筛选数十亿化合物库,华盛顿大学药物AI虚拟筛选平台,登Nature子刊
一分耕耘,一分收获!既然都打开这篇《筛选数十亿化合物库,华盛顿大学药物AI虚拟筛选平台,登Nature子刊》,就坚持看下去,学下去吧!本文主要会给大家讲到等等知识点,如果大家对本文有好的建议或者看到有不足之处,非常欢迎大家积极提出!在后续文章我会继续更新科技周边相关的内容,希望对大家都有所帮助!

编辑 | KX
基于结构的虚拟筛选在药物发现中发挥着重要作用,科学家对数十亿种化合物库的筛选越来越感兴趣。
但只有少数的筛选取得成功,此外,对于基于物理的对接方法而言,对整个超大型库进行虚拟筛选耗时且成本高昂。
基于此,华盛顿大学研究团队开发了一种高度准确的基于结构的虚拟筛选方法 RosettaVS,用于预测对接姿势和结合亲和力。
RosettaVS 在广泛的基准测试中优于其他最先进的方法。研究人员将其整合到一个新的开源 AI 加速虚拟筛选平台中,用于药物发现。
利用这个平台,针对两个不相关的靶标,即泛素连接酶靶标 KLHDC2 和人类电压门控钠通道 NaV1.7,筛选了数十亿种化合物库。对于这两个靶标,研究都发现了命中化合物,所有化合物的结合亲和力均为个位数微摩尔。两种情况下的筛选都在不到七天内完成。
相关研究以「An artificial intelligence accelerated virtual screening platform for drug discovery」为题,于 9 月 5 日发布在《Nature Communications》上。

虚拟筛选用于药物发现
基于结构的虚拟筛选是早期药物发现的关键工具,随着包含数十亿种化合物的化学库的出现,科学家对筛选广阔的化学空间,从而发现先导化合物的兴趣日益浓厚。
然而,虚拟筛选的成功在很大程度上取决于计算对接预测的结合姿势(pose)和结合亲和力的准确性。
近年来,已有许多技术用于超大型库虚拟筛选,包括开发可扩展的虚拟筛选平台,在高性能计算集群(HPC)上并行对接运行、深度学习引导的化学空间探索、基于分层结构的虚拟筛选和 GPU 加速的配体对接等。
然而,使用上述技术进行虚拟筛选研究的成功,取决于用于预测蛋白质-配体复合物结构的配体对接程序的准确性,以及区分和优先考虑真正的结合物和非结合物。
在此,研究人员旨在开发一种「最先进的」(SOTA)基于物理的虚拟筛选方法和一个开源虚拟筛选平台,能够稳健高效地筛选数十亿种化合物库。
AI 加速虚拟筛选平台
该团队此前开发的 Rosetta GALigandDock 是一种配体对接方法,它使用基于物理的力场 RosettaGenFF,在配体对接精度方面表现出色。该方法可以精确建模蛋白质-配体复合物。然而,它不能直接适用于大规模虚拟筛选,基于物理的虚拟筛选方法对数十亿种化合物库中的每种化合物进行对接的成本过高。
为了解决这些问题,研究人员整合了多项增强功能并纠正了几个关键问题,来促进对数十亿种小分子的建模。
首先,通过整合新的原子类型和新的扭转势(torsional potentials )改进了 RosettaGenFF,并改进了预处理脚本。其次,开发了 RosettaGenFF-VS 用于虚拟筛选,以对与同一靶标结合的不同配体进行排序,它将其之前模型的焓计算(∆H)与估计配体结合时熵变化(∆S)的新模型相结合。

为了能够针对超大化合物库进行筛选,研究人员采用了两种策略。首先,开发了一种改进的对接协议 RosettaVS,它实现了两种高速配体对接模式:虚拟筛选快速版 (VSX) 专为快速初步筛选而设计,而虚拟筛选高精度版 (VSH) 是一种更准确的方法,用于对初始筛选中的最佳匹配进行最终排序。两种模式之间的主要区别在于 VSH 中包含了完整的受体灵活性。
即使有了这些加速,对接超过十亿种化合物的成本也非常高昂。基于此,研究人员开发了一个开源虚拟筛选 (OpenVS) 平台,该平台使用主动学习技术在对接计算过程中同时训练目标特定的神经网络,以高效地分类和选择最有希望的化合物进行昂贵的对接计算。该平台高度可扩展和可并行化,适用于大规模虚拟筛选。
RosettaVS 在虚拟筛选基准上表现出色
研究人员首先使用评分函数比较评估 2016 (CASF2016) 数据集对 RosettaGenFF-VS 的性能进行基准测试。RosettaGenFF-VS 取得了领先的性能,可以准确区分天然结合姿势和诱饵结构。进一步分析表明,RosettaGenFF-VS 在广泛的配体 RMSD 中都表现出色,与其他方法相比,它可以更有效地搜索最低能量最小值。
接下来,进行了筛选能力测试。RosettaGenFF-VS 的前 1% 富集因子 (EF1% = 16.72) 远远优于次优方法 (EF1% = 11.9)。同样,RosettaGenFF-VS 在识别排名前 1/5/10% 的分子中的最佳结合小分子方面表现出色,超越了所有其他方法。
最后,研究人员进一步评估了 RosettaVS 协议中 VSX 和 VSH 模式在「有用诱饵目录」(DUD) 数据集上的虚拟筛选性能。

