TMI2024 | 阿大、同济等提出TraCoCo,用于3D医学图像半监督分割
一分耕耘,一分收获!既然打开了这篇文章《TMI2024 | 阿大、同济等提出TraCoCo,用于3D医学图像半监督分割》,就坚持看下去吧!文中内容包含等等知识点...希望你能在阅读本文后,能真真实实学到知识或者帮你解决心中的疑惑,也欢迎大佬或者新人朋友们多留言评论,多给建议!谢谢!

编辑 | ScienceAI
3D 医学图像分割方法已经取得了成功,但它们对大量体素级标注数据的依赖是一个需要解决的缺点,因为获取这些标注的成本很高。
半监督学习(SSL)通过使用大量未标注数据和少量标注数据进行模型训练,解决了这一问题。
最成功的 SSL 方法基于一致性学习,即通过最小化从扰动视图中获得的模型响应之间的距离来实现的。这些扰动通常在视图之间保持空间输入上下文的一致性,这可能导致模型从空间输入上下文中学习分割模式,而不是从前景对象中学习。
在最新的研究中,澳大利亚阿德莱德大学(The University of Adelaide)、同济大学等机构的研究人员提出了 TraCoCo,这是一种一致性学习 SSL 方法,它通过改变输入数据视图的空间输入上下文来进行扰动,使模型能够从前景对象中学习分割模式。
此外,该团队提出了一种新的“Confident Regional Cross entropy (CRC)”损失,该损失提高了训练收敛性,并保持了对共训练伪标签错误的鲁棒性。该方法在多个3D数据基准上达到了最先进的结果,例如左心房(LA)、胰腺CT(Pancreas)、和脑肿瘤分割(BraTS19)。该方法在一个 2D 切片基准——自动心脏诊断挑战(ACDC)上也取得了最佳结果,进一步证明了其有效性。

文章地址:https://ieeexplore.ieee.org/abstract/document/10695462
代码地址:https://github.com/yyliu01/TraCoCo
背景

3D医学图像分割方法虽然已取得成功,但它们依赖于大量体素级别标注数据,这是一个亟需解决的问题,因为获得这些标注的成本非常高。为了克服这一挑战,半监督学习(SSL)通过结合大量未标注数据和少量标注数据来训练模型,从而减少对标注数据的需求。
最成功的 SSL 方法基于一致性学习,通过最小化模型在未标注数据的不同扰动视图下的响应差异来实现一致性。然而,这些扰动通常保持视图之间的空间输入上下文较为一致,这可能导致模型从空间上下文中学习分割模式,而不是从前景对象中学习。
为解决这一问题,研究人员提出了一种新的 SSL 方法,称为 Translation Consistent Co-training(TraCoCo)。TraCoCo 通过改变输入数据视图的空间输入上下文来扰动视图,使模型能够从前景对象中学习分割模式。
同时,该研究还提出了一种新的 Confident Regional Cross-Entropy(CRC)损失,该损失旨在提高训练的收敛性并保持对共训练伪标签错误的鲁棒性。

Translation Consistent Co-training(TraCoCo)
TraCoCo是一种基于互助学习(Co-training)框架的方法,该框架通过翻译一致性(Translation Consistency)来扰动输入数据的空间上下文,从而减少模型对背景模式的“记忆”,确保模型专注于前景对象的分割。
模型框架
TraCoCo 包含两个初始参数不同的独立网络(通常为 VNet或 3D-UNet)。输入数据通过随机裁剪生成两个子体积(sub-volumes),这两个子体积的空间上下文不同,但在体素网格中存在重叠区域。
模型目标
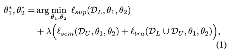
为了确保模型在不同空间上下文下的前景分割结果一致,TraCoCo 引入了多种损失函数,包括监督学习损失、半监督学习损失和翻译一致性损失。本文的方法实现通过最小化以下损失函数来进行训练:

其中,分别由监督学习损失,半监督学习损失,和翻译一致性损失组成。
监督学习损失(SupervisedLearning Loss)
监督学习损失通过带标注的数据集 D_L 进行计算,包括体素级交叉熵损失(Cross-Entropy Loss)和 Dice损失,用来优化模型的分割性能。损失函数定义为:

