总说具身智能的数据太贵,鹏城实验室开源百万规模标准化数据集
来源:机器之心
2024-12-01 13:11:28
0浏览
收藏
大家好,我们又见面了啊~本文《总说具身智能的数据太贵,鹏城实验室开源百万规模标准化数据集》的内容中将会涉及到等等。如果你正在学习科技周边相关知识,欢迎关注我,以后会给大家带来更多科技周边相关文章,希望我们能一起进步!下面就开始本文的正式内容~

AIxiv专栏是本站发布学术、技术内容的栏目。过去数年,本站AIxiv专栏接收报道了2000多篇内容,覆盖全球各大高校与企业的顶级实验室,有效促进了学术交流与传播。如果您有优秀的工作想要分享,欢迎投稿或者联系报道。投稿邮箱:liyazhou@jiqizhixin.com;zhaoyunfeng@jiqizhixin.com


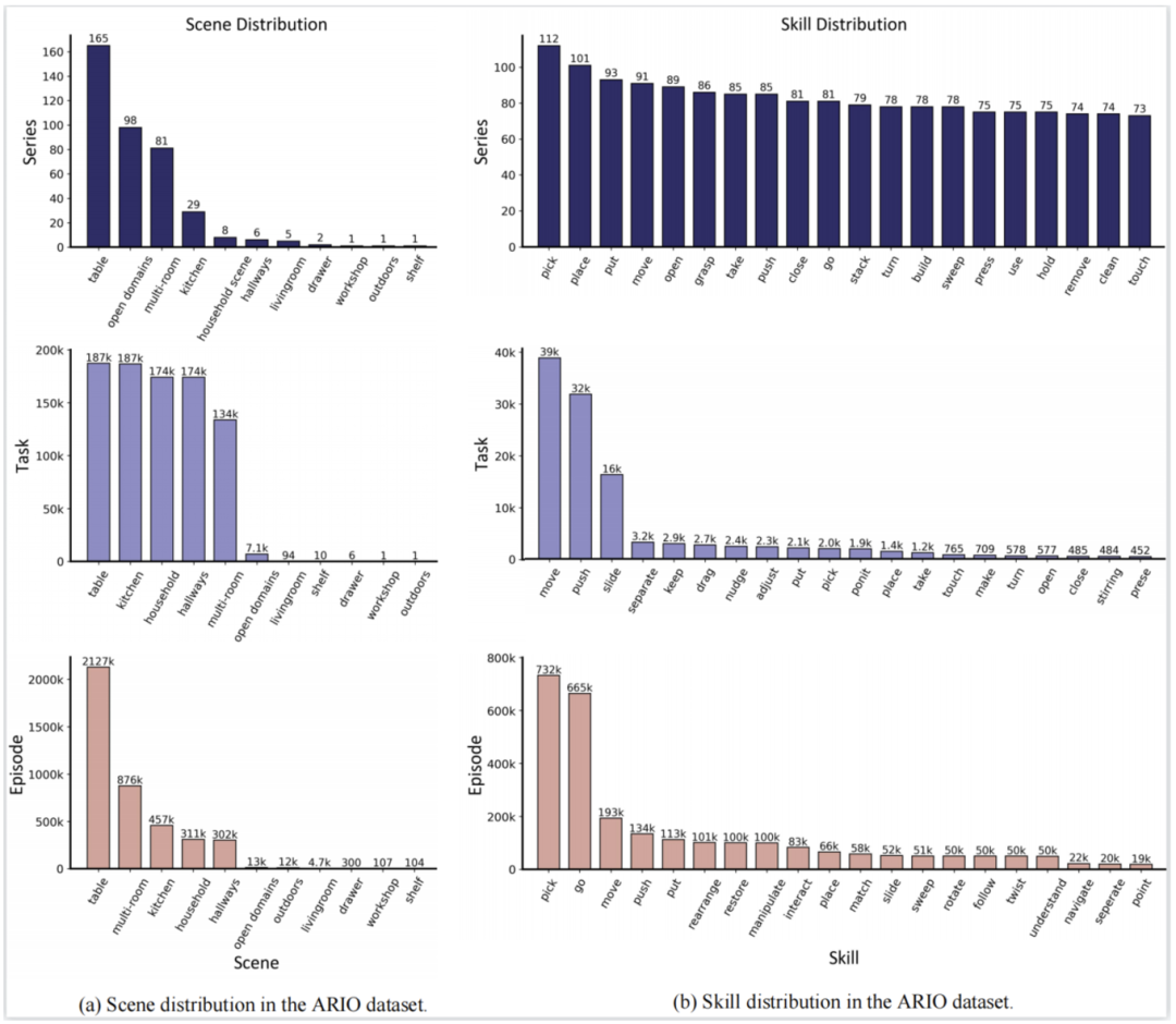
论文题目:All Robots in One: A New Standard and Unified Dataset for Versatile.General-Purpose Embodied Agents
论文链接:http://arxiv.org/abs/2408.10899
项目主页:https://imaei.github.io/project_pages/ario/
鹏城实验室具身所网站链接:https://imaei.github.io/




Cobot Magic 机械臂采集数据示例视频
基于 MuJoCo 的仿真数据采集示例视频
基于 Dataa SeaWave 平台的仿真数据生成示例视频
基于 Habitat 平台的仿真数据生成示例视频 


终于介绍完啦!小伙伴们,这篇关于《总说具身智能的数据太贵,鹏城实验室开源百万规模标准化数据集》的介绍应该让你收获多多了吧!欢迎大家收藏或分享给更多需要学习的朋友吧~golang学习网公众号也会发布科技周边相关知识,快来关注吧!