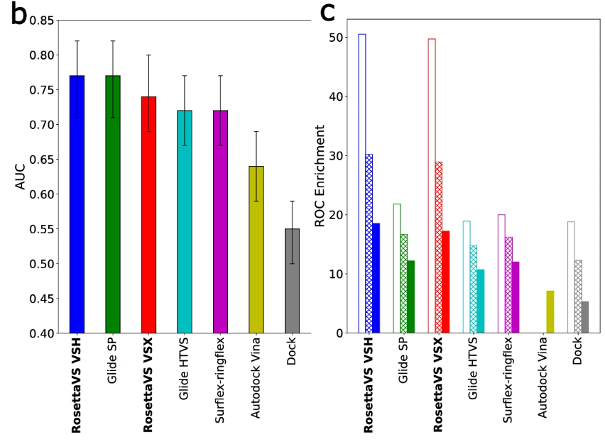
就受试者工作特征 (ROC) 曲线富集和 ROC 曲线下面积 (AUC) 而言,结果表明 RosettaVS 为领先的虚拟筛选方法。
值得注意的是,RosettaVS 的表现比次优的方法高出两倍(0.5/1.0% ROC 富集),在早期 ROC 富集方面取得了最先进的性能,进一步凸显了 RosettaVS 的有效性。此外,由于它能够模拟由配体引起的口袋侧链的构象变化,VSH 模式略优于 VSX 模式。
先导化合物发现
研究使用 OpenVS 平台筛选针对两种不相关蛋白质的数十亿个化合物库:KLHDC2(一种人类泛素连接酶)和人类电压门控钠通道 NaV1.7。
整个虚拟筛选过程在本地 HPC 集群上在七天内完成,每个目标配备了 3000 个 CPU 和一个 RTX2080 GPU。


从最初的虚拟筛选活动中,研究人员发现了一种 KLHDC2 化合物(命中率为 14%)和四种 NaV1.7 化合物(命中率为 44%),它们都表现出个位数 µM 的结合亲和力。使用该虚拟筛选平台的重点库,可以发现另外六种与 KLHDC2 具有相似结合亲和力的化合物。