TranslationConsistency Loss
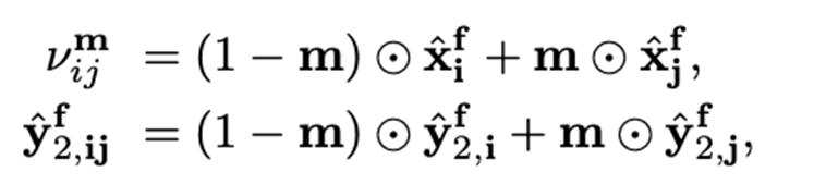
Translation ConsistencyLoss 主要目标是确保模型在不同空间上下文下的分割结果一致。具体实现过程如下:从训练体积中随机提取两个中心不同的子体积
损失函数定义为:



其中,公式 4 是 Kullback-Leibler(KL)散度,用于计算两个子体积在重叠区域的分割结果之间的差异;公式 5 是基于负熵的正则化损失,用于平衡训练体素中的前景和背景类。
半监督学习损失(Semi-supervisedLearning Loss)
半监督学习损失用于强化两个模型之间的分割一致性,Confident Regional Cross-Entropy (CRC) Loss, 其定义为:


3DCutMix
为了进一步提高训练的泛化性,本文采用了 3DCutMix 技术。实现为随机生成一个 3D 二值掩码,该掩码包含一个随机定义位置和尺寸的“1”方块。掩码应用在未标注数据和伪标签上,定义为:

实验
本文在四个公开的 3D 医学图像半监督分割数据集上进行了实验,包括:
左心房(Left Atrium, LA):100 个 3D MRI 体积,其中 80 个用于训练,20 个用于测试。
胰腺 CT(Pancreas-CT):82 个对比增强的 CT 扫描,采用特定的预处理步骤。
脑肿瘤分割 2019(BraTS19):包含 335 个脑部 MRI 样本,每个样本包含四种扫描类型(T1, T1-ce, T2, FLAIR)。
自动心脏诊断挑战(ACDC):该数据集包含 100 个心脏 MRI 扫描,本文使用了其 2D 切片进行半监督学习。
实验设置:采用了 VNet 和 3D-UNet 作为模型架构,实验评估指标包括Dice、Jaccard、平均表面距离(ASD)和 95%Hausdorff 距离(95HD)。实验结果显示,TraCoCo 在这些基准测试上均优于现有的最先进(SOTA)方法,特别是在标注数据较少的情况下。














