KDD2024最佳学生论文解读,中科大、华为诺亚:序列推荐新范式DR4SR
来源:机器之心
2024-12-01 11:41:10
0浏览
收藏
各位小伙伴们,大家好呀!看看今天我又给各位带来了什么文章?本文标题是《KDD2024最佳学生论文解读,中科大、华为诺亚:序列推荐新范式DR4SR》,很明显是关于科技周边的文章哈哈哈,其中内容主要会涉及到等等,如果能帮到你,觉得很不错的话,欢迎各位多多点评和分享!

AIxiv专栏是本站发布学术、技术内容的栏目。过去数年,本站AIxiv专栏接收报道了2000多篇内容,覆盖全球各大高校与企业的顶级实验室,有效促进了学术交流与传播。如果您有优秀的工作想要分享,欢迎投稿或者联系报道。投稿邮箱:liyazhou@jiqizhixin.com;zhaoyunfeng@jiqizhixin.com
8 月 25 日 - 29 日在西班牙巴塞罗那召开的第 30 届 ACM 知识发现与数据挖掘大会 (KDD2024) 上,中国科学技术大学认知智能全国重点实验室陈恩红教授、IEEE Fellow,和华为诺亚联合发表的论文 “Dataset Regeneration for Sequential Recommendation”,获 2024 年大会 Research Track 唯一最佳学生论文奖。论文第一作者为中科大认知智能全国重点实验室陈恩红教授,连德富教授,与王皓特任副研究员共同指导的博士生尹铭佳同学,华为诺亚刘勇、郭威研究员也参与了论文的相关工作。这是自 KDD 于 2004 年设立该奖项以来,陈恩红教授团队的学生第二次荣获该奖项。

论文链接: https://arxiv.org/abs/2405.17795 代码链接: https://github.com/USTC-StarTeam/DR4SR
,并基于
学习用户偏好
。由于学习从
的映射涉及两个隐含的映射:
,因此这一过程具有挑战性。为此,研究团队探索了开发一个显式表示
中的物品转移模式的数据集的可能性,这使得我们可以将学习过程明确地分为两个阶段,其中
相对更容易学习。因此,他们的主要关注点是学习一个有效的
的映射函数,这是一个一对多的映射。研究团队将这一学习过程定义为数据集重生成范式,如图 1 所示,其中 “重生成” 意味着他们不引入任何额外信息,仅依赖原始数据集。


能够将
重生成对应的模式
。研究团队将整个预训练数据集记作 

投影到 K 个不同的向量空间中,即
。理想情况下,不同的目标模式应与不同的记忆匹配。为此,他们还引入了一个 Transformer 编码器来编码目标模式并获取
。他们将
压缩成一个概率向量:
,
是选择第 k 个记忆的概率。为了确保每个记忆空间得到充分训练,我们不执行硬选择,而是通过加权求和得到最终的记忆:
的基于 MLP 实现的数据集个性化器
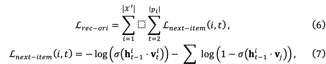
,用以评估每个数据样本 W 对于目标模型的评分。为了确保框架的通用性,研究团队利用计算得到的评分来调整训练损失的权重,这不需要对目标模型进行额外的修改。他们从定义原始的下一个物品预测损失开始:


