NeurIPS 2024|浙大 & 微信 & 清华:彻底解决扩散模型反演问题
来源:机器之心
2024-11-08 10:28:00
0浏览
收藏
珍惜时间,勤奋学习!今天给大家带来《NeurIPS 2024|浙大 & 微信 & 清华:彻底解决扩散模型反演问题》,正文内容主要涉及到等等,如果你正在学习科技周边,或者是对科技周边有疑问,欢迎大家关注我!后面我会持续更新相关内容的,希望都能帮到正在学习的大家!

AIxiv专栏是本站发布学术、技术内容的栏目。过去数年,本站AIxiv专栏接收报道了2000多篇内容,覆盖全球各大高校与企业的顶级实验室,有效促进了学术交流与传播。如果您有优秀的工作想要分享,欢迎投稿或者联系报道。投稿邮箱:liyazhou@jiqizhixin.com;zhaoyunfeng@jiqizhixin.com

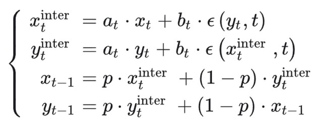
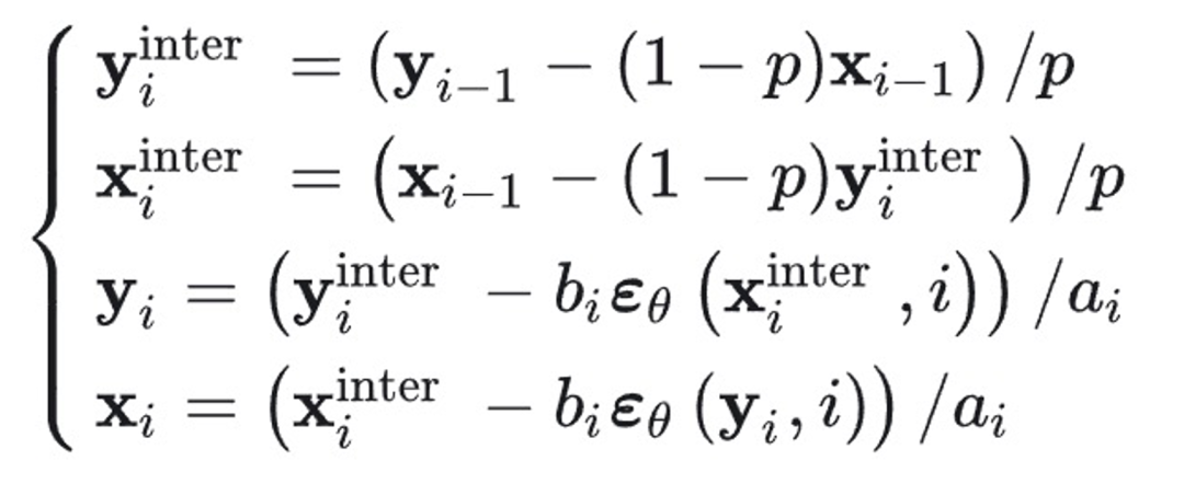
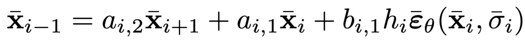
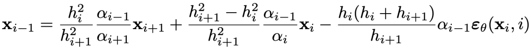
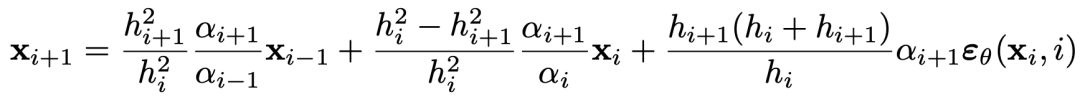
论文题目:BELM: Bidirectional Explicit Linear Multi-step Sampler for Exact Inversion in Diffusion Models
论文链接:https://arxiv.org/abs/2410.07273
项目地址:https://github.com/zituitui/BELM





























