北大领衔,多智能体强化学习研究登上Nature子刊
来源:机器之心
2024-11-25 09:06:25
0浏览
收藏
本篇文章给大家分享《北大领衔,多智能体强化学习研究登上Nature子刊》,覆盖了科技周边的常见基础知识,其实一个语言的全部知识点一篇文章是不可能说完的,但希望通过这些问题,让读者对自己的掌握程度有一定的认识(B 数),从而弥补自己的不足,更好的掌握它。

AIxiv专栏是本站发布学术、技术内容的栏目。过去数年,本站AIxiv专栏接收报道了2000多篇内容,覆盖全球各大高校与企业的顶级实验室,有效促进了学术交流与传播。如果您有优秀的工作想要分享,欢迎投稿或者联系报道。投稿邮箱:liyazhou@jiqizhixin.com;zhaoyunfeng@jiqizhixin.com
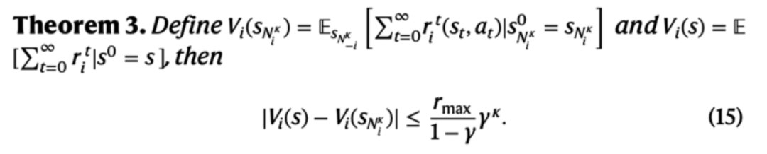
近日,由北京大学人工智能研究院杨耀东课题组牵头完成的研究成果 ——「大规模多智能体系统的高效强化学习」在人工智能顶级学术期刊 Nature Machine Intelligence 上发表。
论文第一作者是北京大学人工智能研究院博士生马成栋,通讯作者为人工智能研究院杨耀东助理教授。人工智能研究院多智能体中心李阿明研究员和伦敦国王大学杜雅丽教授为共同第一作者。这一成果首次在大规模多智能体系统中实现了高效的去中心化协同训练和决策,显著提升了人工智能决策模型在大规模多智能体系统中的扩展性和适用性。









今天关于《北大领衔,多智能体强化学习研究登上Nature子刊》的内容介绍就到此结束,如果有什么疑问或者建议,可以在golang学习网公众号下多多回复交流;文中若有不正之处,也希望回复留言以告知!
版本声明
本文转载于:机器之心 如有侵犯,请联系study_golang@163.com删除
共享表设计是否合理?如何优化博客系统表结构?
- 上一篇
- 共享表设计是否合理?如何优化博客系统表结构?
- 下一篇
- 如何设置电脑U盘启动?简易步骤分享
查看更多
最新文章
-
- 科技周边 · 人工智能 | 4分钟前 |
- OpenAI发布PII脱敏模型PrivacyFilter开源
- 226浏览 收藏
-
- 科技周边 · 人工智能 | 13分钟前 | Hermes Agent HermesAgent
- HermesAgent生成二维码教程详解
- 444浏览 收藏
-
- 科技周边 · 人工智能 | 25分钟前 |
- DeepSeekV4微信机器人搭建教程
- 175浏览 收藏
-
- 科技周边 · 人工智能 | 31分钟前 |
- Perplexity默认模式怎么改?
