中科院计算所团队提出CarbonNovo,基于AI进行蛋白质结构和序列的端到端从头设计
科技周边不知道大家是否熟悉?今天我将给大家介绍《中科院计算所团队提出CarbonNovo,基于AI进行蛋白质结构和序列的端到端从头设计》,这篇文章主要会讲到等等知识点,如果你在看完本篇文章后,有更好的建议或者发现哪里有问题,希望大家都能积极评论指出,谢谢!希望我们能一起加油进步!

编辑 | ScienceAI
近期,中国科学院计算所张海仓带领的研究团队提出了 CarbonNovo,以端到端的方式联合设计蛋白质主链结构和序列。
该研究以「CarbonNovo: Joint Design of Protein Structure and Sequence Using a Unified Energy-based Model」为题发表在机器学习会议 ICML 2024 上。

背景介绍
蛋白质是生物执行功能的重要大分子。蛋白质从头设计旨在创造全新的蛋白质,在药物开发和酶工程中有着广泛的应用。
近几年,基于 AI 的蛋白质从头设计快速发展,已被成功应用于抗体设计、小蛋白药物设计等领域,和传统设计方法相比,其显著提高了设计成功率和效率。
AI 蛋白质设计得益于近几年的两大技术突破:
一是蛋白质结构预测领域的 AlphaFold2 模型,它为蛋白质计算领域包括蛋白质设计领域,提供了基础的神经网络模型架构、蛋白质序列表示和结构表示方法、以及先进的训练策略(蒸馏训练、端到端训练)等技术;
二是 AIGC 在文字、图像、视频生成领域的快速发展,为蛋白质设计提供了成熟的生成模型,例如 DDPM, SDE, Flow Matching,Bayesian Flow Network 等。代表性的蛋白质设计模型,例如 RFDiffusion 和 Chroma 等,主要思路都是将这两大技术融合,将蛋白质的序列和结构表示网络嵌入到基于 AI 的生成模型框架中。

蛋白质从头设计主要包含两个步骤,蛋白质主链结构设计和序列设计(图1)。相应地,当前的主流模型通常采用「两阶段」框架进行:在训练过程中,结构设计模块和序列设计模块分别训练;在推断过程中,首先生成主链结构,然后为主链结构生成最优序列。代表性地,领域内使用 RFDiffusion 和 ProteinMPNN 这两个软件,依次生成主链结构和序列。
蛋白质从头设计的「两阶段」框架存在固有的局限性:
CarbonNovo进行端到端的结构和序列联合设计
针对蛋白质设计「两阶段」框架的局限性,中科院计算所张海仓带领的研究团队提出 CarbonNovo,以端到端的方式联合设计蛋白质主链结构和序列。论文近期已于近期发表在机器学习会议 ICML 2024 上。

图 2:CarbonNovo 端到端生成蛋白质结构和序列。(来源:论文)
CarbonNovo 的主要贡献总结如下:
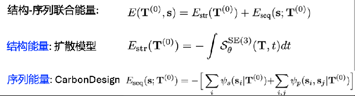
蛋白质结构-序列的联合能量模型

在经典物理模型下,天然蛋白质构象具有比较低的自由能,这也是蛋白质结构预测和设计的一般假设。基于此,CarbonNovo 建立了蛋白质结构和序列的联合能量模型:
图 2 展示了 CarbonNovo 的具体生成过程:
CarbonNovo 生成蛋白质结构-序列的性能评测

论文采用多种指标充分评价了 CarbonNovo 在蛋白质从头设计方面的性能 (图 3),例如,可折叠性、多样性、新颖性是领域内常用的评价指标。此外,论文还采用了 Rosetta 能量和语言模型下的似然概率(Sequence plausibility)作为评价指标。
CarbonNovo 和当前主流的「两阶段」设计模型做了比较,例如 RFdiffusion, Chroma, Genie, FrameDiff 和 FrameFlow。在最关键的可折叠性指标上 CarbonNovo 显著超过了所有基线方法,在其他指标上也显著超过基线方法或者和基线方法相当。
为了展示 CarbonNovo 在联合设计序列与结构方面的优势,作者还对比了使用 ProteinMPNN 生成序列的结果(图 3 a-c)。可以观察到,联合设计模型可以设计出更加匹配的蛋白质主链结构和序列。