总结
本文提出了 TraCoCo 和 CRC 损失在 3D 和 2D 医学图像分割任务中的有效性,证明了其在减少对背景模式的“记忆”以及提高前景对象分割精度方面的能力。
未来的工作计划包括扩展 TraCoCo 到更多复杂的医学图像任务,并在多模态医学图像中探索其半监督学习能力。
到这里,我们也就讲完了《TMI2024 | 阿大、同济等提出TraCoCo,用于3D医学图像半监督分割》的内容了。个人认为,基础知识的学习和巩固,是为了更好的将其运用到项目中,欢迎关注golang学习网公众号,带你了解更多关于理论,智慧医疗,图像分割的知识点!
网络接收字符串匹配失败,如何解决 switch case 无法匹配问题?
- 上一篇
- 网络接收字符串匹配失败,如何解决 switch case 无法匹配问题?
- 下一篇
- 现代低代码测试平台
-
- 科技周边 · 人工智能 | 9分钟前 | Hermes Agent HermesAgent
- 精准提交任务_减少 Hermes Agent 无效 Token 消耗的黄金法则
- 393浏览 收藏
-
- 科技周边 · 人工智能 | 15分钟前 | 夸克AI 夸克AI大模型
- 夸克AI怎么写岗位说明书_夸克AI组织架构梳理指南【组织发展】
- 190浏览 收藏
-
- 科技周边 · 人工智能 | 27分钟前 | openclaw
- OpenClaw自然语言交互:像聊天一样指挥电脑干活
- 147浏览 收藏
-
- 科技周边 · 人工智能 | 28分钟前 |
- Inkscape导入PS路径乱了咋办_Inkscape规整路径导入法【修复】
- 305浏览 收藏
-
- 科技周边 · 人工智能 | 36分钟前 |
- 怎么利用Perplexity快速对比不同云厂商的算力价格_检索AWS与Azure报价
- 217浏览 收藏
-
- 科技周边 · 人工智能 | 47分钟前 |
- 怎么用ai做舆情监控_AI全网信息抓取与品牌声誉分析报告生成
- 402浏览 收藏
-
- 科技周边 · 人工智能 | 48分钟前 | Mac 系统工具
- 装了 QClaw 之后,我卸掉了好几个 Mac 软件
- 323浏览 收藏
-
- 科技周边 · 人工智能 | 57分钟前 |
- 文心一言怎么快速提取PDF文件中的表格到Excel_利用其内置的文档解析插件进行转换
- 422浏览 收藏
-
- 科技周边 · 人工智能 | 1小时前 |
- JasperAI报告数据如何变交互式图表_JasperAI报告活化【活绘】
- 151浏览 收藏
-
- 科技周边 · 人工智能 | 2小时前 |
- 可灵AI直播预告视频_直播预热宣传片的快速制作
- 107浏览 收藏
-
- 科技周边 · 人工智能 | 2小时前 | DeepSeek
- DeepSeek新手如何快速入门?_DeepSeek保姆级安装与配置教程【指南】
- 168浏览 收藏
-
- 科技周边 · 人工智能 | 2小时前 |
- 豆包AI写文案技巧大公开
- 187浏览 收藏
-
- 前端进阶之JavaScript设计模式
- 设计模式是开发人员在软件开发过程中面临一般问题时的解决方案,代表了最佳的实践。本课程的主打内容包括JS常见设计模式以及具体应用场景,打造一站式知识长龙服务,适合有JS基础的同学学习。
- 543次学习
-
- GO语言核心编程课程
- 本课程采用真实案例,全面具体可落地,从理论到实践,一步一步将GO核心编程技术、编程思想、底层实现融会贯通,使学习者贴近时代脉搏,做IT互联网时代的弄潮儿。
- 516次学习
-
- 简单聊聊mysql8与网络通信
- 如有问题加微信:Le-studyg;在课程中,我们将首先介绍MySQL8的新特性,包括性能优化、安全增强、新数据类型等,帮助学生快速熟悉MySQL8的最新功能。接着,我们将深入解析MySQL的网络通信机制,包括协议、连接管理、数据传输等,让
- 500次学习
-
- JavaScript正则表达式基础与实战
- 在任何一门编程语言中,正则表达式,都是一项重要的知识,它提供了高效的字符串匹配与捕获机制,可以极大的简化程序设计。
- 487次学习
-
- 从零制作响应式网站—Grid布局
- 本系列教程将展示从零制作一个假想的网络科技公司官网,分为导航,轮播,关于我们,成功案例,服务流程,团队介绍,数据部分,公司动态,底部信息等内容区块。网站整体采用CSSGrid布局,支持响应式,有流畅过渡和展现动画。
- 485次学习
-
- ChatExcel酷表
- ChatExcel酷表是由北京大学团队打造的Excel聊天机器人,用自然语言操控表格,简化数据处理,告别繁琐操作,提升工作效率!适用于学生、上班族及政府人员。
- 4441次使用
-
- Any绘本
- 探索Any绘本(anypicturebook.com/zh),一款开源免费的AI绘本创作工具,基于Google Gemini与Flux AI模型,让您轻松创作个性化绘本。适用于家庭、教育、创作等多种场景,零门槛,高自由度,技术透明,本地可控。
- 4798次使用
-
- 可赞AI
- 可赞AI,AI驱动的办公可视化智能工具,助您轻松实现文本与可视化元素高效转化。无论是智能文档生成、多格式文本解析,还是一键生成专业图表、脑图、知识卡片,可赞AI都能让信息处理更清晰高效。覆盖数据汇报、会议纪要、内容营销等全场景,大幅提升办公效率,降低专业门槛,是您提升工作效率的得力助手。
- 4677次使用
-
- 星月写作
- 星月写作是国内首款聚焦中文网络小说创作的AI辅助工具,解决网文作者从构思到变现的全流程痛点。AI扫榜、专属模板、全链路适配,助力新人快速上手,资深作者效率倍增。
- 6462次使用
-
- MagicLight
- MagicLight.ai是全球首款叙事驱动型AI动画视频创作平台,专注于解决从故事想法到完整动画的全流程痛点。它通过自研AI模型,保障角色、风格、场景高度一致性,让零动画经验者也能高效产出专业级叙事内容。广泛适用于独立创作者、动画工作室、教育机构及企业营销,助您轻松实现创意落地与商业化。
- 5048次使用
-
- GPT-4王者加冕!读图做题性能炸天,凭自己就能考上斯坦福
- 2023-04-25 501浏览
-
- 单块V100训练模型提速72倍!尤洋团队新成果获AAAI 2023杰出论文奖
- 2023-04-24 501浏览
-
- ChatGPT 真的会接管世界吗?
- 2023-04-13 501浏览
-
- VR的终极形态是「假眼」?Neuralink前联合创始人掏出新产品:科学之眼!
- 2023-04-30 501浏览
-
- 实现实时制造可视性优势有哪些?
- 2023-04-15 501浏览