- 419浏览 收藏
-
- 科技周边 · 人工智能 | 34分钟前 | HermesAgent
- HermesAgent Mac安装教程:一行代码搞定
- 207浏览 收藏
-
- 科技周边 · 人工智能 | 1小时前 | CanvaAI Canva可画
- Canva可画在线设计无需安装使用
- 360浏览 收藏
-
- 科技周边 · 人工智能 | 1小时前 |
- 讯飞星火回答更清晰的技巧
- 191浏览 收藏
-
- 科技周边 · 人工智能 | 1小时前 |
- 讯飞星火生成教案PPT方法
- 461浏览 收藏
-
- 科技周边 · 人工智能 | 1小时前 |
- WorkBuddy知识库配置全攻略
- 154浏览 收藏
-
- 科技周边 · 人工智能 | 1小时前 | Llama 3
- Llama3API配置教程:免费调用省Token指南
- 153浏览 收藏
-
- 科技周边 · 人工智能 | 2小时前 | Hermes Agent HermesAgent
- HermesAgent长期运行成本解析
- 422浏览 收藏
-
- 科技周边 · 人工智能 | 2小时前 | 华为AI眼镜
- 华为AI眼镜蓝牙连接教程
- 120浏览 收藏
查看更多
课程推荐
-
- 前端进阶之JavaScript设计模式
- 设计模式是开发人员在软件开发过程中面临一般问题时的解决方案,代表了最佳的实践。本课程的主打内容包括JS常见设计模式以及具体应用场景,打造一站式知识长龙服务,适合有JS基础的同学学习。
- 543次学习
-
- GO语言核心编程课程
- 本课程采用真实案例,全面具体可落地,从理论到实践,一步一步将GO核心编程技术、编程思想、底层实现融会贯通,使学习者贴近时代脉搏,做IT互联网时代的弄潮儿。
- 516次学习
-
- 简单聊聊mysql8与网络通信
- 如有问题加微信:Le-studyg;在课程中,我们将首先介绍MySQL8的新特性,包括性能优化、安全增强、新数据类型等,帮助学生快速熟悉MySQL8的最新功能。接着,我们将深入解析MySQL的网络通信机制,包括协议、连接管理、数据传输等,让
- 500次学习
-
- JavaScript正则表达式基础与实战
- 在任何一门编程语言中,正则表达式,都是一项重要的知识,它提供了高效的字符串匹配与捕获机制,可以极大的简化程序设计。
- 487次学习
-
- 从零制作响应式网站—Grid布局
- 本系列教程将展示从零制作一个假想的网络科技公司官网,分为导航,轮播,关于我们,成功案例,服务流程,团队介绍,数据部分,公司动态,底部信息等内容区块。网站整体采用CSSGrid布局,支持响应式,有流畅过渡和展现动画。
- 485次学习
查看更多
AI推荐
-
- ChatExcel酷表
- ChatExcel酷表是由北京大学团队打造的Excel聊天机器人,用自然语言操控表格,简化数据处理,告别繁琐操作,提升工作效率!适用于学生、上班族及政府人员。
- 4429次使用
-
- Any绘本
- 探索Any绘本(anypicturebook.com/zh),一款开源免费的AI绘本创作工具,基于Google Gemini与Flux AI模型,让您轻松创作个性化绘本。适用于家庭、教育、创作等多种场景,零门槛,高自由度,技术透明,本地可控。
- 4789次使用
-
- 可赞AI
- 可赞AI,AI驱动的办公可视化智能工具,助您轻松实现文本与可视化元素高效转化。无论是智能文档生成、多格式文本解析,还是一键生成专业图表、脑图、知识卡片,可赞AI都能让信息处理更清晰高效。覆盖数据汇报、会议纪要、内容营销等全场景,大幅提升办公效率,降低专业门槛,是您提升工作效率的得力助手。
- 4664次使用
-
- 星月写作
- 星月写作是国内首款聚焦中文网络小说创作的AI辅助工具,解决网文作者从构思到变现的全流程痛点。AI扫榜、专属模板、全链路适配,助力新人快速上手,资深作者效率倍增。
- 6450次使用
-
- MagicLight
- MagicLight.ai是全球首款叙事驱动型AI动画视频创作平台,专注于解决从故事想法到完整动画的全流程痛点。它通过自研AI模型,保障角色、风格、场景高度一致性,让零动画经验者也能高效产出专业级叙事内容。广泛适用于独立创作者、动画工作室、教育机构及企业营销,助您轻松实现创意落地与商业化。
- 5037次使用
查看更多
相关文章
-
- GPT-4王者加冕!读图做题性能炸天,凭自己就能考上斯坦福
- 2023-04-25 501浏览
-
- 单块V100训练模型提速72倍!尤洋团队新成果获AAAI 2023杰出论文奖
- 2023-04-24 501浏览
-
- ChatGPT 真的会接管世界吗?
- 2023-04-13 501浏览
-
- VR的终极形态是「假眼」?Neuralink前联合创始人掏出新产品:科学之眼!
- 2023-04-30 501浏览
-
- 实现实时制造可视性优势有哪些?
- 2023-04-15 501浏览