作者进一步评估了 CarbonNovo 在不同长度的蛋白质设计上的性能(图 4)。在设计比较短的蛋白质时(例如长度 100),各个模型的表现相当。而随着蛋白质长度增长,CarbonNovo 的设计性能显著优于「两阶段」设计模型。
消融实验

作者训练了多个消融模型,以评估关键组件对 CarbonNovo 性能的相对贡献(图 5)。语言模型、序列设计模块和辅助训练损失对 CarbonNovo 的性能都有贡献。其中,语言模型的引入表现出最显著的贡献。此外,使用基于能量的序列设计模块相比自回归模型,也能显著提升序列设计的性能。
Case study:蛋白质结构「插值」

在图像生成领域,人脸图片插值/渐变是生成模型比较经典的应用。作者也尝试利用 CarbonNovo 进行蛋白质结构的插值。
图 5 展示了一个代表例子,随着在隐空间逐渐增加 all alpha-helices 结构向量的权重,生成的 all beta-sheets 结构会逐渐过渡到 all alpha-helices 结构。
这是领域内第一个关于蛋白质结构的插值实验,也体现了 CarbonNovo 学习到的蛋白质隐空间比较紧致。
结语
最后作者指出,虽然 CarbonNovo 主要侧重于蛋白质单体设计,但它也可以很容易被扩展到蛋白质复合物设计和条件设计,如多肽设计、抗体设计等。
作者团队目前在跟生物实验团队合作,通过湿实验的方式验证 CarbonNovo 设计的蛋白质。
作者所在 CarbonMatrix 团队,长期致力于 AI 蛋白质设计和 AI 药物设计,正在建立生物大分子结构设计和预测的统一生成模型。
其研究成果多次发表在 ICML、NeurIPS 等顶级机器学习会议和 Nature Machine Intelligence、Nature Communications 等顶级学术期刊上,目前也在和生物实验室合作,积极推动 AI 模型在药物设计领域的产业化落地。
好了,本文到此结束,带大家了解了《中科院计算所团队提出CarbonNovo,基于AI进行蛋白质结构和序列的端到端从头设计》,希望本文对你有所帮助!关注golang学习网公众号,给大家分享更多科技周边知识!
三色球问题中,为什么绿球不能只有1个?
- 上一篇
- 三色球问题中,为什么绿球不能只有1个?
- 下一篇
- Python如何批量修改Markdown文档中图片的地址?
-
- 科技周边 · 人工智能 | 12分钟前 |
- WorkBuddy AI如何做思维导图?自动生成教程
- 355浏览 收藏
-
- 科技周边 · 人工智能 | 53分钟前 |
- 豆包AI新手必学!三步生成高赞吐槽图
- 336浏览 收藏
-
- 科技周边 · 人工智能 | 1小时前 | 即梦AI
- 即梦AI官网登录入口及免费版使用指南
- 318浏览 收藏
-
- 科技周边 · 人工智能 | 1小时前 | 华为AI眼镜
- 华为AI眼镜如何自定义语音指令
- 338浏览 收藏
-
- 科技周边 · 人工智能 | 1小时前 |
- Node.js开发:打造Gemini Discord机器人实战教程
- 355浏览 收藏
-
- 科技周边 · 人工智能 | 1小时前 |
- 百度AI助手如何整理年终会议要点
- 495浏览 收藏
-
- 科技周边 · 人工智能 | 1小时前 |
- Minimax视频生成用中文提示词更佳
- 213浏览 收藏
-
- 科技周边 · 人工智能 | 2小时前 | DeepSeek 工作总结
- DeepSeek工作总结怎么写?年终述职教程详解
- 420浏览 收藏
-
- 科技周边 · 人工智能 | 2小时前 |
- Mulerun歌词押韵设置方法
- 140浏览 收藏
-
- 科技周边 · 人工智能 | 2小时前 |
- 即梦AI灯光控制技巧与摄影指令详解
- 279浏览 收藏
-
- 科技周边 · 人工智能 | 2小时前 | Perplexity