版本声明
本文转载于:机器之心 如有侵犯,请联系study_golang@163.com删除
畅享影视盛宴:如何在电脑版上使用影视大全
- 上一篇
- 畅享影视盛宴:如何在电脑版上使用影视大全
- 下一篇
- 磁盘出错怎么解决 win11系统磁盘出错的解决方法
查看更多
最新文章
-
- 科技周边 · 人工智能 | 7小时前 | 纳逗Pro
- AI影视制作成本:纳逗Pro拍10分钟短片预算详解
- 174浏览 收藏
-
- 科技周边 · 人工智能 | 7小时前 | ShareGPT
- ShareGPT与AI开源生态:数据共享推动模型发展
- 140浏览 收藏
-
- 科技周边 · 人工智能 | 7小时前 |
- 海螺AI文章查重率高吗?
- 365浏览 收藏
-
- 科技周边 · 人工智能 | 7小时前 |
- 字节跳动推出原生全双工语音大模型Seeduplex
- 147浏览 收藏
-
- 科技周边 · 人工智能 | 7小时前 | 灵珠AI
- 灵珠AI助力外贸沟通与邮件写作
- 361浏览 收藏
-
- 科技周边 · 人工智能 | 7小时前 |
- Figma页面导航技巧:使用Internal Links提升效率
- 145浏览 收藏
-
- 科技周边 · 人工智能 | 8小时前 |
- ChatGPT官网入口地址解析
- 393浏览 收藏
-
- 科技周边 · 人工智能 | 8小时前 |
- Perplexity资料搜索方法_智能搜索使用教程
- 103浏览 收藏
-
- 科技周边 · 人工智能 | 8小时前 |
- Kimi与文心一言视频功能对比分析
- 415浏览 收藏
-
- 科技周边 · 人工智能 | 8小时前 | 可灵AI
- 可灵AI如何制作FPV无人机穿越场景航拍视频?
- 101浏览 收藏
-
- 科技周边 · 人工智能 | 8小时前 |
- Minimax vs ChatGPT:谁更懂中文?
