成专业图表、脑图、知识卡片,可赞AI都能让信息处理更清晰高效。覆盖数据汇报、会议纪要、内容营销等全场景,大幅提升办公效率,降低专业门槛,是您提升工作效率的得力助手。
- 5222次使用
-
- 星月写作
- 星月写作是国内首款聚焦中文网络小说创作的AI辅助工具,解决网文作者从构思到变现的全流程痛点。AI扫榜、专属模板、全链路适配,助力新人快速上手,资深作者效率倍增。
- 7156次使用
-
- MagicLight
- MagicLight.ai是全球首款叙事驱动型AI动画视频创作平台,专注于解决从故事想法到完整动画的全流程痛点。它通过自研AI模型,保障角色、风格、场景高度一致性,让零动画经验者也能高效产出专业级叙事内容。广泛适用于独立创作者、动画工作室、教育机构及企业营销,助您轻松实现创意落地与商业化。
- 5605次使用
查看更多
相关文章
-
- GPT-4王者加冕!读图做题性能炸天,凭自己就能考上斯坦福
- 2023-04-25 501浏览
-
- 单块V100训练模型提速72倍!尤洋团队新成果获AAAI 2023杰出论文奖
- 2023-04-24 501浏览
-
- ChatGPT 真的会接管世界吗?
- 2023-04-13 501浏览
-
- VR的终极形态是「假眼」?Neuralink前联合创始人掏出新产品:科学之眼!
- 2023-04-30 501浏览
-
- 实现实时制造可视性优势有哪些?
- 2023-04-15 501浏览