到这里,我们也就讲完了《NeurIPS 2024|浙大 & 微信 & 清华:彻底解决扩散模型反演问题》的内容了。个人认为,基础知识的学习和巩固,是为了更好的将其运用到项目中,欢迎关注golang学习网公众号,带你了解更多关于工程,BELM的知识点!
版本声明
本文转载于:机器之心 如有侵犯,请联系study_golang@163.com删除
如何获取企业微信用户和非企业微信用户的 OpenID?
- 上一篇
- 如何获取企业微信用户和非企业微信用户的 OpenID?
- 下一篇
- 使用Nginx转发PHP服务时出现502错误,如何解决?
查看更多
最新文章
-
- 科技周边 · 人工智能 | 4分钟前 |
- WorkBuddy排查MyBatis映射问题技巧
- 386浏览 收藏
-
- 科技周边 · 人工智能 | 8分钟前 | Hermes Agent HermesAgent
- HermesAgent玩转GitHub:自动检测代码更新
- 332浏览 收藏
-
- 科技周边 · 人工智能 | 14分钟前 |
- 猫箱背景怎么换?聊天场景自定义教程
- 196浏览 收藏
-
- 科技周边 · 人工智能 | 25分钟前 | 天宫AI
- 天宫AI使用教程|基础操作详解
- 335浏览 收藏
-
- 科技周边 · 人工智能 | 41分钟前 | CodeGeeX
- CodeGeeXPC版官网入口与登录方法
- 280浏览 收藏
-
- 科技周边 · 人工智能 | 41分钟前 | Hermes Agent HermesAgent
- HermesAgent微信AI配置全攻略
- 462浏览 收藏
-
- 科技周边 · 人工智能 | 50分钟前 | 人工智能工具
- TabNine上下文理解提升补全方法
- 257浏览 收藏
-
- 科技周边 · 人工智能 | 50分钟前 |
- AI生成剧情,玩家选择决定支线走向
- 367浏览 收藏
-
- 科技周边 · 人工智能 | 53分钟前 |
- ClaudeMythos隐私保护技巧解析
- 479浏览 收藏
-
- 科技周边 · 人工智能 | 59分钟前 |
- WorkBuddy日志存储优化技巧
- 354浏览 收藏
-
- 科技周边 · 人工智能 | 1小时前 | 夸克AI 夸克AI大模型
- 夸克AI报销单生成教程详解
- 119浏览 收藏
-
- 科技周边 · 人工智能 | 1小时前 | Hermes Agent HermesAgent
- HermesAgent孤立森林算法实战解析
- 469浏览 收藏
查看更多
课程推荐
-
- 前端进阶之JavaScript设计模式
- 设计模式是开发人员在软件开发过程中面临一般问题时的解决方案,代表了最佳的实践。本课程的主打内容包括JS常见设计模式以及具体应用场景,打造一站式知识长龙服务,适合有JS基础的同学学习。
- 543次学习
-
- GO语言核心编程课程
- 本课程采用真实案例,全面具体可落地,从理论到实践,一步一步将GO核心编程技术、编程思想、底层实现融会贯通,使学习者贴近时代脉搏,做IT互联网时代的弄潮儿。
- 516次学习
-
- 简单聊聊mysql8与网络通信
- 如有问题加微信:Le-studyg;在课程中,我们将首先介绍MySQL8的新特性,包括性能优化、安全增强、新数据类型等,帮助学生快速熟悉MySQL8的最新功能。接着,我们将深入解析MySQL的网络通信机制,包括协议、连接管理、数据传输等,让
- 500次学习
-
- JavaScript正则表达式基础与实战
- 在任何一门编程语言中,正则表达式,都是一项重要的知识,它提供了高效的字符串匹配与捕获机制,可以极大的简化程序设计。
- 487次学习
-
- 从零制作响应式网站—Grid布局
- 本系列教程将展示从零制作一个假想的网络科技公司官网,分为导航,轮播,关于我们,成功案例,服务流程,团队介绍,数据部分,公司动态,底部信息等内容区块。网站整体采用CSSGrid布局,支持响应式,有流畅过渡和展现动画。
- 485次学习
查看更多
AI推荐
-
- ChatExcel酷表
- ChatExcel酷表是由北京大学团队打造的Excel聊天机器人,用自然语言操控表格,简化数据处理,告别繁琐操作,提升工作效率!适用于学生、上班族及政府人员。
- 4472次使用
-
- Any绘本
- 探索Any绘本(anypicturebook.com/zh),一款开源免费的AI绘本创作工具,基于Google Gemini与Flux AI模型,让您轻松创作个性化绘本。适用于家庭、教育、创作等多种场景,零门槛,高自由度,技术透明,本地可控。
- 4818次使用
-
- 可赞AI
- 可赞AI,AI驱动的办公可视化智能工具,助您轻松实现文本与可视化元素高效转化。无论是智能文档生成、多格式文本解析,还是一键生成专业图表、脑图、知识卡片,可赞AI都能让信息处理更清晰高效。覆盖数据汇报、会议纪要、内容营销等全场景,大幅提升办公效率,降低专业门槛,是您提升工作效率的得力助手。
- 4702次使用
-
- 星月写作
- 星月写作是国内首款聚焦中文网络小说创作的AI辅助工具,解决网文作者从构思到变现的全流程痛点。AI扫榜、专属模板、全链路适配,助力新人快速上手,资深作者效率倍增。
- 6492次使用
-
- MagicLight
- MagicLight.ai是全球首款叙事驱动型AI动画视频创作平台,专注于解决从故事想法到完整动画的全流程痛点。它通过自研AI模型,保障角色、风格、场景高度一致性,让零动画经验者也能高效产出专业级叙事内容。广泛适用于独立创作者、动画工作室、教育机构及企业营销,助您轻松实现创意落地与商业化。
- 5068次使用
查看更多
相关文章
-
- GPT-4王者加冕!读图做题性能炸天,凭自己就能考上斯坦福
- 2023-04-25 501浏览
-
- 单块V100训练模型提速72倍!尤洋团队新成果获AAAI 2023杰出论文奖
- 2023-04-24 501浏览
-
- ChatGPT 真的会接管世界吗?
- 2023-04-13 501浏览
-
- VR的终极形态是「假眼」?Neuralink前联合创始人掏出新产品:科学之眼!
- 2023-04-30 501浏览
-
- 实现实时制造可视性优势有哪些?
- 2023-04-15 501浏览