- 122浏览 收藏
-
- 科技周边 · 人工智能 | 8小时前 | 纳米AI
- 纳米AI如何制作竞品功能对比表?市场分析实操指南
- 193浏览 收藏
查看更多
课程推荐
-
- 前端进阶之JavaScript设计模式
- 设计模式是开发人员在软件开发过程中面临一般问题时的解决方案,代表了最佳的实践。本课程的主打内容包括JS常见设计模式以及具体应用场景,打造一站式知识长龙服务,适合有JS基础的同学学习。
- 543次学习
-
- GO语言核心编程课程
- 本课程采用真实案例,全面具体可落地,从理论到实践,一步一步将GO核心编程技术、编程思想、底层实现融会贯通,使学习者贴近时代脉搏,做IT互联网时代的弄潮儿。
- 516次学习
-
- 简单聊聊mysql8与网络通信
- 如有问题加微信:Le-studyg;在课程中,我们将首先介绍MySQL8的新特性,包括性能优化、安全增强、新数据类型等,帮助学生快速熟悉MySQL8的最新功能。接着,我们将深入解析MySQL的网络通信机制,包括协议、连接管理、数据传输等,让
- 500次学习
-
- JavaScript正则表达式基础与实战
- 在任何一门编程语言中,正则表达式,都是一项重要的知识,它提供了高效的字符串匹配与捕获机制,可以极大的简化程序设计。
- 487次学习
-
- 从零制作响应式网站—Grid布局
- 本系列教程将展示从零制作一个假想的网络科技公司官网,分为导航,轮播,关于我们,成功案例,服务流程,团队介绍,数据部分,公司动态,底部信息等内容区块。网站整体采用CSSGrid布局,支持响应式,有流畅过渡和展现动画。
- 485次学习
查看更多
AI推荐
-
- ChatExcel酷表
- ChatExcel酷表是由北京大学团队打造的Excel聊天机器人,用自然语言操控表格,简化数据处理,告别繁琐操作,提升工作效率!适用于学生、上班族及政府人员。
- 4922次使用
-
- Any绘本
- 探索Any绘本(anypicturebook.com/zh),一款开源免费的AI绘本创作工具,基于Google Gemini与Flux AI模型,让您轻松创作个性化绘本。适用于家庭、教育、创作等多种场景,零门槛,高自由度,技术透明,本地可控。
- 5295次使用
-
- 可赞AI
- 可赞AI,AI驱动的办公可视化智能工具,助您轻松实现文本与可视化元素高效转化。无论是智能文档生成、多格式文本解析,还是一键生成专业图表、脑图、知识卡片,可赞AI都能让信息处理更清晰高效。覆盖数据汇报、会议纪要、内容营销等全场景,大幅提升办公效率,降低专业门槛,是您提升工作效率的得力助手。
- 5171次使用
-
- 星月写作
- 星月写作是国内首款聚焦中文网络小说创作的AI辅助工具,解决网文作者从构思到变现的全流程痛点。AI扫榜、专属模板、全链路适配,助力新人快速上手,资深作者效率倍增。
- 7107次使用
-
- MagicLight
- MagicLight.ai是全球首款叙事驱动型AI动画视频创作平台,专注于解决从故事想法到完整动画的全流程痛点。它通过自研AI模型,保障角色、风格、场景高度一致性,让零动画经验者也能高效产出专业级叙事内容。广泛适用于独立创作者、动画工作室、教育机构及企业营销,助您轻松实现创意落地与商业化。
- 5545次使用
查看更多
相关文章
-
- GPT-4王者加冕!读图做题性能炸天,凭自己就能考上斯坦福
- 2023-04-25 501浏览
-
- 单块V100训练模型提速72倍!尤洋团队新成果获AAAI 2023杰出论文奖
- 2023-04-24 501浏览
-
- ChatGPT 真的会接管世界吗?
- 2023-04-13 501浏览
-
- VR的终极形态是「假眼」?Neuralink前联合创始人掏出新产品:科学之眼!
- 2023-04-30 501浏览
-
- 实现实时制造可视性优势有哪些?
- 2023-04-15 501浏览