- Perplexity更换邮箱方法及避坑指南
- 410浏览 收藏
-
- 科技周边 · 人工智能 | 2小时前 |
- Minimax API接入DeepSeek框架方法详解
- 131浏览 收藏
-
- 前端进阶之JavaScript设计模式
- 设计模式是开发人员在软件开发过程中面临一般问题时的解决方案,代表了最佳的实践。本课程的主打内容包括JS常见设计模式以及具体应用场景,打造一站式知识长龙服务,适合有JS基础的同学学习。
- 543次学习
-
- GO语言核心编程课程
- 本课程采用真实案例,全面具体可落地,从理论到实践,一步一步将GO核心编程技术、编程思想、底层实现融会贯通,使学习者贴近时代脉搏,做IT互联网时代的弄潮儿。
- 516次学习
-
- 简单聊聊mysql8与网络通信
- 如有问题加微信:Le-studyg;在课程中,我们将首先介绍MySQL8的新特性,包括性能优化、安全增强、新数据类型等,帮助学生快速熟悉MySQL8的最新功能。接着,我们将深入解析MySQL的网络通信机制,包括协议、连接管理、数据传输等,让
- 500次学习
-
- JavaScript正则表达式基础与实战
- 在任何一门编程语言中,正则表达式,都是一项重要的知识,它提供了高效的字符串匹配与捕获机制,可以极大的简化程序设计。
- 487次学习
-
- 从零制作响应式网站—Grid布局
- 本系列教程将展示从零制作一个假想的网络科技公司官网,分为导航,轮播,关于我们,成功案例,服务流程,团队介绍,数据部分,公司动态,底部信息等内容区块。网站整体采用CSSGrid布局,支持响应式,有流畅过渡和展现动画。
- 485次学习
-
- ChatExcel酷表
- ChatExcel酷表是由北京大学团队打造的Excel聊天机器人,用自然语言操控表格,简化数据处理,告别繁琐操作,提升工作效率!适用于学生、上班族及政府人员。
- 4226次使用
-
- Any绘本
- 探索Any绘本(anypicturebook.com/zh),一款开源免费的AI绘本创作工具,基于Google Gemini与Flux AI模型,让您轻松创作个性化绘本。适用于家庭、教育、创作等多种场景,零门槛,高自由度,技术透明,本地可控。
- 4584次使用
-
- 可赞AI
- 可赞AI,AI驱动的办公可视化智能工具,助您轻松实现文本与可视化元素高效转化。无论是智能文档生成、多格式文本解析,还是一键生成专业图表、脑图、知识卡片,可赞AI都能让信息处理更清晰高效。覆盖数据汇报、会议纪要、内容营销等全场景,大幅提升办公效率,降低专业门槛,是您提升工作效率的得力助手。
- 4465次使用
-
- 星月写作
- 星月写作是国内首款聚焦中文网络小说创作的AI辅助工具,解决网文作者从构思到变现的全流程痛点。AI扫榜、专属模板、全链路适配,助力新人快速上手,资深作者效率倍增。
- 6124次使用
-
- MagicLight
- MagicLight.ai是全球首款叙事驱动型AI动画视频创作平台,专注于解决从故事想法到完整动画的全流程痛点。它通过自研AI模型,保障角色、风格、场景高度一致性,让零动画经验者也能高效产出专业级叙事内容。广泛适用于独立创作者、动画工作室、教育机构及企业营销,助您轻松实现创意落地与商业化。
- 4837次使用
-
- GPT-4王者加冕!读图做题性能炸天,凭自己就能考上斯坦福
- 2023-04-25 501浏览
-
- 单块V100训练模型提速72倍!尤洋团队新成果获AAAI 2023杰出论文奖
- 2023-04-24 501浏览
-
- ChatGPT 真的会接管世界吗?
- 2023-04-13 501浏览
-
- VR的终极形态是「假眼」?Neuralink前联合创始人掏出新产品:科学之眼!
- 2023-04-30 501浏览
-
- 实现实时制造可视性优势有哪些?
- 2023-04-15 501浏览