最后,通过 X 射线晶体学验证了 KLHDC2 复合物的对接结构,结果与预测的结合姿势非常一致。这种探索、整理和测试的迭代过程强调了所提方法的稳健性及其在大型分子库中发现有希望的化合物的潜力。
可进一步改进
尽管 RosettaVS 在各个方面都优于现有方法,但仍有进一步改进的空间。
GPU 加速和深度学习模型的集成,例如使用 GPU 加速配体对接或使用生成式 AI 进行有效的姿势生成。
改进替代主动学习模型,以更好地指导化学空间探索,并结合可推广的基于深度学习的评分函数,从而更好地区分真正的结合剂。
能够使用已知的非小分子结合剂作为模板结构来指导小分子虚拟筛选。
未来,基于结构的虚拟筛选与深度学习技术的进一步发展将显著提高虚拟筛选研究的准确性和效率。
今天关于《筛选数十亿化合物库,华盛顿大学药物AI虚拟筛选平台,登Nature子刊》的内容就介绍到这里了,是不是学起来一目了然!想要了解更多关于AI,理论,药物研发,化学,化合物的内容请关注golang学习网公众号!
虚拟机配置如何实时升级而不中断服务?
- 上一篇
- 虚拟机配置如何实时升级而不中断服务?
- 下一篇
- PHP开发两年,6.6万薪资,是该离职专精还是继续全面发展?
-
- 科技周边 · 人工智能 | 22分钟前 |
- airpords怎么恢复出厂设置 airpords重置出厂设置步骤【指南】
- 160浏览 收藏
-
- 科技周边 · 人工智能 | 28分钟前 | 骡子快跑
- 骡子快跑能解释错误日历_骡子快跑日志分析辅助方法
- 312浏览 收藏
-
- 科技周边 · 人工智能 | 29分钟前 |
- 如何利用Perplexity优化Istio服务网格的流量治理策略_检索虚拟服务配置
- 108浏览 收藏
-
- 科技周边 · 人工智能 | 35分钟前 |
- Cursor AI 对代码隐私和安全性的保障如何?
- 178浏览 收藏
-
- 科技周边 · 人工智能 | 50分钟前 | DeepSeek
- deepseek能否识别用户情绪并安抚回应_情绪识别安抚技巧【技巧】
- 322浏览 收藏
-
- 科技周边 · 人工智能 | 50分钟前 |
- 90%的人都不知道:AI小程序开发,竟然可以这么简单!
- 336浏览 收藏
-
- 科技周边 · 人工智能 | 1小时前 | 爱奇艺纳豆pro
- 爱奇艺纳豆pro需要升级吗
- 363浏览 收藏
-
- 科技周边 · 人工智能 | 1小时前 |
- 如何提高PPT汇报中的数据可信度 利用DeepSeek获取第三方权威数据支撑
- 106浏览 收藏
-
- 科技周边 · 人工智能 | 1小时前 | ChatGPT
- 本地部署大模型的法律风险_版权与开源协议解读
- 131浏览 收藏
-
- 科技周边 · 人工智能 | 1小时前 | Hermes Agent HermesAgent
- HermesAgent数据公平:Metrics集成实战指南
- 342浏览 收藏
-
- 科技周边 · 人工智能 | 1小时前 |
- AI绘画怎么提高图片分辨率_AI绘图高清放大方法
- 288浏览 收藏
-
- 科技周边 · 人工智能 | 1小时前 |
- 本地部署大模型散热与功耗_机箱电源选购建议
- 376浏览 收藏
-
- 前端进阶之JavaScript设计模式
- 设计模式是开发人员在软件开发过程中面临一般问题时的解决方案,代表了最佳的实践。本课程的主打内容包括JS常见设计模式以及具体应用场景,打造一站式知识长龙服务,适合有JS基础的同学学习。
- 543次学习
-
- GO语言核心编程课程
- 本课程采用真实案例,全面具体可落地,从理论到实践,一步一步将GO核心编程技术、编程思想、底层实现融会贯通,使学习者贴近时代脉搏,做IT互联网时代的弄潮儿。
- 516次学习
-
- 简单聊聊mysql8与网络通信
- 如有问题加微信:Le-studyg;在课程中,我们将首先介绍MySQL8的新特性,包括性能优化、安全增强、新数据类型等,帮助学生快速熟悉MySQL8的最新功能。接着,我们将深入解析MySQL的网络通信机制,包括协议、连接管理、数据传输等,让
- 500次学习
-
- JavaScript正则表达式基础与实战
- 在任何一门编程语言中,正则表达式,都是一项重要的知识,它提供了高效的字符串匹配与捕获机制,可以极大的简化程序设计。
- 487次学习
-
- 从零制作响应式网站—Grid布局
- 本系列教程将展示从零制作一个假想的网络科技公司官网,分为导航,轮播,关于我们,成功案例,服务流程,团队介绍,数据部分,公司动态,底部信息等内容区块。网站整体采用CSSGrid布局,支持响应式,有流畅过渡和展现动画。
- 485次学习
-
- ChatExcel酷表
- ChatExcel酷表是由北京大学团队打造的Excel聊天机器人,用自然语言操控表格,简化数据处理,告别繁琐操作,提升工作效率!适用于学生、上班族及政府人员。
- 4443次使用
-
- Any绘本
- 探索Any绘本(anypicturebook.com/zh),一款开源免费的AI绘本创作工具,基于Google Gemini与Flux AI模型,让您轻松创作个性化绘本。适用于家庭、教育、创作等多种场景,零门槛,高自由度,技术透明,本地可控。
- 4799次使用
-
- 可赞AI
- 可赞AI,AI驱动的办公可视化智能工具,助您轻松实现文本与可视化元素高效转化。无论是智能文档生成、多格式文本解析,还是一键生成专业图表、脑图、知识卡片,可赞AI都能让信息处理更清晰高效。覆盖数据汇报、会议纪要、内容营销等全场景,大幅提升办公效率,降低专业门槛,是您提升工作效率的得力助手。
- 4679次使用
-
- 星月写作
- 星月写作是国内首款聚焦中文网络小说创作的AI辅助工具,解决网文作者从构思到变现的全流程痛点。AI扫榜、专属模板、全链路适配,助力新人快速上手,资深作者效率倍增。
- 6466次使用
-
- MagicLight
- MagicLight.ai是全球首款叙事驱动型AI动画视频创作平台,专注于解决从故事想法到完整动画的全流程痛点。它通过自研AI模型,保障角色、风格、场景高度一致性,让零动画经验者也能高效产出专业级叙事内容。广泛适用于独立创作者、动画工作室、教育机构及企业营销,助您轻松实现创意落地与商业化。
- 5050次使用
-
- GPT-4王者加冕!读图做题性能炸天,凭自己就能考上斯坦福
- 2023-04-25 501浏览
-
- 单块V100训练模型提速72倍!尤洋团队新成果获AAAI 2023杰出论文奖
- 2023-04-24 501浏览
-
- ChatGPT 真的会接管世界吗?
- 2023-04-13 501浏览
-
- VR的终极形态是「假眼」?Neuralink前联合创始人掏出新产品:科学之眼!
- 2023-04-30 501浏览
-
- 实现实时制造可视性优势有哪些?
- 2023-04-15 501浏览