DR4SR 能够重生成一个信息丰富且具有普遍适用性的数据集 不同的目标模型偏好不同的数据集 去噪只是数据重生成问题的一个子集
以上就是《KDD2024最佳学生论文解读,中科大、华为诺亚:序列推荐新范式DR4SR》的详细内容,更多关于工程,DR4SR,KDD2024的资料请关注golang学习网公众号!
版本声明
本文转载于:机器之心 如有侵犯,请联系study_golang@163.com删除
如何让容器元素排除子元素区域并占满父容器?
- 上一篇
- 如何让容器元素排除子元素区域并占满父容器?
- 下一篇
- 电脑字体识别不了
查看更多
最新文章
-
- 科技周边 · 人工智能 | 7小时前 |
- Kimi长视频总结技巧:提炼会议核心与行动项
- 297浏览 收藏
-
- 科技周边 · 人工智能 | 8小时前 |
- Claude官网登录失败?问题排查指南
- 427浏览 收藏
-
- 科技周边 · 人工智能 | 8小时前 | Perplexity
- Perplexity能离线使用吗?离线保存技巧分享
- 331浏览 收藏
-
- 科技周边 · 人工智能 | 8小时前 |
- DeepSeek生成JSON数据方法解析
- 176浏览 收藏
-
- 科技周边 · 人工智能 | 8小时前 | Capybara
- CapybaraAI批量任务操作方法详解
- 486浏览 收藏
-
- 科技周边 · 人工智能 | 8小时前 |
- 零基础设计LOGO,DALL-E 3精准提示出图教程
- 204浏览 收藏
-
- 科技周边 · 人工智能 | 8小时前 |
- AI写作鱼如何一键生成产品描述
- 175浏览 收藏
-
- 科技周边 · 人工智能 | 8小时前 |
- workbuddy团队动态查看方法及进度追踪技巧
- 463浏览 收藏
-
- 科技周边 · 人工智能 | 8小时前 |
- 零基础学AI短视频带货,Kimi规划变现全流程
- 242浏览 收藏
-
- 科技周边 · 人工智能 | 9小时前 |
- 猫箱聊天记录导出方法详解
- 131浏览 收藏
-
- 科技周边 · 人工智能 | 9小时前 |
- WorkBuddy AI如何做思维导图?自动生成教程
- 355浏览 收藏
-
- 科技周边 · 人工智能 | 10小时前 |
- 豆包AI新手必学!三步生成高赞吐槽图
- 336浏览 收藏
查看更多
课程推荐
-
- 前端进阶之JavaScript设计模式
- 设计模式是开发人员在软件开发过程中面临一般问题时的解决方案,代表了最佳的实践。本课程的主打内容包括JS常见设计模式以及具体应用场景,打造一站式知识长龙服务,适合有JS基础的同学学习。
- 543次学习
-
- GO语言核心编程课程
- 本课程采用真实案例,全面具体可落地,从理论到实践,一步一步将GO核心编程技术、编程思想、底层实现融会贯通,使学习者贴近时代脉搏,做IT互联网时代的弄潮儿。
- 516次学习
-
- 简单聊聊mysql8与网络通信
- 如有问题加微信:Le-studyg;在课程中,我们将首先介绍MySQL8的新特性,包括性能优化、安全增强、新数据类型等,帮助学生快速熟悉MySQL8的最新功能。接着,我们将深入解析MySQL的网络通信机制,包括协议、连接管理、数据传输等,让
- 500次学习
-
- JavaScript正则表达式基础与实战
- 在任何一门编程语言中,正则表达式,都是一项重要的知识,它提供了高效的字符串匹配与捕获机制,可以极大的简化程序设计。
- 487次学习
-
- 从零制作响应式网站—Grid布局
- 本系列教程将展示从零制作一个假想的网络科技公司官网,分为导航,轮播,关于我们,成功案例,服务流程,团队介绍,数据部分,公司动态,底部信息等内容区块。网站整体采用CSSGrid布局,支持响应式,有流畅过渡和展现动画。
- 485次学习
查看更多
AI推荐
-
- ChatExcel酷表
- ChatExcel酷表是由北京大学团队打造的Excel聊天机器人,用自然语言操控表格,简化数据处理,告别繁琐操作,提升工作效率!适用于学生、上班族及政府人员。
- 4226次使用
-
- Any绘本
- 探索Any绘本(anypicturebook.com/zh),一款开源免费的AI绘本创作工具,基于Google Gemini与Flux AI模型,让您轻松创作个性化绘本。适用于家庭、教育、创作等多种场景,零门槛,高自由度,技术透明,本地可控。
- 4585次使用
-
- 可赞AI
- 可赞AI,AI驱动的办公可视化智能工具,助您轻松实现文本与可视化元素高效转化。无论是智能文档生成、多格式文本解析,还是一键生成专业图表、脑图、知识卡片,可赞AI都能让信息处理更清晰高效。覆盖数据汇报、会议纪要、内容营销等全场景,大幅提升办公效率,降低专业门槛,是您提升工作效率的得力助手。
- 4465次使用
-
- 星月写作
- 星月写作是国内首款聚焦中文网络小说创作的AI辅助工具,解决网文作者从构思到变现的全流程痛点。AI扫榜、专属模板、全链路适配,助力新人快速上手,资深作者效率倍增。
- 6125次使用
-
- MagicLight
- MagicLight.ai是全球首款叙事驱动型AI动画视频创作平台,专注于解决从故事想法到完整动画的全流程痛点。它通过自研AI模型,保障角色、风格、场景高度一致性,让零动画经验者也能高效产出专业级叙事内容。广泛适用于独立创作者、动画工作室、教育机构及企业营销,助您轻松实现创意落地与商业化。
- 4837次使用
查看更多
相关文章
-
- GPT-4王者加冕!读图做题性能炸天,凭自己就能考上斯坦福
- 2023-04-25 501浏览
-
- 单块V100训练模型提速72倍!尤洋团队新成果获AAAI 2023杰出论文奖
- 2023-04-24 501浏览
-
- ChatGPT 真的会接管世界吗?
- 2023-04-13 501浏览
-
- VR的终极形态是「假眼」?Neuralink前联合创始人掏出新产品:科学之眼!
- 2023-04-30 501浏览
-
- 实现实时制造可视性优势有哪些?
- 2023-04-15 501浏览

